계층모형 두 번째 단계 검증을 위한 부분 사후 p값과 피벗량 접근법

본 논문은 Bayarri와 Berger가 제안한 “부분 사후(posterior) p값” 개념을 계층모형의 두 번째 단계(하위 수준) 검증에 확장한다. 저자는 부분 사후 p값이 데이터의 “이중 사용(double use)” 문제를 완화하고, 대안으로 피벗량(pivotal quantities)을 이용한 진단 방법을 제시한다. 정상‑정규 계층모형과 베타‑이항 예시를 통해 방법론의 장·단점을 평가하고, 계산 복잡성, 비균일 p값, 그래픽 진단의 제한 등…

저자: Valen E. Johnson

계층모형 두 번째 단계 검증을 위한 부분 사후 p값과 피벗량 접근법
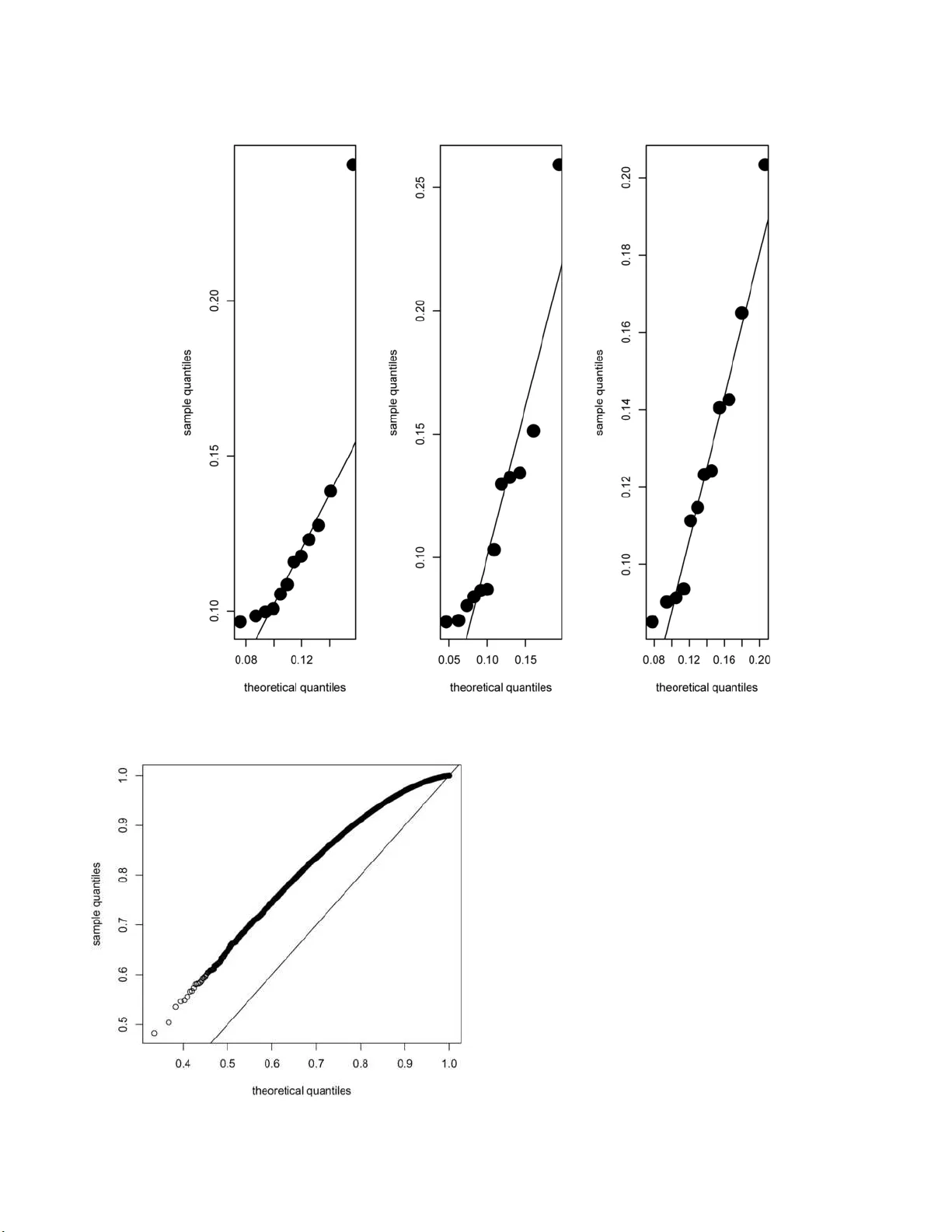
본 논문은 Bayarri와 Berger(1999)가 제시한 “부분 사후(posterior) p값” 개념을 계층모형의 두 번째 단계, 즉 하위 수준 모수에 대한 모델 검증에 확장한다. 저자는 부분 사후 p값이 데이터의 “이중 사용(double use)” 문제—즉 데이터를 동시에 모수 추정과 모델 적합도 평가에 사용하는 문제—를 완화함으로써 전통적인 사후 p값이 갖는 검정력 감소를 보완한다. 부분 사후 분포는 관측된 테스트 통계량 t_obs 를 조건으로 한 사후분포 π(θ|x_obs/t_obs)∝f(x_obs|θ)π(θ)f(t_obs|θ) 로 정의되며, t가 보조통계이면 전체 사후와 동일하고, 충분통계이면 사전과 동일해진다. 이러한 특성은 t가 모델에 대한 정보를 거의 제공하지 않을 때(보조통계) 마스킹을 최소화하고, t가 충분통계이면 부분 사후 p값이 사전과 동일해 “객관적” 베이지안 검증이 불가능함을 의미한다. 논문은 정상‑정규 계층모형을 중심으로 여러 예시를 제시한다. 첫 번째 예시는 O’Hagan(2003)의 정상‑정규 계층구조를 사용해 그룹 평균의 초모수 μ와 τ 를 검증한다. 여기서 ε_ij = (y_ij−θ_i)/σ_i 와 E = (θ_i−μ)/τ 라는 표준 정규 피벗량을 정의하고, 이들이 사후에서 추출한 θ_i, μ, τ 로 평가될 때 독립적인 표준 정규분포를 따른다. 이를 이용해 QQ‑plot을 그리면 특정 그룹(예: 다섯 번째 그룹)의 평균이 이상치임을 시각적으로 확인할 수 있다. 또한 Shapiro‑Wilk 검정통계량을 피벗량으로 사용해 전체 잔차의 정규성을 평가하고, 부분 사후 p값과 비교해 동일한 결론을 얻는다. 두 번째 예시는 베타‑이항 모델을 다룬다. 