이중강건 추정법 재조명: 완전 데이터 평균 추정 전략의 비교와 논쟁

본 논문은 이중강건(Double Robust, DR) 추정법에 대한 비판과 찬사를 종합한 토론에 대한 저자들의 답변이다. 저자는 DR 추정기의 다양한 형태, 경향점수와 결과 회귀의 역할, 영향함수 기반 해석, 그리고 시뮬레이션을 통한 실용적 교훈을 제시한다. 특히, 선형 회귀 기반 OLS 추정기의 개선 가능성과 가중치‑회귀 혼합형 하이브리드 추정기의 장점을 강조한다.

저자: Joseph D. Y. Kang, Joseph L. Schafer

이중강건 추정법 재조명: 완전 데이터 평균 추정 전략의 비교와 논쟁
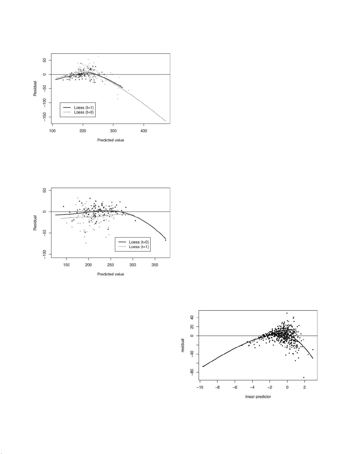
본 논문은 2007년 발표된 “Demystifying Double Robustness”에 대한 여러 학계 토론에 대한 저자들의 공식 답변(리조인)이다. 저자는 먼저 DR 추정기의 개념적 배경을 재정리한다. DR 추정기는 두 가지 모델—결과 회귀(Outcome Regression, OR)와 경향점수 모델(Propensity Score, PS)—중 하나만 올바르게 지정돼도 일관된 평균 추정치를 제공한다는 점에서 매력적이다. 그러나 저자는 DR 추정기가 ‘모든 상황에서 무조건 우수’하다고 주장하지 않으며, 특히 OR 모델이 강력히 지정된 경우에도 PS 정보를 무시하면 손실이 발생할 수 있음을 강조한다. 다음으로 저자는 Tsiatis와 Davidian이 제시한 영향함수(framework)를 인용한다. 이 프레임워크는 다양한 평균 추정량을 ‘추정 방정식의 해’로 표현하고, 표준오차 계산 및 복합표본 설계에 대한 일반화를 가능하게 한다. 저자는 특히 ˆμ_π‑cov 추정기가 전통적인 DR 조건(M_I∪M_II)에서는 일관성을 보장하지 않지만, 기저함수 차원을 표본 크기에 따라 늘리면 DR 특성을 회복할 수 있음을 설명한다. 이는 스플라인이나 다항식 기반 기저를 사용해 OR 모델에 PS‑관련 변수를 포함시키는 전략과 일맥상통한다. Tan의 논문에 대한 답변에서는, Tan이 제시한 ‘IPW를 보강한 회귀 추정기’를 DR 추정기의 효율성 향상 버전으로 해석한다. 저자는 Tan이 강조한 ‘IPW는 보수적, OR은 공격적’이라는 관점을 수용하면서, 실제 시뮬레이션에서는 두 접근법 모두 상황에 따라 큰 차이를 보인다고 지적한다. 특히, 저자는 Tan이 제시한 대체 변수 X₄=(Z₃+Z₄+20)²에 대해 OLS가 높은 R²(≈0.99)를 보이지만, 낮은 PS 구간에서 큰 편향을 일으키는 사례를 재현한다. 이때 PS‑기반 진단(잔차 vs. 로그오즈) 그래프를 통해 OR 모델의 결함을 확인하고, 로그오즈의 제곱(ˆη_i²)이나 선형 스플라인을 OR에 추가함으로써 편향을 크게 감소시킨다. 이러한 수정된 OLS(=ˆμ_π‑cov)는 Tan의 여러 DR 추정기와 동등한 성능을 보이며, 특히 n=200, 1000일 때 각각 %bias 5.7%와 24.6% 수준으로 개선된다. Ridgeway와 McCaffrey가 제안한 기계학습 기반 PS 추정(GBM, 트리, 신경망 등)에 대해서도 논한다. 이들 방법은 복잡한 상호작용을 포착해 IPW의 편향을 줄이는 장점이 있지만, 과적합 위험과 표준오차 추정의 복잡성을 초래한다. 저자는 ‘풍부한 PS 모델을 사용하되, 동일하게 풍부한 y‑모델을 제공하지 않으면 비교가 불공정하다’는 점을 강조한다. 실제 시뮬레이션에서는 잘못 지정된 OR 모델이 포함된 경우 ˆμ_OLS가 크게 실패하지만, OR에 적절한 상호작용(예: X₁·X₂)을 추가하면 편향이 거의 사라지고, DR 추정기와 비슷한 RMSE를 달성한다. Robins·et al.의 비판에 대해서는, 저자는 초기 연구 설계 단계에서 실제 데이터와 유사한 PS 분포와 y‑모델 상관관계를 인위적으로 설정했으며, 이는 DR 추정기의 강건성을 검증하기 위한 의도된 시나리오였다고 설명한다. 또한, Bang·Robins(2005)의 DR 권고가 충분한 주의 없이 제시된 점을 지적하며, 실제 적용 시 모델 진단과 적절한 보완이 필수임을 재차 강조한다. 결론적으로 저자는 DR 추정기를 ‘절대적인 최선’이 아닌 ‘상황에 맞는 도구’로 보고, (1) PS와 OR을 모두 활용한 하이브리드 추정기, (2) 영향함수를 통한 표준오차와 복합표본 설계 확장, (3) 모델 진단을 통한 OR 보강(스플라인, 다항식 등) 등을 실무에서 적극 활용할 것을 제안한다. 이러한 접근은 DR 추정기의 이론적 장점을 유지하면서도 실제 데이터 분석에서 발생할 수 있는 편향과 변동성을 효과적으로 제어한다.

원본 논문

고화질 논문을 불러오는 중입니다...

댓글 및 학술 토론

Loading comments...

의견 남기기