전신 도달 동작을 위한 최적화 기반 모델
본 연구는 SimMechanics 기반 역동역학 모델과 다항식 제어기를 이용해 전신 도달 움직임을 시뮬레이션한다. 최종 손끝 오차와 관절 파워·무게중심(COM) 변위 등을 동시에 최소화하는 적응형 가중치 비용함수를 제안하고, 15명의 실험 데이터를 통해 모델의 예측 정확성을 검증하였다.
저자: Daohang Sha, James S Thomas
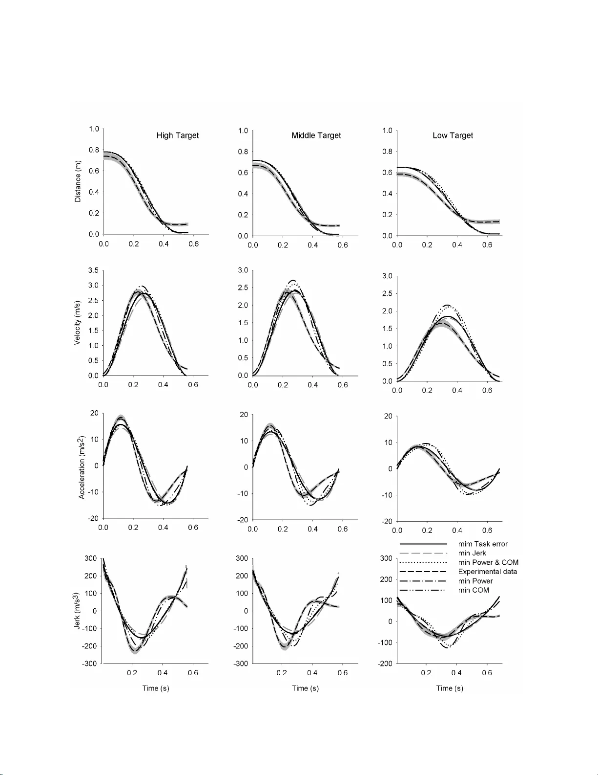
본 논문은 인간의 전신 도달 동작을 정량적으로 예측할 수 있는 시뮬레이션 프레임워크를 제시한다. 전신 도달은 손끝이 목표 지점에 닿고, 몸의 무게중심이 지지 기반을 벗어나지 않아야 하는 두 가지 기본 제약을 가진다. 그러나 인간 몸은 36개의 자유도를 가진 다관절 시스템으로, 동일한 목표를 달성할 수 있는 무수히 많은 자세가 존재한다. 이러한 ‘운동학적 중복성’을 어떻게 CNS가 해결하는가에 대한 가설을 검증하기 위해, 연구진은 최적 제어 이론을 적용한 모델을 구축하였다.
모델 구축은 크게 네 단계로 이루어진다. 첫째, 그래픽 기반 툴인 SimMechanics를 이용해 12개의 신체 구간(머리, 흉부, 복부, 골반, 양쪽 팔·전완·상완, 대퇴·경골)과 12개의 관절(각 3자유도)로 구성된 역동학 모델을 만든다. 이때 각 관절은 굴곡/신전, 내외전, 외전/내전의 회전 자유도를 갖는다. SimMechanics는 기하학·질량·관절 제약을 입력하면 자동으로 운동 방정식을 생성하므로, 복잡한 수식 전개 없이도 정확한 토크·힘 계산이 가능하다.
둘째, 관절 각도 궤적을 다항식 형태로 파라미터화한다. 6차 다항식을 선택하면 초기·최종 각도와 6개의 계수를 통해 각 관절의 시간‑연속적인 움직임을 완전히 기술할 수 있다. 최종 자세 \(f_\theta\) 와 다항식 계수 \(p\) 가 최적화 변수이며, 전체 12관절에 대해 72개의 파라미터가 조정된다.
셋째, 비용함수를 정의한다. 기본 형태는
\
원본 논문
고화질 논문을 불러오는 중입니다...
댓글 및 학술 토론
Loading comments...
의견 남기기