다중사용자 MIMO 다운링크에서 선형 처리와 합계량 최대화

본 논문은 다중사용자 MIMO 방송채널에서 선형 프리코딩·디코딩을 이용해 합산 데이터율을 최대로 하는 새로운 MSE 기반 최적화 기준을 제시한다. 합계 MSE 행렬식의 곱(PDetMSE) 최소화가 합계량 최대화와 동등함을 증명하고, 계산 복잡도를 낮추기 위해 스칼라 MSE 곱(PMSE) 최소화 알고리즘을 제안한다. 시뮬레이션을 통해 제안 기법이 DPC 이론적 한계에 근접함을 확인한다.

저자: Adam J. Tenenbaum, Raviraj S. Adve

다중사용자 MIMO 다운링크에서 선형 처리와 합계량 최대화
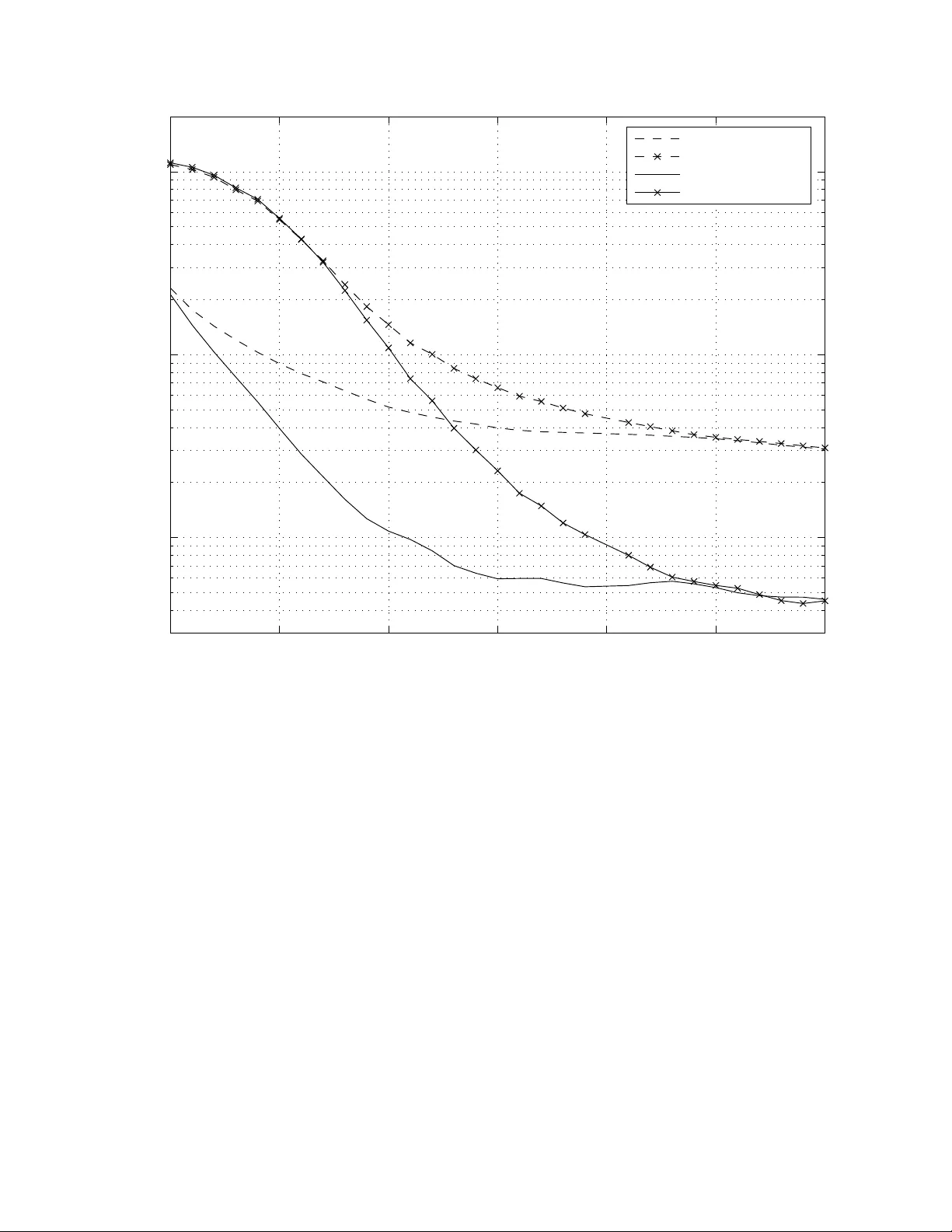
본 논문은 다중사용자 MIMO 시스템의 다운링크에서 선형 프리코딩·디코딩을 이용해 합계 데이터율을 극대화하는 새로운 최적화 프레임워크를 제시한다. 먼저 시스템 모델을 정의하고, 베이스 스테이션이 M개의 안테나를 가지고 K명의 사용자가 각각 N_k개의 안테나와 L_k개의 데이터 스트림을 수신하는 상황을 가정한다. 전송 신호는 각 스트림별 프리코더 u_kj 로 구성되며, 파워 할당 p_kj 를 통해 총 전송 전력을 제한한다. 사용자는 V_k 디코더를 통해 수신 신호를 복원한다. 전통적인 선형 프리코딩 연구는 주로 합 MSE(SMSE) 최소화나 개별 SINR 최적화에 초점을 맞추었으며, 이러한 접근법은 잡음 증폭과 사용자 간 간섭을 충분히 억제하지 못해 DPC(Dirty Paper Coding)와 같은 이론적 상한에 크게 뒤처진다. 저자는 이러한 한계를 극복하기 위해 MSE 행렬식(det)과 정보 용량 사이의 직접적인 관계를 탐구한다. 선형 MMSE 디코더 V_k 를 적용하면 각 사용자의 MSE 행렬 E_D_L_k 가 J_k⁻¹ 형태로 표현되며, 여기서 J_k = H_k U P U^H H_k^H + σ^2 I이다. 이때 det(E_D_L_k)=det(R_N+I,k)·det(J_k)⁻¹ 로 변형되며, 로그를 취하면 −log det(J_k)·det(R_N+I,k) 가 바로 사용자의 선형 처리 가능한 데이터율 R_LP_k 와 동일함을 보인다. 