다중형 데이터 예측 정확도 향상을 위한 앙상블 접근법

본 논문은 기존의 임상 위험인자와 새롭게 확보된 이진형 SNP 데이터를 결합하여 관상동맥질환 예측력을 높이는 전략을 제시한다. 새 데이터에 대해서는 LASSO 기반 로지스틱 회귀와 로직 회귀(논리 트리) 두 모델을 구축하고, 기존 모델과의 예측을 서포트 벡터 머신(SVM)으로 구분된 서브스페이스에서 최적 조합한다. 이를 통해 서로 다른 데이터 유형이 보완적으로 작용하도록 하여 전반적인 예측 정확도를 개선한다.

저자: Jennifer Clarke, David Seo

다중형 데이터 예측 정확도 향상을 위한 앙상블 접근법
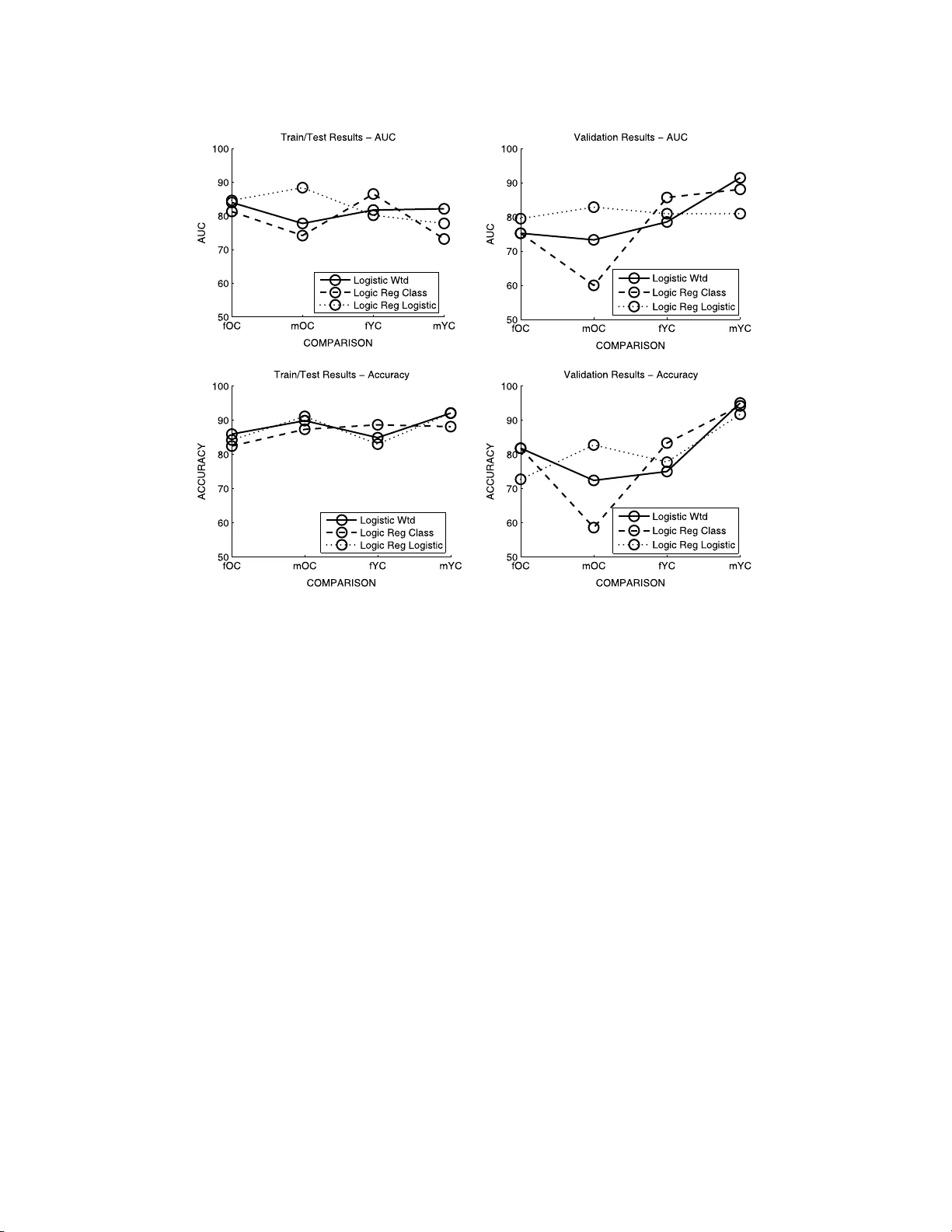
본 논문은 기존 임상 위험인자와 새롭게 확보된 이진형 SNP 데이터를 통합하여 관상동맥질환(CHD) 예측 모델의 정확도를 향상시키는 종합적인 전략을 제시한다. 연구 배경으로는 유전체 데이터가 점차 임상 연구에 도입되면서, 기존의 임상 변수만으로는 설명되지 않는 위험 요인을 보완하고자 하는 필요성이 강조된다. 저자들은 이러한 상황에서 “새로운 이진형 데이터가 기존 모델에 어떻게 추가될 수 있는가”라는 질문에 답하기 위해 두 가지 기본 모델링 접근법을 설계한다. 첫 번째 접근법은 LASSO(Least Absolute Shrinkage and Selection Operator)를 이용한 변수 선택 후 로지스틱 회귀를 수행하는 전통적인 방법이다. LASSO는 p≫n(변수 수가 표본 수보다 큰) 상황에서 과적합을 방지하고, 중요한 변수만을 남겨 해석 가능성을 높인다. 저자는 LASSO를 반복 적용해 계수가 0이 된 변수를 차례로 제거하고, 최종적으로 n보다 작은 변수 집합을 확보한 뒤 단계별 전진 선택을 통해 로지스틱 회귀 모델을 완성한다. 두 번째 접근법은 로직 회귀(logic regression)이다. 로직 회귀는 논리식(AND, OR, NOT)으로 구성된 트리를 탐색해 이진형 변수 간 복잡한 상호작용을 모델링한다. 논리식은 트리 형태로 시각화될 수 있으며, 각 노드는 변수의 존재·부재를 나타낸다. 탐색 공간이 방대하기 때문에 저자들은 탐욕적 검색과 시뮬레이티드 어닐링을 병행한다. 무작위 퍼뮤테이션을 통한 귀무모형 검정과 모델 크기 선택 절차를 도입해 과적합을 억제한다. 로직 회귀는 특히 n

원본 논문

고화질 논문을 불러오는 중입니다...

댓글 및 학술 토론

Loading comments...

의견 남기기