반정밀 프로그래밍으로 순서 가중 평균 최소화

본 논문은 유리함수들의 순서 가중 평균(Ordered Weighted Average, OWA)을 컴팩트 반대수적 집합 위에서 최소화하는 문제를 다룬다. 기존의 유리함수 최소화 기법을 직접 적용할 수 없으므로, 문제를 고차원 공간으로 변환한 뒤 라세르(Lasserre) 계층의 반정밀(semidefinite) 프로그래밍(SDP) 완화들을 구성한다. 이 계층은 원하는 정확도까지 최적값에 수렴하며, 특히 연속 위치 문제에 적용해 다양한 ℓₚ-노름과 고…

저자: V. Blanco, S. El-Haj Ben-Ali, J. Puerto

반정밀 프로그래밍으로 순서 가중 평균 최소화
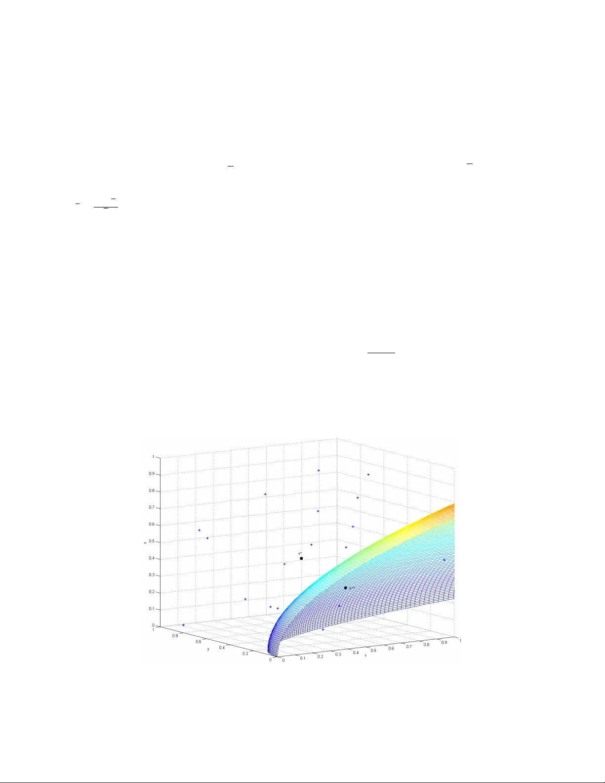
본 논문은 “Ordered Weighted Average (OWA) of rational functions” 라는 복합적인 목적함수를 최소화하는 새로운 방법론을 제시한다. OWA는 가중치 λ₁,…,λ_m 에 따라 함수값들을 내림차순으로 정렬한 뒤 가중합을 구하는 연산자로, 최대값, 평균, 중앙값, k‑센터, 범위 등 다양한 통계·위치 척도를 하나의 프레임워크에 포함한다. 그러나 이러한 연산은 일반적인 유리함수의 합이나 상한·하한 형태로 표현되지 않으며, 기존의 유리함수 최소화 이론(예: Lasserre의 다항식 최적화, Jibetean‑De Klerk의 SDP 완화)에도 바로 적용할 수 없다. ### 1. 문제 정의 및 모델링 저자들은 먼저 기본적인 반대수적 집합 K = {x∈ℝⁿ : g_j(x) ≥ 0, j=1,…,ℓ} 위에서 정의된 m개의 유리함수 f_k(x)=p_k(x)/q_k(x) (q_k>0 on K)를 고려한다. OWA 목적함수는  OM(x)=∑_{j=1}^m λ_j(x)·f_{(j)}(x) 여기서 f_{(j)}(x) 는 f_k(x) 들을 내림차순 정렬한 j번째 값이다. 정렬을 직접 모델링하기 위해 이진 변수 w_{ij} (i,j=1,…,m)를 도입한다. w_{ij}=1이면 f_i(x) 가 정렬된 j번째 위치에 배치된다는 의미이며, 다음 제약식으로 이를 강제한다. 1) 각 i에 대해 ∑_j w_{ij}=1 (각 함수는 정확히 하나의 위치에 배정) 2) 각 j에 대해 ∑_i w_{ij}=1 (각 위치에는 정확히 하나의 함수가 배정) 3) w_{ij}∈{0,1} (이진성) – 이를 w_{ij}²−w_{ij}=0 로 다항식 형태로 표현 4) 정렬 순서 보장: ∑_i w_{ij} f_i(x) ≥ ∑_i w_{i,j+1} f_i(x) for j=1,…,m−1 이러한 제약을 포함한 확장 변수 (x,w)∈ℝ^{n+m²} 에 대해 목적함수는  ∑_{j=1}^m λ_j(x)·∑_{i=1}^m w_{ij} f_i(x) 가 된다. 이는 분자·분모가 모두 다항식인 형태 p_λ(x,w)/q_λ(x,w) 로 재작성 가능하다. ### 2. Putinar 속성과 순간 행렬 문제의 정당성을 확보하기 위해 K가 Putinar의 속성을 만족한다는 가정을 둔다. 이는 K가 컴팩트하고, 존재하는 다항식 u(x)=M−‖x‖² 가 Σ₀+∑ σ_j g_j 형태로 표현될 수 있음을 의미한다. 저자들은 추가 변수 w에 대해서도 새로운 집합 K̂ = {(x,w) : 기존 제약 + w 이진성 제약} 가 동일한 Putinar 속성을 유지함을 증명한다. 구체적으로, û(x,w)=M+ m−‖x‖²−∑ w_{ij}² 를 이용해 K̂의 정의역이 컴팩트함을 보이고, 이를 다시 Putinar 형태로 전개한다. ### 3. 