제한된 공간에서 입자 이동에 따른 임의 위치 의존 필드 상관 함수 스펙트럼

제한된 공간에서 입자 이동에 따른 임의 위치 의존 필드 상관 함수 스펙트럼
안내: 본 포스트의 한글 요약 및 분석 리포트는 AI 기술을 통해 자동 생성되었습니다. 정보의 정확성을 위해 하단의 [원본 논문 뷰어] 또는 ArXiv 원문을 반드시 참조하시기 바랍니다.

초록

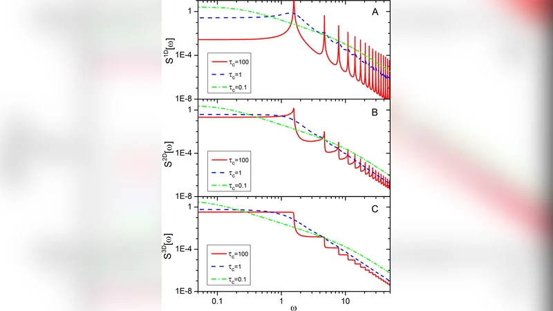
본 논문은 입자들이 반사벽으로 둘러싸인 1·2·3차원 직육면체 내에서 지속적인 시간 랜덤워크를 수행할 때, 임의의 공간적 형태를 가진 두 물리량(필드) 사이의 상관 함수 스펙트럼을 구하는 일반적인 해법을 제시한다. 텔레그래프 방정식과 이미지 방법을 이용해 확산·탄성 구간을 모두 포괄하는 조건부 확률 함수를 도출하고, 이를 Fourier 변환해 스펙트럼 식을 얻는다. 결과는 NMR 이완·주파수 이동, 짧은 거리 상호작용 등 다양한 물리 현상에 바로 적용 가능함을 보인다.

상세 분석

이 연구는 입자 운동이 완전 반사 경계 안에서 발생하는 경우, 즉 입자들이 벽에 부딪히면 반사되어 다시 내부로 돌아오는 상황을 전제로 한다. 입자들의 속도는 일정하고, 두 개의 연속적인 충돌 사이의 자유 비행 시간은 평균 τ_c 를 갖는 지수분포(ψ(t)=e^{-t/τ_c}/τ_c)로 가정한다. 이러한 가정은 “지속적인 시간 랜덤워크(persistent continuous‑time random walk)” 모델에 해당하며, 1차원에서는 텔레그래프 방정식(telegrapher’s equation)이 정확히 적용된다. Goldstein가 제시한 텔레그래프 방정식의 해는 고유 모드 n에 대해 cosh·s_n·t와 sinh·s_n·t 항을 포함하며, s_n=√(1−4ω_n^2τ_c^2) 로 정의된다. 여기서 ω_n=nπv/L 은 입자와 벽 사이의 기본 충돌 주파수이다. 이 해는 자유 비행 피크와 산란 파동이 시간에 따라 어떻게 전파되는지를 명시적으로 보여준다.

1차원 결과를 바탕으로, 저자들은 2·3차원으로 일반화하기 위해 Kac이 제안한 다차원 텔레그래프 방정식에 추가적인 소스 항을 도입한다. 이 소스 항은 아직 충돌하지 않은 입자들의 직선 이동을 기술하며, ρ(r,t)= (v^2/2πr) e^{-t/τ_c} ∂/∂r


댓글 및 학술 토론

Loading comments...

의견 남기기