분석마비 탈출 언제멈출까

본 논문은 시스템 분석 단계에서 발생하는 ‘분석 마비(Analysis Paralysis)’ 현상을 극복하기 위해 AAP(아크쉐이 분석 마비) 모델을 제시한다. 사람·데이터·프로세스·인터페이스·지리적 요인 등 다섯 가지 지표(PI, DG, PRI, IU, GQ)를 0~1 사이 값으로 평가하고, 알고리즘에 따라 분석을 중단하고 설계 단계로 전이할 시점을 판단한다.

저자: Er.Akshay Bhardwaj

분석마비 탈출 언제멈출까
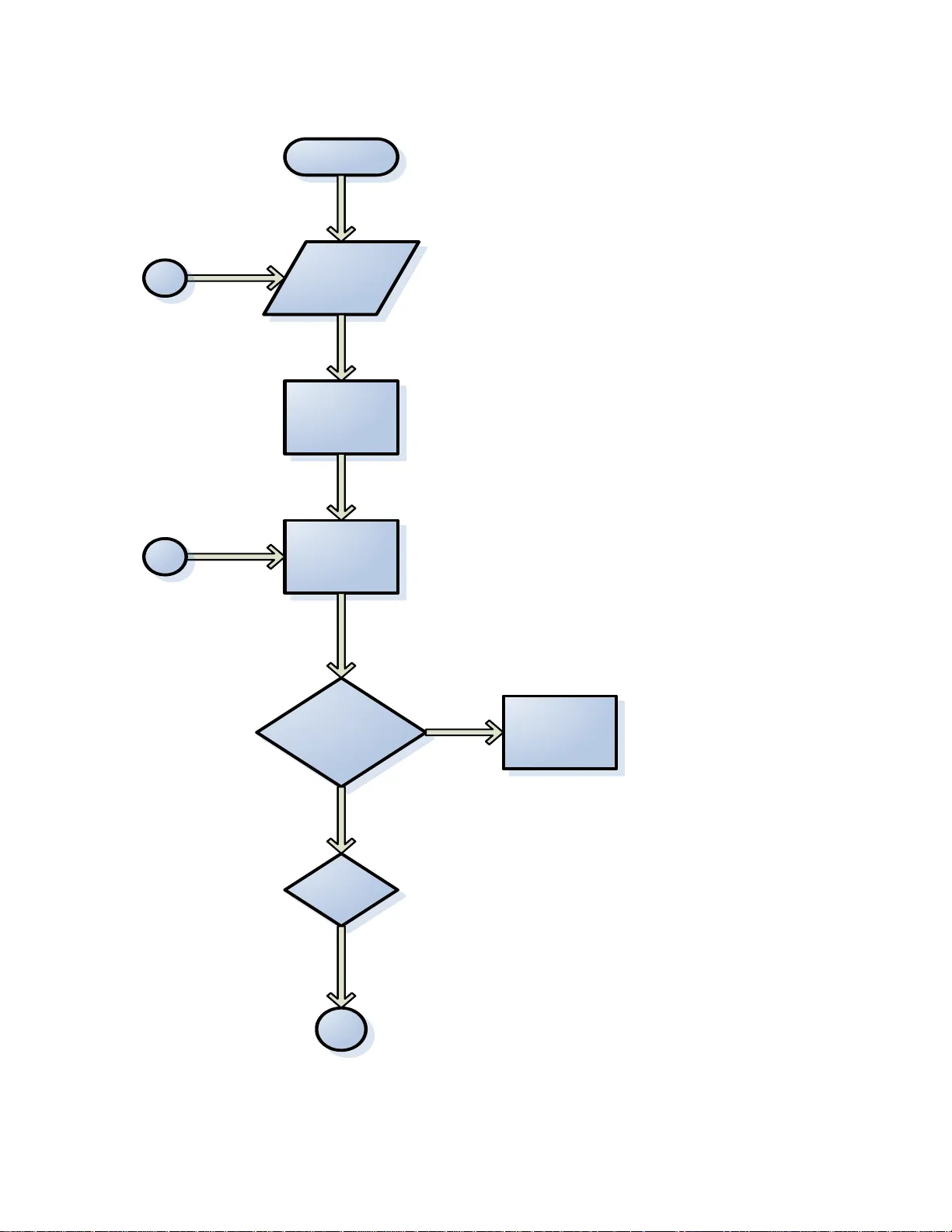
본 논문은 시스템 개발 생명주기(SDLC)에서 가장 중요한 단계인 시스템 분석이 동시에 가장 혼란스럽고 시간 소모가 큰 단계라는 점을 지적한다. 분석 단계가 지나치게 길어지면 ‘분석 마비(Analysis Paralysis)’ 현상이 발생해 설계·구현 단계로 넘어가지 못하고 프로젝트가 정체되는 문제가 발생한다. 이러한 현상을 해결하고자 저자는 AAP(아크쉐이 분석 마비) 모델을 제안한다. 논문은 먼저 서론에서 SDLC의 7~8단계를 나열하고, 그 중 분석 단계가 가장 핵심임을 강조한다. 분석은 시스템을 구성 요소별로 분해하고, 입력·프로세스·출력 관계를 파악하는 작업이며, 입력·프로세스·출력의 정의가 명확하지 않으면 분석이 무한히 이어진다. 이어서 ‘원칙(Principles)’ 섹션에서는 분석이 설계와 구현을 위한 청사진 역할을 한다는 점을 강조하고, 분석이 부실하면 설계·구현 단계에서 전반적인 실패 위험이 커진다고 설명한다. ‘구현(Implementation)’ 섹션에서는 분석 단계에서 언제 설계 단계로 넘어가야 하는가라는 실질적인 질문을 제기한다. 분석가, 데이터, 프로세스, 인터페이스, 지리적 요인 등 다섯 가지 핵심 요소를 각각 0과 1 사이의 값으로 정량화한다. 1) 사람 지수(PI) – 분석에 참여한 인원의 기여도를 측정한다. 정보 수집자와 정보 제공자를 구분하고, 설문을 통해 기여 정도를 0.5 기준으로 평가한다. 2) 데이터 수집(DG) – 수집된 데이터를 즉시 활용 가능한 데이터(U)와 향후 활용 가능한 데이터(F)로 구분한다. 