폐궤도 이론을 통한 유한 페르미계의 밀도 진동 해석

본 논문은 Gutzwiller 반고전적 그린 함수를 이용해 구속된 비상호작용 페르미 입자들의 입자 밀도와 운동에너지 밀도의 진동 부분을 폐쇄된 비주기적 고전 궤도와 연결한다. 구형 대칭 퍼텐셜에 대해 보편적인 관계식과 임의 퍼텐셜에 대한 ‘국부 Virial 정리’를 도출하고, 1차원 시스템에 대한 간단한 해석식을 제시한다.

저자: Jer^ome Roccia, Matthias Brack

폐궤도 이론을 통한 유한 페르미계의 밀도 진동 해석
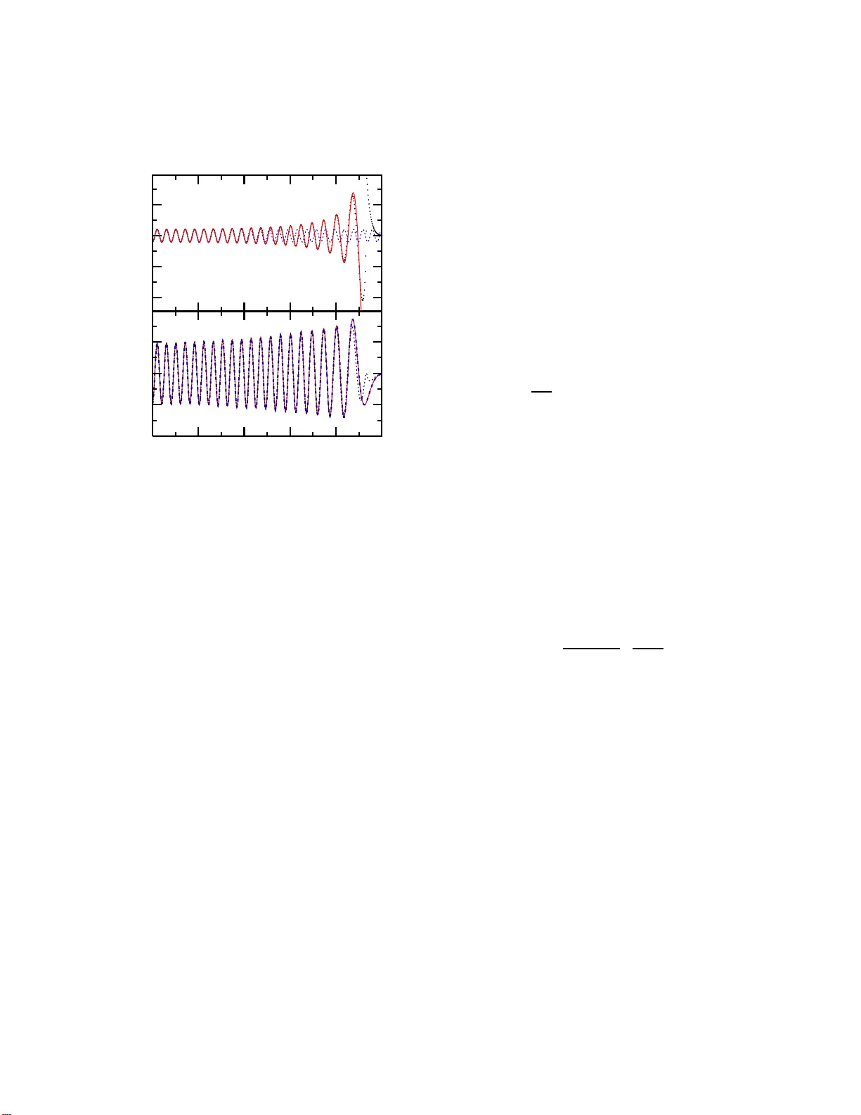
본 논문은 비상호작용 페르미 입자 N개가 국부 퍼텐셜 V(r) 안에 구속된 시스템에서 입자 밀도와 운동에너지 밀도의 양자 진동을 고전역학적 폐쇄 궤도와 연결하는 새로운 이론을 제시한다. 먼저, 입자 밀도 ρ(r)와 두 종류의 운동에너지 밀도 τ(r), τ₁(r)를 그린 함수 G(E,r,r′)의 상상부를 이용해 적분 형태로 표현한다. 여기서 G는 모든 고유 상태 ψₙ와 고유 에너지 Eₙ를 포함하는 완전한 표현이며, ρ와 τ는 각각 (1)과 (2)(3)식으로 정의된다. 반고전적 접근을 위해 Gutzwiller의 반고전적 그린 함수 근사식 G_scl(E,r,r′)을 도입한다. 이 근사는 고전 액션 S(E,r,r′), 모스 지수 μ, Van Vleck 행렬식 D 등을 포함하며, r=r′인 경우에만 기여하는 폐쇄된 궤도(Closed Non‑Periodic Orbits, NPO)를 합산한다. 이때, 주기 궤도(Periodic Orbits, PO)는 액션이 위치에 독립적이므로 스무스 TF(Thomas‑Fermi) 밀도와 동일하게 기여하고, NPO는 밀도의 진동 부분을 담당한다. 밀도 진동을 구체적으로 전개하면, δρ(r), δτ(r), δτ₁(r) 가 각각 식 (13)–(15) 형태로 나타난다. 여기서 p(E,r)와 T(E,r)=∂S/∂E는 고전 운동량과 궤도 주기를 의미한다. 중요한 결과는 δτ(r)와 δρ(r) 사이에 δτ(r)=

원본 논문

고화질 논문을 불러오는 중입니다...

댓글 및 학술 토론

Loading comments...

의견 남기기