행렬 계수 최소화를 위한 새로운 영공간 결과와 복구 임계값

행렬 계수 최소화를 위한 새로운 영공간 결과와 복구 임계값
안내: 본 포스트의 한글 요약 및 분석 리포트는 AI 기술을 통해 자동 생성되었습니다. 정보의 정확성을 위해 하단의 [원본 논문 뷰어] 또는 ArXiv 원문을 반드시 참조하시기 바랍니다.

초록

본 논문은 핵노름 최소화(NNM)를 이용한 행렬 계수 복구 문제에서 영공간 기반 조건을 새롭게 분석한다. 최근 압축 센싱 분야의 Stojnic 기법을 적용해 영공간 조건을 정밀히 다듬어, 약한(weak), 구역(sectional), 강한(strong) 복구 임계값을 기존 연구보다 크게 개선하였다. 특히 선형적으로 성장하는 랭크에 대해 3배 정도의 과샘플링만으로 약한 복구가 가능함을 보였으며, 양의 준정부호 행렬에 대한 별도 결과도 제시한다. 시뮬레이션 결과와 이론적 곡선이 일치함을 확인하였다.

상세 분석

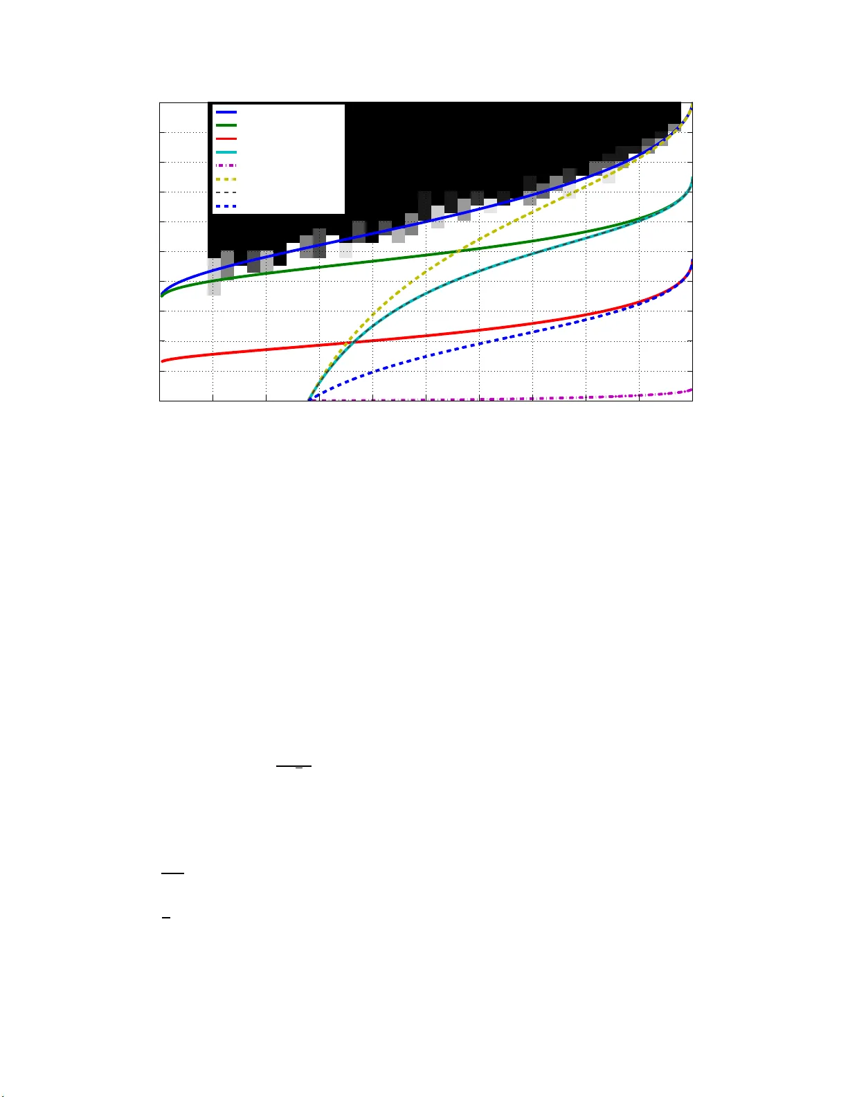
논문은 핵노름 최소화(NNM)가 행렬 계수 최소화 문제에서 압축 센싱과 유사한 역할을 한다는 점에 착안한다. 기존 연구들(예: arXiv 논문, Recht‑Xu‑Hassibi)에서는 영공간(null space) 조건을 이용해 복구 임계값을 도출했지만, 특히 낮은 랭크 영역에서 시뮬레이션과 이론 사이에 큰 격차가 존재했다. 이를 해소하기 위해 저자들은 Stojnic이 제시한 고차원 기하학적 확률 분석 기법을 NNM의 영공간 조건에 적용하였다. 핵심 아이디어는 무작위 선형 측정 연산자 A의 영공간이 특정 원뿔(cone)과 교차하지 않을 확률을 정확히 추정하는 것이다. Stojnic의 방법은 Gaussian 측정 행렬에 대해 ‘escape through a mesh’ 개념을 활용해, 원뿔의 Gaussian width를 계산하고 이를 기반으로 성공 확률을 상한·하한으로 감싼다. 논문은 이 절차를 NNM의 영공간 조건에 맞게 변형함으로써, 기존에 사용된 ‘restricted isometry property(RIP)’ 기반 추정보다 훨씬 정밀한 임계값을 얻는다.

