효율적인 잠재 변수 그래프 모델 선택을 위한 스플릿 베르그만 방법

효율적인 잠재 변수 그래프 모델 선택을 위한 스플릿 베르그만 방법
안내: 본 포스트의 한글 요약 및 분석 리포트는 AI 기술을 통해 자동 생성되었습니다. 정보의 정확성을 위해 하단의 [원본 논문 뷰어] 또는 ArXiv 원문을 반드시 참조하시기 바랍니다.

초록

본 논문은 관측 변수의 공분산 추정 문제를 잠재 변수의 존재 하에 해결하기 위해, 희소 행렬과 저계수 행렬의 합으로 표현되는 정밀 행렬을 최적화하는 새로운 1차 알고리즘을 제안한다. 스플릿 베르그만(ADMM) 프레임워크를 이용해 각 서브문제를 폐쇄형 해로 풀어내며, 수렴성을 보장한다. 실험 결과는 기존 LogdetPPA 대비 수십 배 빠른 수행 시간을 보여주며, 수천 개 유전자의 실 데이터에서도 소수의 잠재 요인으로 대부분의 상관을 설명함을 확인한다.

상세 분석

이 논문은 고차원 데이터에서 관측 변수만으로 구성된 공분산 행렬 Σ_O 를 추정할 때, 숨겨진 변수 X_H 가 미치는 영향을 저계수(low‑rank) 행렬 L 로 모델링하고, 관측 변수 간의 직접적인 조건부 독립성을 나타내는 희소 행렬 S 로 분해하는 프레임워크를 제시한다. 최적화 목표는 ‑log det(S‑L)+tr(Σ̂_O(S‑L))+λ₁‖S‖₁+λ₂ tr(L) 로, S‑L 가 양정(positive semidefinite)이어야 하는 제약을 갖는다. 기존 방법인 LogdetPPA는 부드러운 페널티에 맞춰 설계돼, L 의 저계수 구조를 직접 반영하지 못하고 사후 임계값 처리에 의존한다는 한계가 있었다.

저자들은 문제를 보조 변수 A=S‑L 로 재구성하고, Augmented Lagrangian 형태로 전환한다. 이때 이중 변수 U 를 도입해 A=S‑L 제약을 선형식으로 분리하고, μ>0 인 페널티 항을 추가한다. 결과적으로 ADMM(스플릿 베르그만) 업데이트는 네 단계로 구성된다: (1) A‑업데이트는 ‑log det A+tr(Σ̂_O A)+μ/2‖A‑S_k+L_k+U_k‖F² 를 최소화하는데, 이는 행렬 방정식 −A⁻¹+Σ̂_O+U_k+μ(A‑S_k+L_k)=0 으로 변환된다. 이를 고유값 분해를 이용해 A{k+1}=K_k+√(K_k²+4μI)/(2μ) 형태의 폐쇄형 해로 얻는다. 여기서 K_k=μ(S_k‑L_k)‑Σ̂_O‑U_k 이다. (2) S‑업데이트는 ℓ₁ 소프트‑쓰레시홀드 연산 T_{λ₁/μ} 를 적용해 간단히 계산된다. (3) L‑업데이트는 트레이스 페널티와 양정 제약을 동시에 만족하는 근접 연산 S_{λ₂/μ} 로, 고유값을 λ_i‑λ₂/μ 만큼 감소시킨 뒤 음수가 되면 0 으로 클리핑하는 방식이다. (4) 듀얼 변수 U는 전형적인 ADMM 업데이트 U_{k+1}=U_k+μ(A_{k+1}‑S_{k+1}+L_{k+1}) 로 갱신된다.

