부스팅 알고리즘의 자유도와 L2 부스팅 한계에 대한 고찰

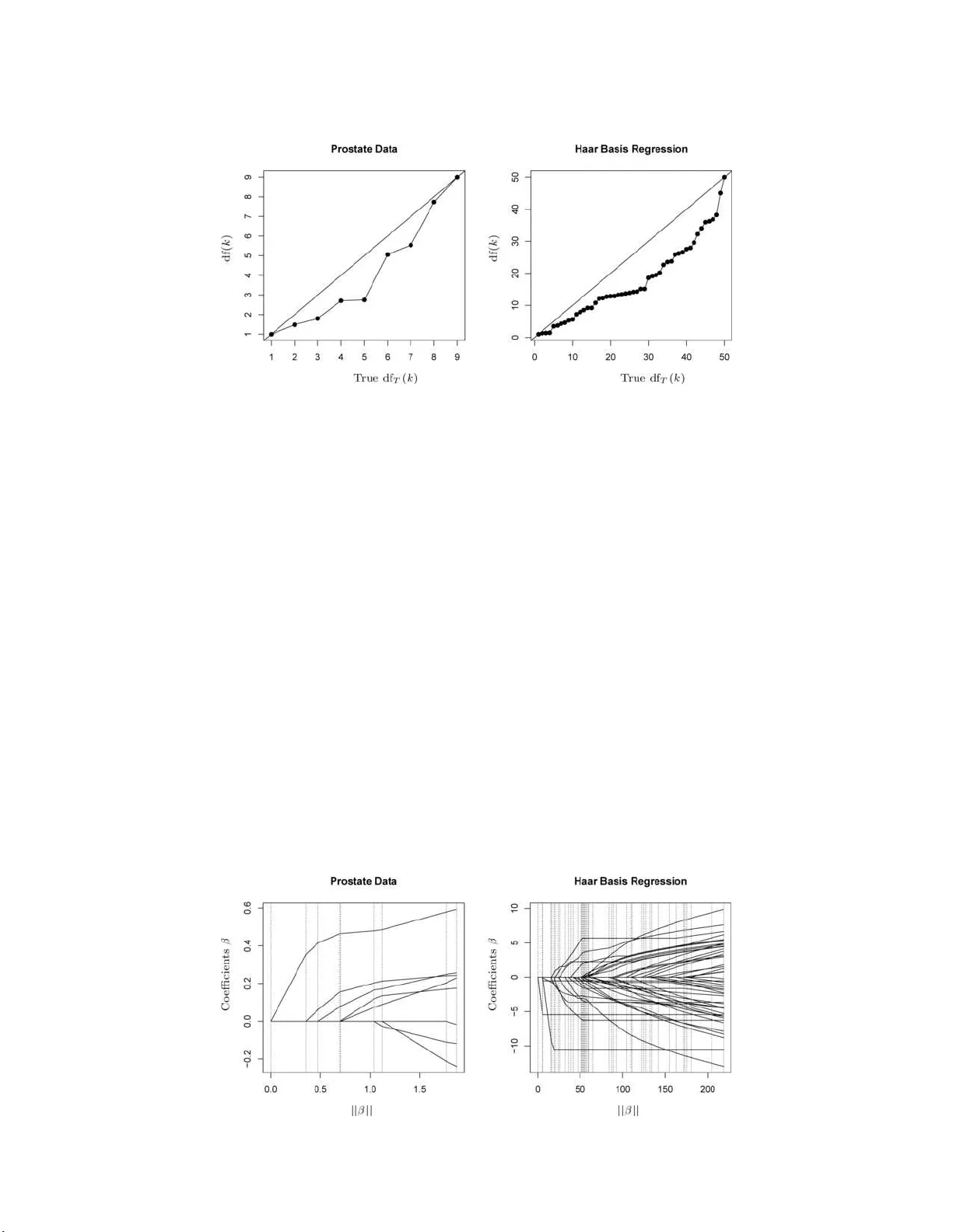
본 논평은 BH 논문의 L2 부스팅 구현과 자유도 추정식에 대해 비판적으로 검토한다. L2 부스팅이 무한소 단계 크기(ν→0)에서 무한소 전진 단계별 선형 회귀(iFSLR)와 동일함을 보이고, 이 경우 라소와는 일반적으로 일치하지 않음을 강조한다. 또한 저자들이 제안한 자유도 추정식 df(m)=trace(B_m)이 실제 자유도(df_T)보다 지속적으로 낮게 추정되는 사례를 두 개(전립선 데이터와 Haar 스플라인)로 실증한다. 자유도 과소추정의…

저자: ** *원 논문(Boosting Algorithms: Regularization, Prediction, Model Fitting) 저자:  **Hastie

