적응이 신경 인구 코드의 변동성을 감소시킨다

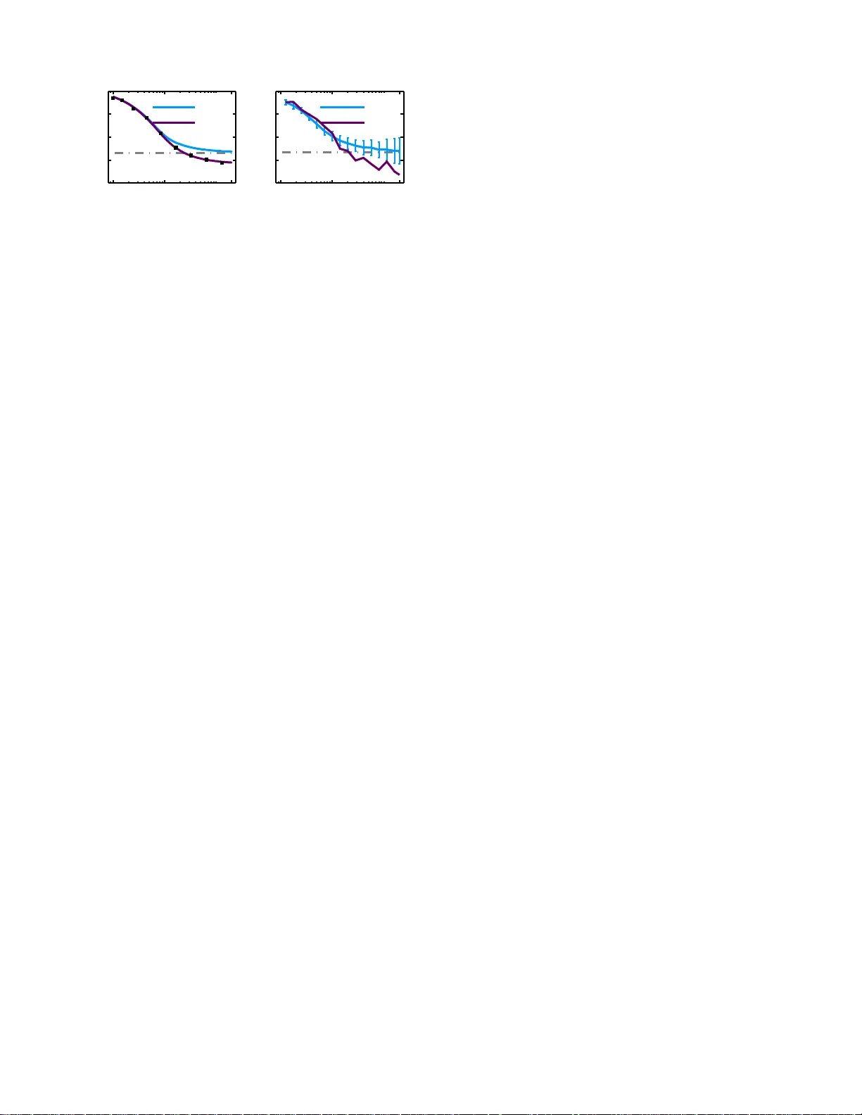
본 논문은 스파이크‑주파수 적응을 갖는 뉴런 집단이 비재생(non‑renewal) 과정으로 동작하면서, 개별 뉴런의 발화 간격 변동성을 감소시키고, 인구 수준에서의 Fano factor를 낮춰 포스트시냅스 신호의 디코딩 효율을 향상시킨다는 이론적·실험적 증거를 제시한다.

저자: Michael Schwalger, Moritz Deger, Andreas Lindner

적응이 신경 인구 코드의 변동성을 감소시킨다
본 논문은 “적응이 신경 인구 코드의 변동성을 감소시킨다”는 가설을 이론적 모델링과 실험적 검증을 통해 체계적으로 입증한다. 1. **문제 배경 및 동기** 전통적인 포인트 프로세스 모델은 재생(renewal) 가정을 기반으로 하여, 현재 사건 발생 확률이 마지막 사건 이후 경과된 시간에만 의존한다고 본다. 그러나 실제 생물학적 시스템, 특히 스파이크‑주파수 적응을 보이는 뉴런은 내부 적응 변수에 의해 발화율이 조절되므로, 사건 간 간격이 이전 여러 사건의 이력에 의존하는 비재생(non‑renewal) 특성을 가진다. 이러한 비재생성은 신경 인구 수준에서의 변동성, 즉 Fano factor에 중요한 영향을 미칠 것으로 예상된다. 2. **수학적 프레임워크** 저자들은 적응 변수 \(x\) 를 다음과 같이 정의한다. \

원본 논문

고화질 논문을 불러오는 중입니다...

댓글 및 학술 토론

Loading comments...

의견 남기기