한정 차수와 로그 규모 직경을 갖는 해밀턴 그래프 구성 방법

한정 차수와 로그 규모 직경을 갖는 해밀턴 그래프 구성 방법
안내: 본 포스트의 한글 요약 및 분석 리포트는 AI 기술을 통해 자동 생성되었습니다. 정보의 정확성을 위해 하단의 [원본 논문 뷰어] 또는 ArXiv 원문을 반드시 참조하시기 바랍니다.

초록

본 논문은 임의의 정점 수 n에 대해 최대 차수 Δ를 제한하면서 직경이 O(log n)인 해밀턴 그래프를 효율적으로 생성하는 알고리즘을 제시한다. 제안된 구조는 전체 간선 수가
\

상세 분석

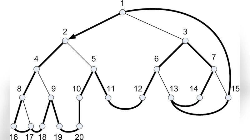
이 연구는 토큰 링 토폴로지를 기반으로 한 분산 네트워크에서 직경이 성능을 좌우한다는 점에 착안한다. 기존에 알려진 ‘Moore bound’는 주어진 차수와 직경에 대해 가능한 최소 정점 수를 제시하지만, 실제 네트워크 설계에서는 해밀턴 사이클(즉, 모든 정점을 한 번씩 방문하는 순환 경로)의 존재가 필수적이다. 논문은 이러한 제약을 동시에 만족시키는 그래프를 구성하는 새로운 알고리즘을 제안한다.

핵심 아이디어는 이진 트리 기반의 계층적 연결이다. 먼저 n개의 정점을 순환시켜 기본 해밀턴 사이클을 만든 뒤, 각 정점을 이진 트리의 리프에 대응시킨다. 이후 각 리프가 부모와 최대 Δ‑1개의 자식과만 연결되도록 하여 차수를 제한한다. 트리의 높이가 ⌈log₂ n⌉이므로, 두 임의의 정점 사이 최단 경로는 루트까지 올라갔다가 다시 내려오는 형태로, 최악의 경우 2·⌈log₂ n⌉를 초과하지 않는다. 이는 직경이 O(log n)임을 보장한다.

간선 수에 대한 분석은 두 부분으로 나뉜다. 첫 번째는 기본 해밀턴 사이클이 제공하는 n개의 간선이며, 두 번째는 트리 구조와 추가적인 ‘보강’ 간선이다. 트리 자체는 (n‑1)개의 간선을 갖고, 차수 제한을 만족시키기 위해 각 내부 노드에 대해 (Δ‑2)개의 보강 간선을 삽입한다. 이를 정밀히 계산하면 전체 간선 수는
\


댓글 및 학술 토론

Loading comments...

의견 남기기