부스팅 알고리즘의 자유도와 L2 부스팅 한계에 대한 고찰
본 논평은 Hastie와 동료들이 발표한 “Boosting Algorithms: Regularization, Prediction and Model Fitting”에 대한 비판적 검토를 제시한다. 논문의 핵심은 두 가지 측면에 초점을 맞춘다. 첫째는 L2 부스팅과 무한소 전진 단계별 선형 회귀(iFSLR) 사이의 관계를 명확히 밝히는 것이고, 둘째는 저자들이 제안한 모델 자유도 추정식이 실제 자유도를 크게 과소추정한다는 점을 실증적으로 보여주는 것이다. 1. L2 부스팅과 iFSLR의 관계 BH 논문에서 제시된 L2 부스팅은 단계 크기 ν를 작은 값으로 두고 반복적으로 베이스 학습기(저차 스플라인)를 추가하는 방식이다. 저자는 이를 L2‑boosting이라고 명명했지만, 실제로 ν→0 한계에서 이 과정은 무한소 전진 단계별 선형 회귀(iFSLR)와 동일함을 보인다. iFSLR은 각 단계에서 현재 가장 상관관계가 큰 변수 하나를 선택하고, 그 변수의 계수를 무한소만큼 증가시키는 절차이며, 전체 경로는 조각선형 형태를 가진다. LARS(Low‑Angle Regression) 알고리즘을 이용하면 이 전체 경로를 단일 최소제곱 계산 비용으로 얻을 수 있다. 하지만 iFSLR와 라소(lasso)는 일반적으로 동일하지 않다. 고차원 상황에서 변수들 간 상관관계가 높을 경우 라소는 계수 경로가 급격히 진동하고, 변수 선택이 비단조적이다. 반면 iFSLR는 보다 부드럽고 단조적인 경로를 유지한다. Efron et al. (2004)의 양의 원뿔 조건이 만족될 때만 라소와 iFSLR가 동일해지며, 이 경우 활성 변수 집합이 한 번에 하나씩 증가한다. 논문에서는 이러한 차이를 명확히 구분하고, BH 논문이 iFSLR과 라소를 동일시한 점을 지적한다. 2. 자유도 추정식의 문제점 BH 논문은 각 부스팅 단계 m에서 “hat matrix” B_m을 정의하고, 자유도를 df(m)=trace(B_m)으로 추정한다. 이 정의는 모델이 사전에 정해진 선형 연산열에 의해 생성된다고 가정한다. 그러나 부스팅 과정은 매 단계마다 데이터에 기반한 변수 선택이 이루어지는 적응적 절차이므로, 이러한 가정은 성립하지 않는다. 이를 검증하기 위해 두 가지 예시를 사용한다. 첫 번째는 전립선 데이터(관측치 67, 예측변수 9)이며, 두 번째는 50개의 Haar 기저를 이용한 단변량 스플라인 모델(관측치 50, 예측변수 50)이다. 두 경우 모두 iFSLR 경로가 라소와 동일하고, 활성 변수 집합이 한 번에 하나씩 증가한다는 양의 원뿔 조건을 만족한다. 이때 Efron et al. (2004)의 결과에 따라 실제 자유도는 df_T(k)=k+1(인터셉트 포함)이다. 그러나 BH의 df(m)=trace(B_m)은 첫 단계에서 1, 두 번째 단계에서 2가 되는 등, 실제 자유도보다 지속적으로 낮게 추정된다. 특히 첫 단계에서 첫 변수가 완전히 적합되기 전에 두 번째 변수가 들어오면, 실제 자유도는 이미 2인데 df(1)=1으로 과소평가된다. 이러한 과소추정은 모델 복잡도와 과적합 위험을 잘못 평가하게 만든다. 논문은 가능한 보정 방안으로 (1) 활성화된 변수 집합의 크기를 자유도의 비편향 추정량으로 활용, (2) 부트스트랩을 통한 자유도 추정, (3) K‑fold 교차검증을 통한 모델 선택을 제안한다. 또한, 자유도 추정식에 각 단계의 arc‑length 비율 γ_j와 해당 단계의 hat matrix H_j를 포함하는 수정식이 필요함을 시사한다. 결론적으로, 이 논평은 BH 논문의 두 가지 주요 주장—L2 부스팅과 iFSLR의 동일성, 그리고 자유도 추정식—에 대해 수학적 근거와 실증적 증거를 들어 비판한다. 특히 자유도 과소추정 문제는 모델 선택과 해석에 중대한 영향을 미치므로, 향후 연구에서는 보다 정확한 자유도 추정 방법을 개발하거나 교차검증과 같은 대안적 방법을 활용해야 함을 강조한다.

원본 논문

고화질 논문을 불러오는 중입니다...

댓글 및 학술 토론

Loading comments...

의견 남기기