베이즈 추정 기반 선택적 미량 가스 검출

베이즈 추정 기반 선택적 미량 가스 검출
안내: 본 포스트의 한글 요약 및 분석 리포트는 AI 기술을 통해 자동 생성되었습니다. 정보의 정확성을 위해 하단의 [원본 논문 뷰어] 또는 ArXiv 원문을 반드시 참조하시기 바랍니다.

초록

본 논문은 확산 속도 차이를 이용해 다중 가스 혼합물을 선형 광흡수 센서 배열에 전달하고, 베이즈 추정으로 각 가스의 농도를 동시에 복원하는 방법을 제시한다. 모든 물리적 파라미터는 사전에 알려져 있다고 가정하고, 시간에 따른 흡광도 프로파일만으로 종별 인구수를 추정한다.

상세 분석

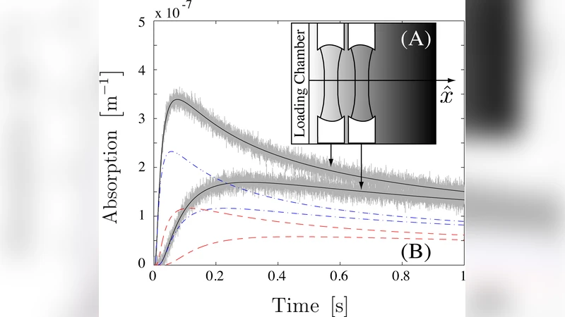
이 연구는 기존의 질량 분석기나 전기화학 센서가 가지는 복잡한 전처리와 선택성 한계를 극복하고자, 확산 현상의 물리적 차이를 활용한다는 점에서 혁신적이다. 먼저 시료를 일정 부피의 챔버에 주입한 뒤, 가스 혼합물은 자유 확산에 의해 일차원으로 퍼져 나가며, 각 가스는 고유의 확산계수 D_i에 따라 전파 속도가 달라진다. 이러한 차이는 동일한 광학 경로를 공유하는 일련의 고품질 Fabry‑Perot 캐비티(또는 기타 고감도 흡수 셀)에서 시간‑분해 흡광 신호를 기록함으로써 측정된다. 핵심은 “시간‑오브‑플라이트” 형태의 흡광 곡선이 각 가스의 농도와 확산계수의 함수라는 점이다.

베이즈 추정 프레임워크는 사전 확률(prior)로 각 가스의 초기 농도 분포를 설정하고, 관측된 흡광 데이터 L(t)와 물리 모델 M(D_i, σ_i, V 등)를 결합해 사후 확률(posterior)을 계산한다. 여기서 σ_i는 각 종의 광학 단면적이며, 실험 전 캘리브레이션을 통해 정확히 알려진다고 가정한다. 논문은 마르코프 체인 몬테 카를로(MCMC)와 변분 베이즈(VB) 두 가지 수치적 구현을 제시하고, 특히 MCMC가 복잡한 다중 피크 구조를 정확히 복원하는 데 유리함을 보인다.

시뮬레이션 결과는 두 개 이상의 가스가 겹치는 흡수 스펙트럼을 가질 때도, 시간 축상의 미세한 지연 차이를 이용해 1 ppm 이하의 정밀도로 농도를 추정할 수 있음을 보여준다. 또한, 센서 배열의 간격과 캐비티의 품질(Q) factor가 추정 정확도에 미치는 영향을 정량화하였다. 간격이 너무 좁으면 시간 분해능이 감소하고, Q가 낮으면 신호‑대‑노이즈 비가 악화돼 베이즈 사후 분포가 넓어지는 것이 확인되었다.

이 방법의 장점은 (1) 별도의 화학적 전처리 없이 바로 현장 측정이 가능하고, (2) 동일한 광학 시스템으로 다중 종을 동시에 감시할 수 있어 비용 효율성이 높으며, (3) 베이즈 프레임워크가 제공하는 불확실성 정량화가 실시간 의사결정에 유용하다는 점이다. 반면, 확산계수가 온도·압력에 민감하므로 환경 보정이 필요하고, 매우 느린 확산 가스(예: 무거운 분자)의 경우 측정 시간이 길어지는 단점도 존재한다.


댓글 및 학술 토론

Loading comments...

의견 남기기