세포 간 P 글리코프로틴 전달이 유방암 다제내성에 미치는 영향

세포 간 P 글리코프로틴 전달이 유방암 다제내성에 미치는 영향
안내: 본 포스트의 한글 요약 및 분석 리포트는 AI 기술을 통해 자동 생성되었습니다. 정보의 정확성을 위해 하단의 [원본 논문 뷰어] 또는 ArXiv 원문을 반드시 참조하시기 바랍니다.

초록

이 연구는 P‑gp를 과발현한 MCF‑7 내성 세포와 민감한 MCF‑7 세포를 공동배양했을 때, 세포 간 P‑gp 전달이 발생하고, 이로 인해 민감한 세포가 기능성 P‑gp를 획득해 약물 저항성을 얻는 과정을 실험과 수학 모델을 통해 규명한다. Boltzmann형 적분‑편미분 방정식으로 P‑gp 활성을 연속 변수로 구조화한 모델은 초기 세포 비율, 증식률, 전달률을 추정하고, 전달이 P‑gp 발현 구배에 의존함을 보여준다. 결과는 P‑gp 발현 자체가 진단 및 화학요법 설계에 고려해야 할 외부 유전적 저항 메커니즘임을 시사한다.

상세 분석

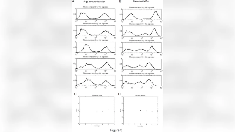
본 논문은 종양 내 이질성 세포 집단이 유전·후생·외부유전적 메커니즘을 통해 협력적으로 성장한다는 가설을 실험적 증거와 수학적 모델링으로 검증한다. 실험적으로는 도옥소루비신 저항성을 가진 MCF‑7/DOX 변이주와 원래 민감한 MCF‑7(Parental) 세포를 1:1 비율로 공동배양하고, 일정 기간마다 흐름세포계측법(FACS)으로 세포 표면 P‑gp 양과 기능성 에프럭스 활성을 측정하였다. 시간 경과에 따라 민감 세포군에서도 P‑gp 양이 점진적으로 증가하고, 동시에 전체 집단의 약물 배출 능력이 강화되는 현상이 관찰되었다. 이는 세포 간 직접적인 P‑gp 단백질 전달이 일어나고 있음을 의미한다.

수학적 측면에서는 P‑gp 활성을 연속 변수 x∈


댓글 및 학술 토론

Loading comments...

의견 남기기