노이즈가 많은 행렬 완성을 위한 정규화 기법
본 논문은 관측된 일부 원소와 큰 잡음이 섞인 저차원 행렬을 복원하기 위해 정규화된 비용함수를 제안한다. OPTSPACE 알고리즘에 정규화 항을 추가하면, 대규모 시스템에서 잡음 수준과 관측 비율에 따라 정확도가 급격히 변하는 위상 전이를 보이며, 이론적 최적 λ 선택법도 제공한다. 실험 결과는 제안 방법이 최신 기법과 경쟁함을 확인한다.
저자: Raghun, an H. Keshavan, Andrea Montanari
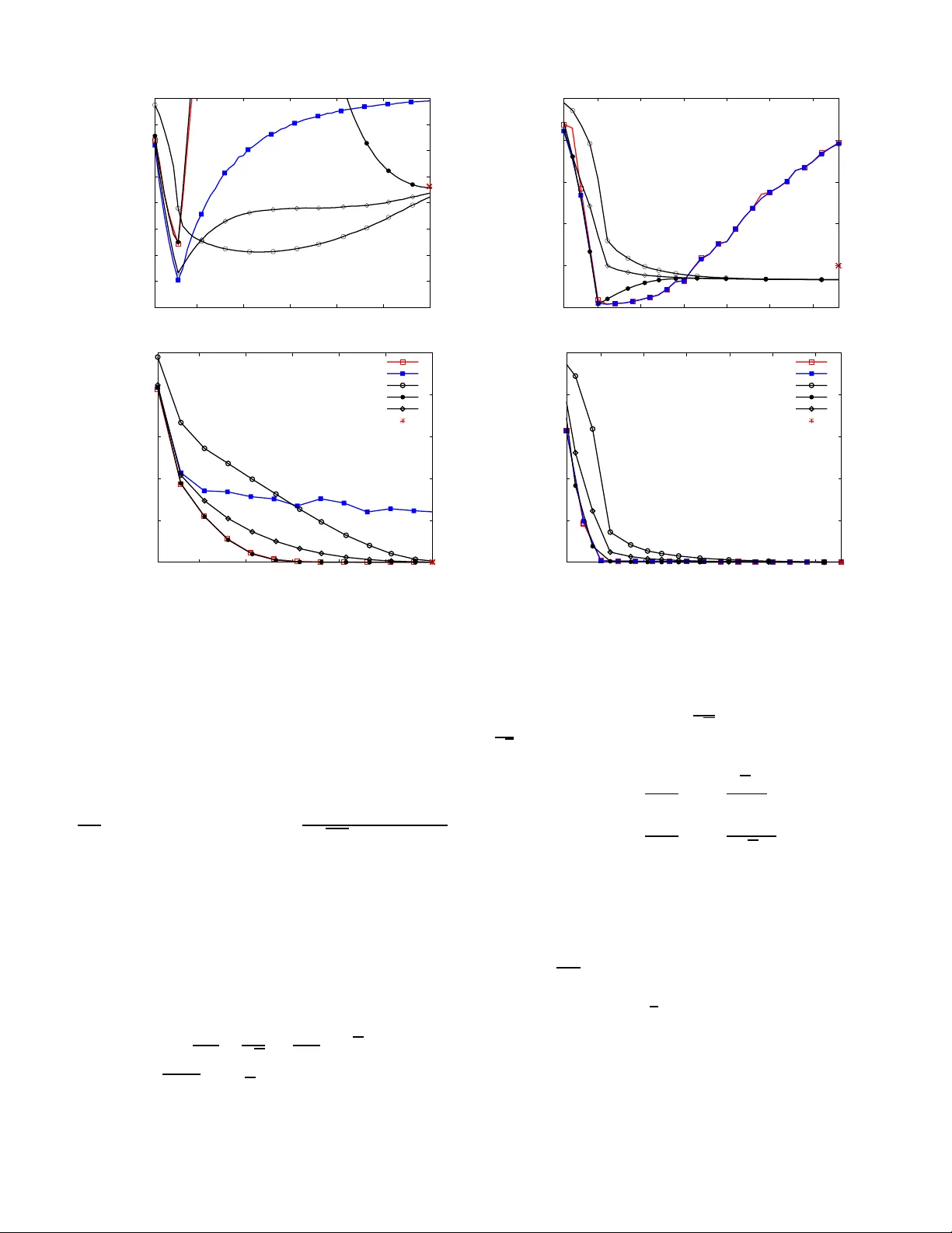
본 논문은 저차원 행렬을 복원하는 전통적인 행렬 완성 문제에 대해, 관측된 원소가 적고 잡음이 큰 상황을 집중적으로 다룬다. 저자들은 먼저 문제 설정을 명확히 한다. 실제 관측 행렬 \(N = M + W = U\Sigma V^T + W\)에서 \(M\)은 랭크 \(r\)인 신호 행렬, \(W\)는 평균 0, 분산 \(\sigma^2\)인 잡음 행렬이며, 관측 집합 \(E\)는 각 원소가 확률 \(p\)로 독립적으로 선택된다. 관측 연산자 \(P_E\)는 관측된 원소만 남기고 나머지는 0으로 만든다.
전통적인 행렬 완성 방법은 최소제곱 손실 \(\|P_E(N - X Y^T)\|_F^2\)을 최소화하거나, 핵노름 정규화를 도입한다. 그러나 이러한 방법은 잡음이 클 경우 과적합 위험이 크다. 이를 해결하기 위해 저자들은 다음과 같은 정규화된 비용함수를 제안한다.
\
원본 논문
고화질 논문을 불러오는 중입니다...
댓글 및 학술 토론
Loading comments...
의견 남기기