인간 행동의 상관된 동역학 모델링

인간 행동의 상관된 동역학 모델링
안내: 본 포스트의 한글 요약 및 분석 리포트는 AI 기술을 통해 자동 생성되었습니다. 정보의 정확성을 위해 하단의 [원본 논문 뷰어] 또는 ArXiv 원문을 반드시 참조하시기 바랍니다.

초록

블로그 포스팅 데이터를 분석한 결과, 인간의 활동 간격은 강한 기억 효과와 활동 수준에 따라 변하는 파워‑러프 분포를 보인다. 기존의 우선순위 큐 모델은 이러한 현상을 설명하지 못하므로, 저자들은 개인의 시간적 선호를 기반으로 한 간단한 모델을 제안하고 실험적으로 검증하였다.

상세 분석

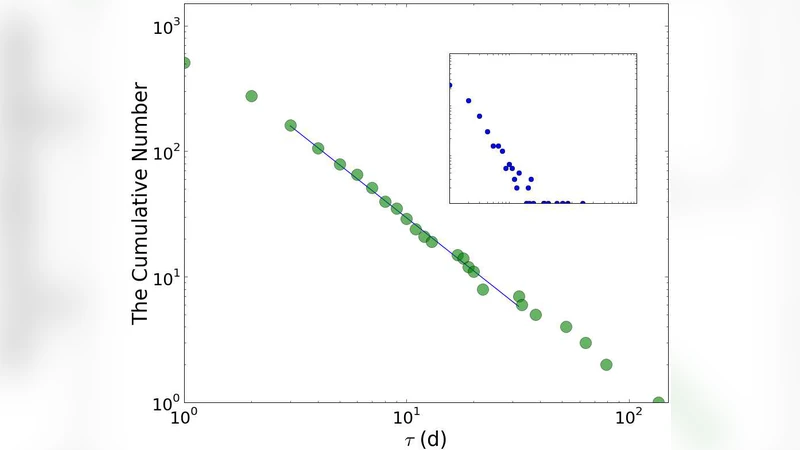
본 논문은 개인 블로그 포스팅 행위의 시계열 데이터를 대규모로 수집·분석함으로써 인간 활동의 기본적인 통계적 특성을 밝히고자 한다. 가장 먼저 저자들은 inter‑event time(연속 포스팅 사이의 시간 간격)의 확률분포가 단순한 지수형이 아니라, 활동량(activity)별로 서로 다른 지수(α)를 갖는 파워‑러프 형태임을 확인한다. 특히 활동이 활발한 사용자일수록 지수값이 작아져 더 뾰족한 꼬리를 보이며, 이는 “활동 의존적 분포”라는 새로운 현상으로 제시된다.

다음으로 기억 계수(memory coefficient) M(k)=⟨(τ_i−⟨τ⟩)(τ_{i+k}−⟨τ⟩)⟩/σ² 를 계산해 k(시간 지연)와의 관계를 조사한다. 결과는 초기 구간에서 M(k)∝k^{−β} (β≈0.6) 형태의 파워‑러프 감소를 보이다가, 일정 k를 넘어가면 급격히 지수적(∝e^{−λk}) 감소로 전환한다. 이는 인간이 최근의 행동을 강하게 기억하지만, 일정 시간 이후에는 기억이 급격히 소멸한다는 심리적·신경학적 메커니즘과 일맥상통한다.

우선순위 큐(priority‑queue) 모델은 “작업의 우선순위가 무작위로 할당되고, 가장 높은 우선순위 작업을 먼저 수행한다”는 가정 하에 inter‑event time이 파워‑러프를 보일 수 있음을 보였지만, 기억 계수의 두 단계 감소와 활동 의존적 지수값을 재현하지 못한다. 따라서 저자들은 새로운 모델을 고안한다.

제안된 모델은 (1) 개인이 매 순간 수행하고 싶은 작업을 K개의 후보 중 하나를 선택한다. (2) 각 후보는 최근에 선택된 횟수에 비례하는 선호도 w_i(t)=1+α·n_i(t) 로 가중된다(여기서 n_i(t)는 최근 윈도우 내 선택 횟수, α는 기억 강도 파라미터). (3) 선택 확률은 w_i(t) / Σ_j w_j(t) 로 정해진다. 이렇게 하면 최근에 많이 선택된 작업일수록 선택 확률이 높아져, 기억 효과가 자연스럽게 파워‑러프 형태로 나타난다. 동시에, 선택 횟수가 적은 작업이 가끔씩 선택되는 “탐색” 메커니즘이 포함돼, 전체 inter‑event time 분포가 활동 수준에 따라 다른 지수값을 갖게 된다.

시뮬레이션 결과는 실험 데이터와 정량적으로 일치한다. 특히 (i) 기억 계수의 초기 파워‑러프 감소와 이후 지수적 전이, (ii) 활동 수준에 따른 파워‑러프 지수 변화, (iii) 전체 분포의 꼬리 길이 모두 모델 파라미터 α와 K를 조정함으로써 재현 가능함을 보였다. 이는 인간 행동이 단순히 “우선순위에 의한 선택”이 아니라, 개인의 시간적 선호와 기억 메커니즘에 크게 좌우된다는 중요한 시사점을 제공한다.

마지막으로 저자들은 본 모델이 소셜 미디어, 전자상거래, 모바일 앱 사용 등 다양한 인간‑컴퓨터 상호작용 분야에 적용될 수 있음을 제안하고, 향후 모델에 사회적 영향(예: 친구·팔로워의 행동)과 외부 이벤트(뉴스, 이벤트) 등을 통합하는 연구 방향을 제시한다.


댓글 및 학술 토론

Loading comments...

의견 남기기