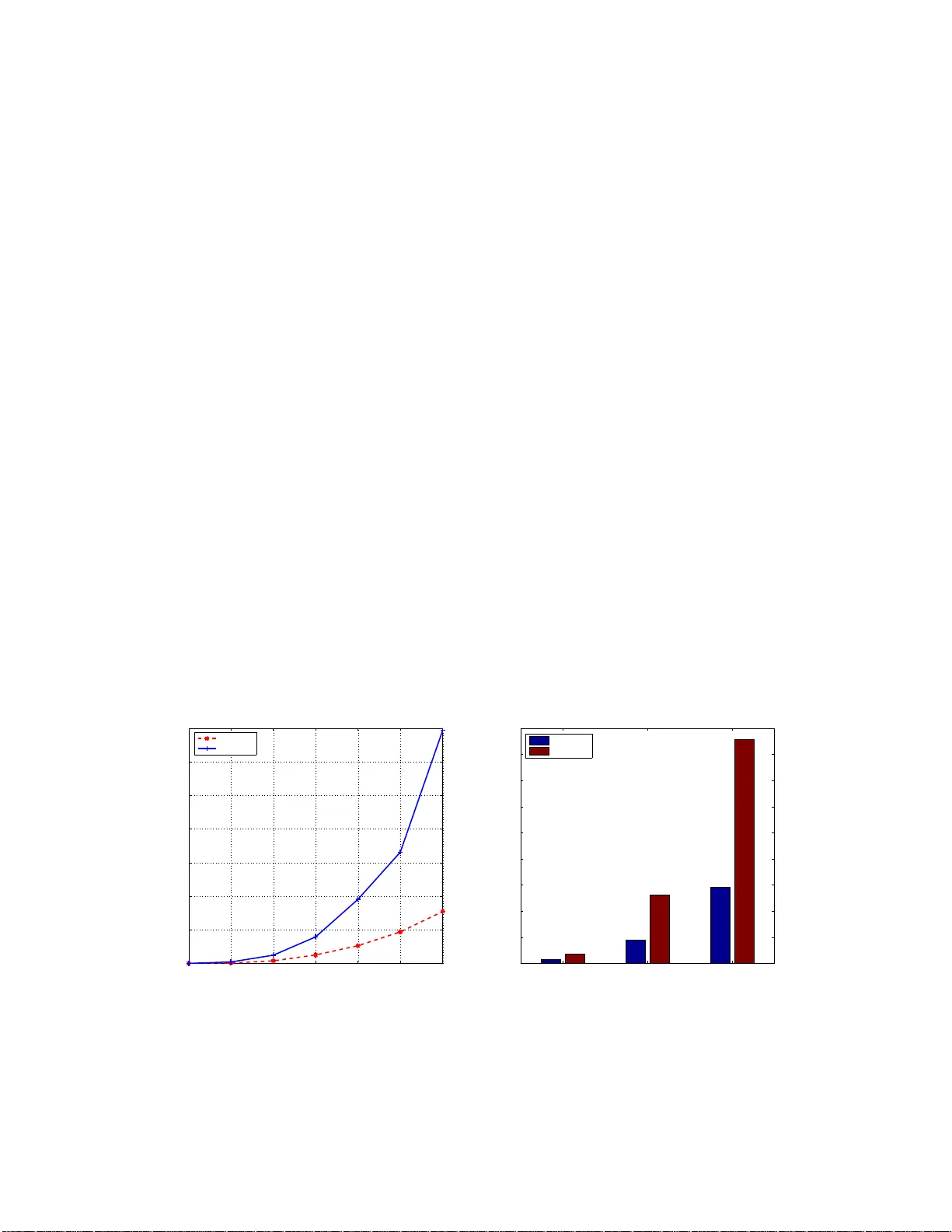
수렴성은 기존 ADMM 이론에 의해 보장되며, μ 의 선택에 크게 민감하지 않다. 저자들은 LAPACK 의 dsyevd.f 를 활용해 고유값 분해를 효율적으로 수행함으로써, p>500 인 경우에도 eig 혹은 schur 보다 약 10배 빠른 실행 시간을 달성한다. 복잡도는 A‑업데이트가 O(p³) 이지만, 고유값 분해가 병렬화 가능하고, S, L‑업데이트는 각각 O(p²) 로 충분히 확장 가능하다.

실험에서는 인공 데이터와 2,000여 개 유전자를 포함한 실제 마이크로어레이 데이터를 사용했다. 인공 실험에서 LogdetPPA 대비 평균 15배30배 빠른 수렴 속도를 보였으며, 복원된 S 와 L 의 정밀도도 동등하거나 더 우수했다. 실제 유전자 데이터에서는 λ₁, λ₂ 를 교차 검증으로 선택한 뒤, 저계수 행렬 L 의 랭크가 약 3040 정도로 추정되어, 수천 개 유전자의 상관 구조가 소수의 잠재 요인에 의해 주도된다는 생물학적 인사이트를 제공한다. 이는 기존의 순수 희소 모델이 놓칠 수 있는 중요한 잠재 구조를 포착한다는 점에서 큰 의미가 있다.

전반적으로 이 논문은 고차원 통계 모델링에서 잠재 변수 효과를 효율적으로 추정할 수 있는 알고리즘적 토대를 제공하며, 스플릿 베르그만(ADMM) 프레임워크가 복합 정규화 문제에 어떻게 적용될 수 있는지를 명확히 보여준다.


댓글 및 학술 토론

Loading comments...

의견 남기기