이러한 결과를 바탕으로 저자는 두 가지 최적화 문제를 정의한다. 첫 번째는 모든 사용자의 MSE 행렬식(det) 곱을 최소화하는 PDetMSE 문제이며, 이는 합계량 최대화와 완전히 동치이다. 그러나 PDetMSE는 비선형 행렬식 곱 때문에 전역 최적해를 찾기 위한 효율적인 알고리즘이 존재하지 않는다. 따라서 두 번째로, 스칼라 형태의 MSE, 즉 각 스트림별 평균 제곱오차(e_i) 를 곱한 PMSE 를 최소화하는 문제를 제안한다. PMSE는 각 스트림을 독립적으로 다루므로, 업링크-다운링크 듀얼리티를 이용한 반복적 최적화가 가능하다. 구체적으로는 (1) 가상 업링크에서 파워 q를 물채우기 방식으로 할당, (2) 업링크 디코더 f를 MMSE 기준으로 업데이트, (3) 다운링크 프리코더 u와 파워 p를 다시 물채우기와 MMSE 기준으로 업데이트하는 과정을 순환한다. 각 단계는 볼록 최적화 문제이므로 수렴이 빠르고 계산 복잡도가 크게 증가하지 않는다. 시뮬레이션에서는 다양한 안테나 구성과 SNR 조건에서 제안된 PDetMSE와 PMSE 기반 알고리즘을 DPC, ZF, BD, THP 등 기존 기법과 비교하였다. 결과는 PDetMSE가 이론적 상한에 가장 근접하고, PMSE도 DPC 대비 1~2 dB 정도의 손실만을 보이며, ZF·BD보다 3~5 dB 높은 합계량을 제공함을 보여준다. 특히 안테나 수가 사용자 수보다 적은 경우에도 PMSE 알고리즘은 안정적인 수렴을 보이며, 사용자 순서 선택이나 복잡한 비선형 프리코딩 없이도 실용적인 성능을 달성한다. 결론적으로, 본 연구는 MSE 행렬식과 채널 용량 사이의 깊은 연관성을 밝혀, 선형 프리코딩 환경에서도 거의 최적에 근접한 합계량 최대화 방법을 제공한다. 이는 실제 무선 시스템에서 복잡도와 성능 사이의 균형을 맞추는 데 중요한 기여를 한다.

원본 논문

고화질 논문을 불러오는 중입니다...

댓글 및 학술 토론

Loading comments...

의견 남기기