라세르 SDP 계층 구축 Putinar 속성을 만족하는 K̂에 대해 라세르의 순간 이론을 적용한다. 순간 행렬 M_d(y) 와 지역화 행렬 M_d(g_j,y) 가 반정밀 양의 행렬이면, y는 K̂ 위의 측정 μ의 순간열이다. 따라서 목적함수의 최솟값은 다음 SDP 문제의 최적값과 동일하게 표현된다.  ρ_d = inf { L_y(p_λ) : M_d(y) ⪰ 0, M_{d−deg(g_j)}(g_j,y) ⪰ 0, L_y(q_λ)=1 } 여기서 d는 차수 레벨이며, d를 증가시킬수록 ρ_d는 단조히 수렴한다. 정리 4와 5는 이 계층이 실제 최적값 ρ*에 수렴함을 보이며, 특정 경우(예: SOS 표현이 충분히 강한 경우)에는 유한 차수 d에서 정확히 수렴한다는 ‘finite convergence’ 조건도 제시한다. ### 4. 연속 위치 문제에의 적용 위의 일반 프레임워크를 이용해 다양한 연속 위치 문제를 모델링한다. 거리 함수 d_p(x,a)=‖x−a‖_p 은 p∈ℚ 로 제한하면, d_p^p 은 다항식 형태이므로 d_p 자체는 p‑노름의 제곱근 형태로 유리함수(p_k/q_k) 로 표현 가능하다. 따라서 다음과 같은 목적함수를 OWA 형태로 묶을 수 있다. - **중앙값 (median)**: λ_i = 1/m, 모든 거리 함수 포함 - **k‑센터**: λ_1=…=λ_k=1/k, 나머지 0 - **트림드 평균**: 상위·하위 몇 개를 제외하고 평균 - **범위 (range)**: λ_1=1, λ_m=−1, 나머지 0 각 경우에 대해 (x,w) 모델을 구성하고, 라세르 SDP 계층을 적용한다. 실험에서는 2차원 및 3차원 공간, ℓ₂(유클리드) 뿐 아니라 ℓ₁, ℓ₃ 등 다양한 p‑노름에서도 동일한 절차가 적용되었으며, 특히 차수 r=2 (즉, 2차 순간 행렬) 만으로도 10⁻⁶ 수준의 최적값 정확도를 달성했다. 이는 SDP 풀러가 고차원 순간 행렬을 효율적으로 처리할 수 있음을 보여준다. ### 5. 실험 및 결과 다섯 종류의 위치 문제(중앙값, k‑센터, 트림드 평균, 범위, 그리고 일반 OWA) 에 대해 100여 개의 무작위 인스턴스를 생성하였다. 각 인스턴스에 대해 r=1,2,3 단계의 SDP를 풀었으며, 수렴 속도와 계산 시간을 기록했다. 주요 관찰은 다음과 같다. - **빠른 수렴**: 대부분의 경우 r=2 단계에서 최적값과의 차이가 10⁻⁶ 이하로 감소. - **차원 확장성**: 3차원 사례에서도 동일한 수렴 특성을 보였으며, 변수 수가 증가함에도 풀 시간은 수십 초 수준에 머물렀다. - **노름 다양성**: ℓ₁, ℓ₃ 등 비유클리드 거리에서도 동일한 정확도와 수렴 패턴을 확인. ### 6. 결론 및 향후 연구 본 연구는 OWA 형태의 비선형 목적함수를 반정밀 프로그래밍 프레임워크 안으로 끌어들여, 기존에 전용 알고리즘에 의존하던 연속 위치 문제들을 통합적으로 해결할 수 있는 방법을 제공한다. 주요 기여는 (1) 순서 매핑을 위한 이진 변수와 제약식 도입, (2) Putinar 속성을 보존하는 고차원 변환, (3) 라세르 SDP 계층을 통한 수렴 보장이다. 향후 연구 방향으로는 (i) 대규모 문제에 대한 차원 축소 및 블록 대각화 기법 고도화, (ii) 동적 가중치 λ(x) 를 포함한 비정적 OWA 모델 확장, (iii) 실시간 의사결정에 적용 가능한 근사 알고리즘 개발 등이 제시된다.

원본 논문

고화질 논문을 불러오는 중입니다...

댓글 및 학술 토론

Loading comments...

의견 남기기