간헐성 지도와 구글 매트릭스의 울람 네트워크 분석

간헐성 지도와 구글 매트릭스의 울람 네트워크 분석
안내: 본 포스트의 한글 요약 및 분석 리포트는 AI 기술을 통해 자동 생성되었습니다. 정보의 정확성을 위해 하단의 [원본 논문 뷰어] 또는 ArXiv 원문을 반드시 참조하시기 바랍니다.

초록

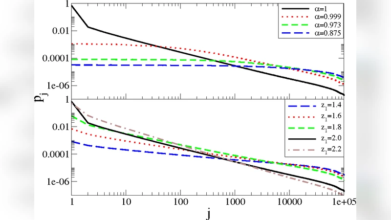
본 논문은 울람 방법을 이용해 간헐성 맵으로부터 생성된 네트워크의 구글 매트릭스를 구성하고, 그 스펙트럼과 페이지랭크 특성을 조사한다. 페이지랭크는 파라미터와 감쇠 계수 α에 따라 전력법칙 형태의 지수 β를 보이며, 특정 조건에서는 완전 비국소화되어 검색 효율이 저하된다.

상세 분석

울람 방법은 동역학적 맵의 퍼론-프루베니우스 연산자를 이산화하여 전이 행렬을 얻는 기법으로, 이를 구글 매트릭스 G = αS + (1 − α)E/N 형태로 변환한다. 여기서 S는 울람 전이 행렬을 구글 스테핑 규칙에 맞게 정규화한 확률 행렬이며, α는 전통적인 구글 감쇠 계수이다. 논문은 두 종류의 간헐성 맵—피아노-라프라스와 레비-플라톤—을 대상으로 각각 10⁴ ~ 10⁶개의 구간으로 분할해 울람 네트워크를 구축하였다. 스펙트럼 분석 결과, 비주요 고유값들은 복소 평면에서 원점에 가깝게 분포하고, 주된 고유값 λ₁ = 1을 제외하고는 절대값이 α에 비례해 감소한다는 점이 확인되었다. 특히, 고유벡터 중 가장 큰 고유값에 대응하는 페이지랭크 벡터는 노드 순위가 k번째 노드에 대해 P(k) ∝ k^{−β} 형태의 전력법칙을 따르며, β는 맵의 비선형성 파라미터와 α에 민감하게 변한다. α → 1에 가까울수록 β는 작아져 순위가 급격히 집중되지만, α가 0.5 이하로 감소하거나 맵 파라미터가 임계값을 초과하면 β가 0에 가까워져 페이지랭크가 거의 균등하게 퍼지는 비국소화 현상이 나타난다. 이러한 비국소화는 네트워크가 높은 혼돈성을 띠며, 전이 행렬의 스펙트럼 갭이 좁아지는 것과 연관된다. 저자들은 또한 고유벡터의 프랙탈 차원을 측정해, 비국소화 구간에서는 차원이 1에 근접해 전역적인 확산이 일어남을 보였다. 결과적으로, 간헐성 맵 기반 울람 네트워크는 전통적인 웹 그래프와 달리 파라미터 조정에 따라 페이지랭크의 집중도와 탐색 효율이 크게 변동할 수 있음을 시사한다.


댓글 및 학술 토론

Loading comments...

의견 남기기