베타분포 중앙값 근사식 간단한 폐쇄형 공식

베타분포 Beta(a,b)의 중앙값을 (a‑1/3)/(a+b‑2/3) 로 근사하는 식을 제시한다. a와 b가 모두 1보다 클 때 상대오차가 4% 이하이며, 파라미터가 커질수록 오차는 급격히 감소한다.

저자: J. R. K. R. B., M. L. Smith, A. T. Nguyen

베타분포 중앙값 근사식 간단한 폐쇄형 공식
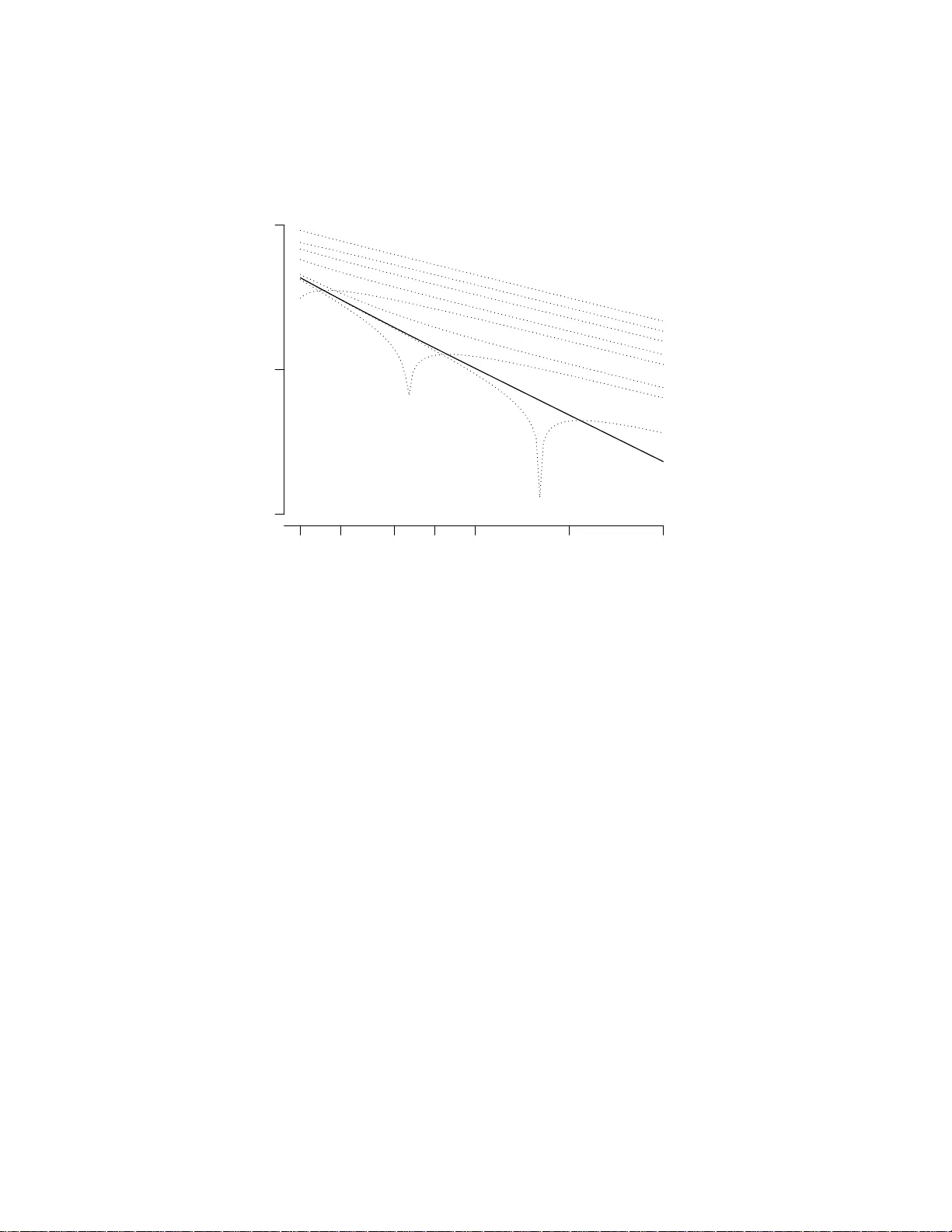
이 논문은 베타분포 Beta(a,b)의 중앙값을 간단히 계산할 수 있는 폐쇄형 근사식을 제시함으로써, 통계학 및 머신러닝 실무에서 흔히 마주치는 계산 부담을 크게 완화한다. 베타분포는 0과 1 사이의 확률변수를 모델링할 때 널리 쓰이며, 특히 베이지안 추정에서 사전분포와 사후분포로 자주 등장한다. 그러나 중앙값은 누적분포함수(CDF)의 역함수를 필요로 하므로, 일반적인 경우에는 수치적 적분이나 근사적 알고리즘에 의존해야 한다. 기존 문헌에서는 (a‑1)/(a+b‑2)와 같은 간단한 비율식이 제안되었지만, 이는 a와 b가 작을 때 큰 편향을 보이며, 정확도 면에서 제한적이었다. 저자는 이러한 문제점을 해결하고자 a와 b가 모두 1보다 클 때 적용 가능한 새로운 식 \

원본 논문

고화질 논문을 불러오는 중입니다...

댓글 및 학술 토론

Loading comments...

의견 남기기