보존 격자 가스가 설명하는 표면 패턴 형성과 스케일링

보존 격자 가스가 설명하는 표면 패턴 형성과 스케일링
안내: 본 포스트의 한글 요약 및 분석 리포트는 AI 기술을 통해 자동 생성되었습니다. 정보의 정확성을 위해 하단의 [원본 논문 뷰어] 또는 ArXiv 원문을 반드시 참조하시기 바랍니다.

초록

본 논문은 2+1 차원 이산 성장 모델에 보존적인 국부 교환 동역학을 도입해 옥타헤드(Octahedra) 표면 확산을 구현한다. 기울기를 2차원 입자로 매핑함으로써 이진 격자 가스 모델을 얻고, 이를 통해 대규모 시뮬레이션이 가능해졌다. Mullins‑Herring·MBE 스케일링, KPZ와의 경쟁에 의한 점·리플 패턴, 그리고 강한 표면 확산이 KPZ 거동을 로그 성장으로 억제하는 현상을 확인하였다.

상세 분석

이 연구는 기존 2+1 차원 이산 성장 모델(PRE 79, 021125 (2009))에 보존적인 국부 교환 규칙을 추가함으로써 옥타헤드 입자들의 표면 확산을 구현한다. 옥타헤드가 위·아래로 이동하면서 인접한 기울기(±1)들을 서로 교환하는 과정은 ‘보존 격자 가스(conserved lattice gas)’ 형태로 해석될 수 있다. 기울기 변수는 두 종류의 입자(‘+’와 ‘‑’)로 매핑되며, 이 입자쌍은 방향성을 가진 이디머(dimer) 형태로 움직인다. 이때 이디머가 서로를 끌어당기면(Attracting) 표면이 거칠어지는 ‘uphill diffusion’이, 반대로 밀어내면(Srepelling) 표면이 매끄러워지는 ‘downhill diffusion’이 발생한다. 이러한 매핑 덕분에 2차원 이진 격자 모델로 변환되어, 기존 연속식 KPZ·Mullins‑Herring 방정식의 이산형을 대규모(10⁶ × 10⁶ 격자)까지 효율적으로 시뮬레이션할 수 있다.

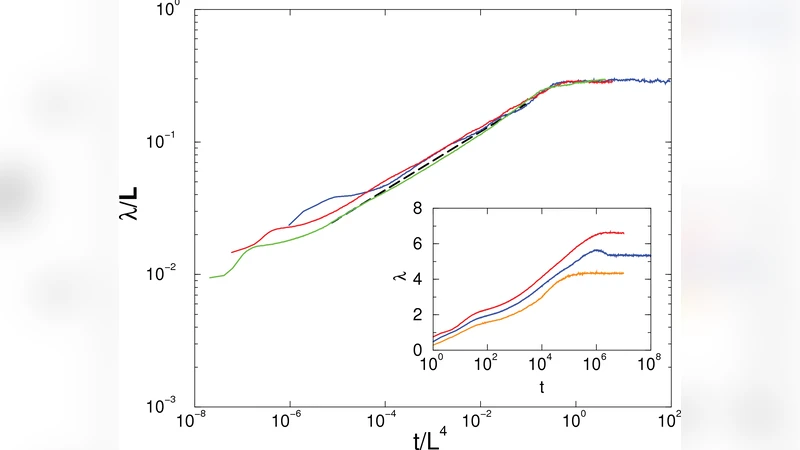
시뮬레이션 결과는 세 가지 주요 스케일링 클래스를 재현한다. 첫째, 순수한 보존 확산(역 Mullins‑Herring)에서는 표면 폭 W(t)가 t^{β} 형태로 성장하며, β≈0.25, α≈1.0인 MH 혹은 MBE 클래스 지수를 보인다. 둘째, KPZ 성장(무작위 증착)과 보존 확산을 동시에 적용하면, 초기에는 복합적인 패턴(점 혹은 리플)이 나타나지만 장기적으로는 KPZ 지수(β≈0.24, α≈0.39)가 지배한다. 이는 2차원 Kuramoto‑Sivashinsky(KS) 방정식이 강한 결합(KPZ) 영역으로 흐른다는 이론적 예측을 수치적으로 확인한 것이다. 셋째, 매우 강한 정상 표면 확산을 KPZ와 결합하면, 표면 폭은 로그 성장(W∼√ln t)으로 전이한다. 이는 강한 결합 KPZ 클래스가 평균장(mean‑field) 거동으로 수렴한다는 기존 추정과 일치한다.

패턴 형성 측면에서, 역 Mullins‑Herring 확산이 KPZ와 경쟁하면, 표면 전류가 특정 방향으로 편향될 경우 리플이 형성되고, 그 파장은 시간에 따라 λ∝t^{1/4} 정도로 코어싱한다. 전류가 없거나 무작위이면 파장 성장이 거의 없고, 로그 스케일의 미세 구조가 유지된다. 이러한 결과는 실험적 증착 공정에서 전류 제어가 리플 코어싱을 조절할 수 있음을 시사한다. 전체적으로, 보존 격자 가스 모델은 연속식 이론과 수치 실험 사이의 다리를 놓으며, 복잡한 비평형 표면 성장 현상을 효율적으로 탐구할 수 있는 강력한 도구임을 입증한다.


댓글 및 학술 토론

Loading comments...

의견 남기기