저자는 Jeffreys 사전(α,β) 를 구간 (a,1/a) 로 절단하고, 사후에서 α와 β 를 추출한 뒤 ζ_i = Beta(p_i;α,β) 를 계산한다. ζ_i 는 균등분포를 따르므로, ζ_i 를 이용한 순위통계량 ζ_(12) 의 누적분포함수는 F(x)=x^{12} 로 정확히 알 수 있다. 따라서 ζ_(12) 에 대한 p값을 직접 구하거나, Caraux‑Gascuel(1992)와 Rychlik(1992)의 종속 표본 순위통계량에 대한 경계값을 이용해 보수적인 p값 상한(p<0.10)을 얻는다. 이 과정에서 추가적인 MCMC 시뮬레이션이 필요 없으며, 부분 사후 p값이 요구하는 복잡한 밀도 추정과 수치적 오류를 회피한다. 그러나 부분 사후 p값에는 실질적인 어려움이 존재한다. 첫째, 테스트 통계량의 샘플링 밀도 θ에 대한 추정이 정상성에 크게 의존해 비정규 모델에서는 적용이 어려워진다. 둘째, 부분 사후 p값은 수치적으로 부분 사후 분포와 관측 통계량의 누적분포함수를 평가해야 하는데, 이는 MCMC 기반 시뮬레이션을 추가로 요구하고, 작은 표본에서는 비균일성이 두드러진다. 셋째, 충분통계에 기반한 테스트에서는 부분 사후 p값이 사전과 동일해 “객관적” 베이지안 검증이 불가능하다. 넷째, 그래픽 진단(예: QQ‑plot) 등 시각적 검증이 부분 사후 접근법과 잘 맞지 않아 모델 탐색 단계에서 활용도가 제한된다. 이러한 한계를 보완하기 위해 저자는 피벗량 기반 진단을 제안한다. 피벗량 S(x,θ)는 θ를 사후에서 추출한 값에 대해 평가해도 동일한 분포를 유지하므로, 사전‑예측(predictive) 계산 없이도 정확한 p값을 얻을 수 있다. 특히 정상‑정규 계층모형에서 ε_ij 와 E 와 같은 표준 정규 피벗량을 이용하면, 각 그룹 평균의 이상치를 시각적으로 확인하고, Shapiro‑Wilk 검정통계량을 피벗량으로 사용해 전체 잔차의 정규성을 검증한다. 베타‑이항 모델에서는 ζ_i 를 이용해 순위통계량의 정확한 분포를 알 수 있어, 복잡한 수치적 추정 없이도 보수적인 p값 경계를 제공한다. 결론적으로, Johnson은 부분 사후 p값이 이론적으로 마스킹을 감소시키고 검정력을 향상시킬 수 있으나, 실제 적용에서는 계산 복잡성, 비균일성, 그래픽 진단 부재 등 실용적 제약이 크다고 평가한다. 반면 피벗량 기반 방법은 이러한 제약을 최소화하면서도 동일한 검정력을 제공하므로, 특히 복잡한 계층모형이나 비정규 상황에서 더 유용한 대안이 될 수 있음을 강조한다.

원본 논문

고화질 논문을 불러오는 중입니다...

댓글 및 학술 토론

Loading comments...

의견 남기기