각각이 0.5 이상이면 해당 데이터가 유의미하다고 판단한다. 3) 프로세스 지수(PRI) – 핵심 프로세스와 지원 프로세스로 나누어 이해도(0~1)를 평가한다. 0.5 미만이면 프로세스 이해가 부족하므로 분석을 재개한다. 4) 인터페이스 유용성(IU) – 사용자 인터페이스 요구사항을 정리하고, 0.5 이하이면 재고가 필요하다고 본다. 5) 지리적 차이(GQ) – 지역별 언어·문화·인프라 차이를 정량화한다. 0.5 이하이면 프로젝트 전반에 영향을 미칠 수 있음을 경고한다. 이러한 파라미터를 기반으로 한 알고리즘이 제시된다. 알고리즘은 (1) 모든 데이터를 수집하고, U와 F에 따라 두 파일로 나눈다. (2) 각 파일에 대해 PI를 계산하고, PI와 U·F의 조합에 따라 데이터를 유지하거나 폐기한다. (3) PRI를 검토해 프로세스 이해도가 충분하면 설계 단계로 이동하고, 부족하면 추가 분석을 수행한다. (4) IU와 GQ를 각각 0.5 기준으로 평가해, 기준 이하이면 재고하거나 인력을 추가한다. (5) 모든 기준을 통과하면 설계 단계로 전이하고, 그렇지 않으면 분석을 지속한다. ‘다이어그램적 표현’에서는 입력 데이터, PI, PRI, U, F, DG, IU, GQ를 흐름도 형태로 시각화하여 각 단계에서 수행되는 판단 과정을 보여준다. 결론에서는 제안된 AAP 모델이 0~1 사이의 정량적 지표를 통해 분석 단계 종료 시점을 객관적으로 판단하도록 돕는다는 점을 강조한다. 다만, 파라미터를 실제 프로젝트에 적용하기 위한 구체적인 측정 방법과 가중치 설정이 부족하므로, 향후 실증 연구가 필요하다고 제언한다. 전체적으로 이 논문은 분석 마비 문제를 정량화된 의사결정 프레임워크로 전환하려는 시도로, 프로젝트 관리자가 분석 진행 상황을 모니터링하고 적절한 시점에 설계 단계로 전환하도록 지원한다는 실용적 가치를 제공한다.

원본 논문

고화질 논문을 불러오는 중입니다...

댓글 및 학술 토론

Loading comments...

의견 남기기