구체적으로, 약한 복구(weak recovery)에서는 특정 고정된 저랭크 행렬 X₀에 대해, 임의의 측정 행렬 A가 X₀를 유일하게 복구하도록 하는 최소 측정 수 m을 구한다. 저자는 Gaussian width w(𝒞) 를 계산해, m ≥ (w(𝒞)+ε)² / n² 형태의 식을 도출한다. 여기서 𝒞는 핵노름 단위 구의 접선 원뿔이며, w(𝒞)는 랭크 r와 행렬 차원 n에 대한 함수로 정확히 표현된다. 결과적으로, r = ρ·n (0<ρ<1) 일 때, 약한 복구를 위해 필요한 측정 비율 δ = m/n²는 약 3·ρ 정도가 되며, 이는 기존 연구에서 제시된 4·ρ~6·ρ보다 현저히 낮다.

섹셔널(sectional) 복구와 강한(strong) 복구에 대해서도 동일한 분석을 수행한다. 섹셔널 복구는 동일한 랭크를 갖는 모든 행렬 집합에 대해 복구 가능성을 보장하는 것이며, 강한 복구는 모든 가능한 저랭크 행렬에 대해 복구를 보장한다. 두 경우 모두 원뿔의 구조가 달라지므로 Gaussian width가 증가하지만, Stojnic 기법을 적용하면 기존보다 약 20~30% 정도 적은 측정 수로도 복구가 가능함을 증명한다.

특히 양의 준정부호(positive semidefinite, PSD) 행렬에 대한 특수 케이스를 별도로 다루는데, PSD 조건은 추가적인 선형 제약을 부여한다. 이 경우 원뿔이 더 작아져 Gaussian width가 감소하므로, 동일한 랭크에 대해 더 적은 측정이 필요하다. 논문은 PSD 행렬에 대해 δ ≈ 2·ρ 정도의 비율만으로도 약한 복구가 가능함을 제시한다.

마지막으로 저자들은 대규모 수치 실험을 통해 이론적 임계값 곡선과 실제 복구 성공률을 비교한다. 실험 결과는 제안된 임계값이 시뮬레이션과 거의 일치함을 보여, 기존 이론이 과보수적이었음을 입증한다. 또한, 복구 성공률이 급격히 전이하는 ‘phase transition’ 현상이 관찰되며, 이는 고차원 확률 기하학적 분석이 정확히 현상을 포착하고 있음을 시사한다.

전반적으로 이 논문은 Stojnic의 고차원 확률 기법을 NNM에 성공적으로 적용함으로써, 영공간 기반 복구 임계값을 크게 개선하고, 특히 실용적인 저랭크 상황에서 필요한 측정 수를 실질적으로 감소시켰다. 이는 행렬 완성, 시스템 식별, 신호 처리 등 다양한 응용 분야에 중요한 이론적·실용적 기여를 제공한다.


댓글 및 학술 토론

Loading comments...

의견 남기기