시간 코드를 활용한 순차 학습과 모방 메커니즘

시간 코드를 활용한 순차 학습과 모방 메커니즘
안내: 본 포스트의 한글 요약 및 분석 리포트는 AI 기술을 통해 자동 생성되었습니다. 정보의 정확성을 위해 하단의 [원본 논문 뷰어] 또는 ArXiv 원문을 반드시 참조하시기 바랍니다.

초록

**
본 논문은 전전두피질의 서서히 변하는 시간 의존 발화 패턴을 이용해 ‘Many‑Are‑Equal’ 연산을 구현하고, 이를 통해 순간적인 시퀀스(예: 짧은 멜로디)를 단일 시도 학습(STDP)으로 저장·재생하는 모델을 제시한다. 억제성 시냅스와 세타 리듬이 공통 억제 전류를 제공해 시간점별 인구 코드 인식을 가능하게 하며, 속도 조절·역재생·노이즈 내성이 구현된다.

**

상세 분석

**
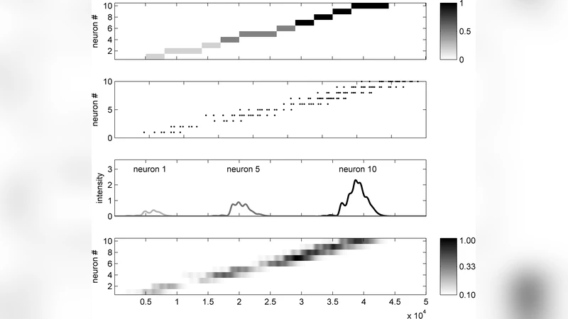
이 연구는 포유류 전전두피질(PFC)에서 관찰되는 ‘시간에 따라 부드럽게 변하는’ 연속적 발화율을 계산적 자원으로 활용한다. 저자들은 이러한 연속적 신경활동을 ‘시간 좌표축’으로 보고, 특정 순간에 존재하는 전체 뉴런 집단의 발화 패턴을 비교하는 ‘Many‑Are‑Equal (MAE)’ 연산을 설계하였다. MAE는 서로 다른 뉴런들의 발화율이 일정 범위 내에서 일치할 때 강한 동시 억제 전류를 발생시키는 공통 억제성 시냅스를 도입함으로써 구현된다. 이 억제 전류는 세타(4–8 Hz) 리듬에 동기화되어, 전체 네트워크가 주기적으로 ‘시간 스냅샷’을 샘플링하도록 만든다.

시퀀스 학습 단계에서는 외부 감각 입력(예: 음표의 피치와 지속시간)이 특정 시간점에 발생하는 MAE 신호와 연계되어 시냅스 가중치를 조정한다. 저자는 Spike‑Timing‑Dependent Plasticity(STDP)를 사용해, 입력이 MAE 신호보다 약 10–30 ms 앞서 도착하면 시냅스가 강화되고, 반대이면 약화되는 규칙을 적용하였다. 이 규칙은 단일 시도(수 초 이내)만으로도 강력한 연관성을 형성하게 하며, 실제 실험에서 관찰된 ‘몇 초 안에 모방 가능한’ 현상을 모델링한다.

재생 단계에서는 동일한 서서히 변하는 배경 활동을 그대로 유지하되, 외부 입력을 차단하고 저장된 가중치를 통해 MAE 신호가 다시 발생하도록 한다. 배경 활동의 진행 속도를 조절하면 시퀀스가 원래 속도보다 빠르게 혹은 느리게 재생될 수 있고, 배경 활동을 역방향으로 진행시키면 시퀀스가 역재생된다. 또한, 시냅스 적응과 뉴런의 포스트‑하이퍼폴라리제이션 반동(rebound) 메커니즘을 도입해, 입력 잡음이나 신경 피로에 대한 내성을 확보하였다.

핵심적인 과학적 통찰은 다음과 같다. 첫째, 연속적 시간 코드는 이산적인 ‘시간 라벨’ 역할을 하여 복잡한 순차 정보를 압축한다. 둘째, 공통 억제성 전류와 세타 리듬은 MAE 연산을 효율적으로 수행하게 하여, 전체 네트워크가 순간적인 시간점을 빠르게 구분하도록 만든다. 셋째, STDP를 초단위 내에 작동하도록 제한함으로써, 인간이 짧은 멜로디를 듣고 즉시 흉내낼 수 있는 단일 시도 학습 메커니즘을 설명한다. 넷째, 배경 활동의 속도와 방향을 조절함으로써, 뇌가 행동 순서를 가변적으로 재생·조절할 수 있는 가능성을 제시한다. 이러한 모델은 기존의 ‘시계 신경망’이나 ‘리프레시 토큰’ 모델과 달리, 실제 생리학적 관찰에 기반한 연속적 시간 코드를 활용한다는 점에서 차별화된다.

**


댓글 및 학술 토론

Loading comments...

의견 남기기