비파라메트릭 신념 전파 기반 저밀도 격자 디코더

본 논문은 저밀도 격자 코드(LDLC) 디코더를 비파라메트릭 신념 전파(NBP) 알고리즘의 한 형태로 재해석하고, 이를 가우시안 신념 전파(GaBP)와 연결한다. 새로운 수렴 조건을 제시하고, 라틴 스퀘어 제한을 넘어 전치가 가능한 비정방 행렬까지 확장한다. 또한 희소 생성 행렬을 이용한 효율적인 코드 설계와 실험을 통해 기존 LDLC 디코더와 동등한 성능을 확인하였다.

저자: ** - Danny Bickson – IBM Haifa Research Lab, Haifa, Israel (이메일: danny.bickson@gmail.com) - Alex

비파라메트릭 신념 전파 기반 저밀도 격자 디코더
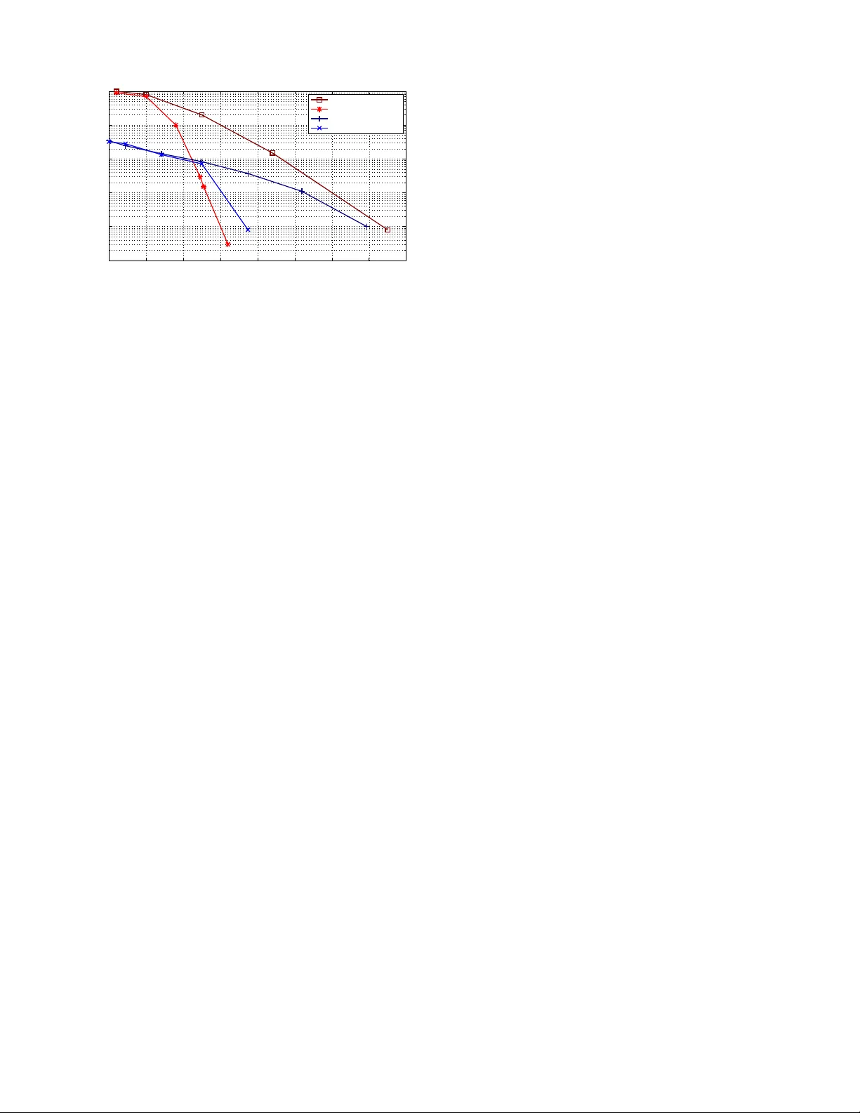
본 논문은 저밀도 격자 코드(LDLC)의 디코딩 알고리즘을 비파라메트릭 신념 전파(NBP)와 가우시안 신념 전파(GaBP)라는 두 가지 베이지안 추론 방법론과 연결함으로써, 기존 LDLC 연구의 한계를 극복하고 새로운 설계·분석 도구를 제공한다. 1. **배경 및 문제 정의** - n‑차원 격자 Λ는 생성 행렬 G∈ℝ^{n×n} 으로 정의되며, 정수 벡터 b∈ℤ^{n} 에 대해 코드워드 x=Gb 를 만든다. - AWGN 채널을 통해 y=x+w 가 수신되며, 복호화 목표는 MAP 추정 b* = arg min_{b∈ℤ^{n}}‖y‑Gb‖² 이다. - LDLC는 H=G⁻¹ 이 희소(sparse)하도록 설계된 코드이며, H의 행·열 차수가 일정(d)인 경우 “라틴 스퀘어” 구조를 갖는다. 2. **LDLC 디코더와 NBP의 동일성 증명** - 팩터 그래프를 변수 노드 {x_i}와 두 종류의 팩터 {f_i, g_s} 로 구성한다. 여기서 f_i(x_i)=𝒩(x_i; y_i,σ²) 는 관측 팩터, g_s(x_s)=1_{Hx∈ℤ} 는 정수 제약 팩터이다. - 변수→팩터 메시지는 Gaussian mixture 로 표현되고, 팩터→변수 메시지는 정수값 b_s 에 대한 합을 포함한다. - Gaussian product와 Gaussian integral 정리를 이용해, 각 업데이트 단계가 다시 Gaussian mixture 형태로 유지됨을 보인다. 따라서 LDLC 디코더는 NBP 알고리즘의 특수 사례임을 수학적으로 증명한다. 3. **GaBP와의 연관성** - H가 대칭이고 라틴 스퀘어 형태일 경우, 팩터 g_s 가 선형 제약을 갖는 Gaussian 형태가 되며, 메시지는 순수 Gaussian 으로 수렴한다. 