행렬 순서 제한 하의 통계 추정 및 검정

본 논문은 행과 열 모두에 순서 제한이 부여된 실수 행렬 파라미터에 대한 추정 및 검정 방법을 제시한다. Dykstra‑Robertson 알고리즘을 확장하여 일반적인 순서 제한(단순, 우산, 트리 등)에 적용 가능하도록 하고, 충분조건 하에서는 한 번의 행·열 연산만으로 수렴함을 증명한다. 제한된 최대우도추정량을 이용한 부트스트랩 검정통계량을 개발하고, 순서형 데이터 시뮬레이션을 통해 기존 방법과 비교한다. 마지막으로 독성학 실험 데이터에 적용…

저자: Eric Teoh, Abraham Nyska, Uri Wormser

행렬 순서 제한 하의 통계 추정 및 검정
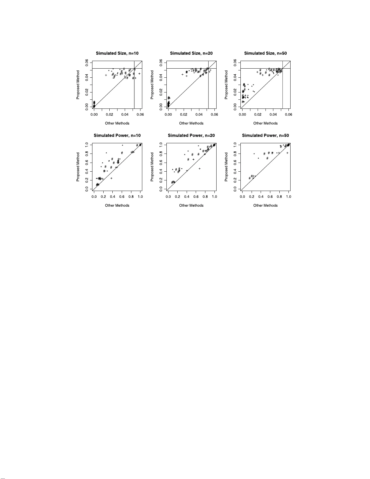
본 논문은 행과 열 모두에 순서 제한(order restriction)이 부과된 실수 행렬 파라미터 θ∈ℝ^{I×J}에 대한 통계적 추정 및 검정 방법을 체계적으로 개발한다. 서론에서는 이러한 행렬 형태 파라미터가 의료, 독성학, 유전자 발현 시계열 등 다양한 분야에서 나타나며, 기존의 제한 최대우도추정(RMLE)이나 제한된 우도비 검정(LRT)이 효율성·계산 복잡도·불편한 대수적 성질 등으로 한계가 있음을 지적한다. 2장에서는 기본 개념과 기호를 정의한다. 두 원소 θ_{i,j}, θ_{r,s}가 사전에 알려진 부등식 관계에 의해 연결(linked)된 경우를 “linked subgraph”라 하고, 이러한 서브그래프가 더 이상 확장될 수 없을 때 “maximally linked subgraph”라 정의한다. 행에 대한 제한 R⊂ℝ^I, 열에 대한 제한 C⊂ℝ^J 를 각각 지정하고, 이를 결합해 전체 제한 R Λ C 를 만든다. 단순 순서(simple order), 우산 순서(umbrella), 트리 순서(tree order) 등 다양한 형태를 maximally linked subgraph 로 표현한다. 다음으로 행·열 순서 제한을 만족하는 추정량을 구하기 위해 Dykstra‑Robertson(1982)의 교대 투영 알고리즘을 확장한다. 각 행·열에 대해 가중치 행렬 W_R, W_C 를 도입하고, 행에 대해서는 R_{S}^{W_R}, 열에 대해서는 C_{S}^{W_C} 라는 단순 순서 투영 연산자를 정의한다. 알고리즘은 다음 단계로 진행된다. 1) 무제한 추정량 ˆθ (보통 UMLE)를 얻는다. 2) 열에 C_{C}^{W_C} 를 적용해 열 순서 제한을 만족하도록 조정한다. 3) 행에 R_{R}^{W_R} 를 적용해 행 순서 제한을 만족하도록 조정한다. 4) 2‑3 단계를 반복해 수렴한다(수렴 기준은 변화량이 미세한 경우 등). 5) 행·열 연산이 교환법칙을 만족하지 않을 수 있으므로, 행‑열 순서와 열‑행 순서를 각각 수렴시킨 뒤 평균을 취해 최종 추정량 ˆˆθ 를 얻는다. 수렴 이론에서는 충분조건을 제시한다. 특히 설계가 균형(balanced)일 때, 즉 각 셀에 동일한 표본 크기가 할당된 경우, 한 번의 행·열 연산만으로 알고리즘이 수렴함을 정리(정리 1)한다. 일반 경우에도 가중치가 양수이고 제한이 폐쇄(convex)인 경우 수렴을 보장한다. 3장에서는 제한된 추정량을 이용한 검정통계량을 제안한다. Kolmogorov‑Smirnov 형태의 통계량을 정의하고, 그 귀무분포를 부트스트랩(재표본추출) 방법으로 근사한다. 부트스트랩은 제한된 추정량을 재계산하는 과정을 포함하므로, 제한된 파라미터 공간을 정확히 반영한다. 4장에서는 시뮬레이션 연구를 수행한다. 순서형 데이터(다중 범주)와 다양한 순서 제한(단순, 우산, 트리)을 조합해 10,000번 반복 시뮬레이션을 수행했고, 제안 검정의 크기(type I error)와 검정력(power)을 기존 LRT, 비모수 검정과 비교했다. 결과는 특히 복합 순서 제한(우산·트리) 상황에서 제안 검정이 더 정확한 크기 유지와 높은 검정력을 보였으며, 균형 설계에서는 계산량이 크게 감소함을 확인했다. 5장에서는 실제 독성학 데이터를 분석한다. 실험은 COX‑1 결핍, COX‑2 결핍, 야생형 마우스 3가지 유전자형에 황산 가스 노출 후 피부 손상 정도를 5단계(‘unremarkable’~‘marked’)로 기록한 것이다. 각 유전자형을 행, 손상 단계를 열로 하는 3×5 누적 확률 행렬 θ를 추정한다. 행과 열 모두에 단순 순서 제한이 적용되며, 균형 설계(각 유전자형당 10마리) 때문에 알고리즘은 한 번의 행·열 연산만에 수렴한다. 부트스트랩 검정 결과, COX‑2 결핍이 손상 감소(보호 효과)를, COX‑1 결핍이 손상 증가(부정적 효과)를 통계적으로 유의하게 나타냈다. 6장은 결론으로, 제안된 행·열 순서 제한 추정·검정 프레임워크가 이론적 강건성(수렴 보장, 충분조건)과 실용적 효율성(단일 반복, 부트스트랩 기반 p‑값) 모두를 제공함을 강조한다. 또한, 현재는 행·열이 각각 독립적인 순서 제한만을 다루지만, 향후에는 행·열 간 교차 제한이나 비선형 제한을 포함하는 확장이 가능함을 제시한다.

원본 논문

고화질 논문을 불러오는 중입니다...

댓글 및 학술 토론

Loading comments...

의견 남기기