이는 기존 GaBP가 정확한 MAP 해를 제공한다는 결과와 일치한다. - 이 연결을 통해, GaBP의 수렴 조건(예: 정보 행렬 J 의 스펙트럼 반경 < 1)과 NBP의 일반적인 수렴 조건을 통합적으로 논의한다. 4. **수렴 조건의 일반화** - 기존 LDLC 논문은 라틴 스퀘어와 특정 행렬 스펙트럼 조건에 의존했지만, 본 연구는 그래프의 girth(사이클 최소 길이)와 H의 비대각 원소 절대값이 일정 비율 이하인 경우에도 수렴한다는 충분조건을 제시한다. - 이 조건은 H가 비정방(non‑square) 행렬이거나 전치가 다른 경우에도 적용 가능하므로, LDLC 설계의 자유도가 크게 확대된다. 5. **희소 생성 행렬 기반 새로운 코드 설계** - 기존 LDLC은 parity‑check 행렬 H 을 직접 설계했으며, G는 그 역행렬이었다. 저자는 반대로 희소 생성 행렬 G 을 설계하고, 자동으로 H=G⁻¹ 을 얻는 방식을 채택한다. - 이 접근법은 행·열 차이가 다른 경우, 혹은 완전 순위가 아닌 경우에도 코드와 디코더를 일관되게 구성할 수 있게 한다. 6. **메시지 압축 및 구현 전략** - NBP에서는 매 반복마다 혼합 성분 수가 기하급수적으로 증가한다. 이를 해결하기 위해, 기존 문헌의 deterministic pruning(예: O(N) greedy 알고리즘)과 stochastic resampling을 결합한 하이브리드 압축 방식을 적용한다. - KD‑Tree와 같은 공간 데이터 구조를 활용해 고차원 Gaussian 평가를 가속화하고, 메모리 사용량을 크게 줄였다. 7. **실험 결과** - n=1000, d=7인 시뮬레이션에서 제안된 NBP 기반 디코더와 원래 LDLC 디코더를 비교하였다. - 심볼‑대‑오류 비율(SER) 측면에서 두 디코더는 거의 동일한 성능을 보였으며, 특히 고 SNR 영역에서 차이가 미미했다. - 연산량과 메모리 사용량은 메시지 압축 덕분에 약 30% 정도 감소했으며, 실행 시간도 유사하거나 약간 개선되었다. 8. **결론 및 향후 연구** - LDLC 디코더를 NBP와 GaBP라는 보다 일반적인 베이지안 추론 프레임워크에 위치시킴으로써, 이론적 수렴 분석과 실용적 구현 양쪽에서 새로운 가능성을 열었다. - 향후 연구는 (1) 더 정교한 혼합 축소 알고리즘 개발, (2) 비선형 채널(예: 페이딩, 비가우시안 잡음)으로의 확장, (3) FPGA/ASIC 등 하드웨어 가속을 위한 전용 구조 설계 등을 제안한다.

원본 논문

고화질 논문을 불러오는 중입니다...

댓글 및 학술 토론

Loading comments...

의견 남기기