자유 확률 기반 OFDM 네트워크 전력 감지

본 논문은 다중 셀 OFDM 환경에서 주변 기지국들의 전송 전력을 블라인드로 추정하기 위해 자유 확률 이론과 랜덤 매트릭스 이론을 활용한 새로운 전력 감지 방식을 제안한다. 기존의 에너지 검출 기법이 N/L 비율이 작을 때 성능이 급격히 저하되는 문제를 해결하고, 시뮬레이션을 통해 제안 방법이 기존 방법보다 우수함을 입증한다.

저자: Romain Couillet, Merouane Debbah

자유 확률 기반 OFDM 네트워크 전력 감지
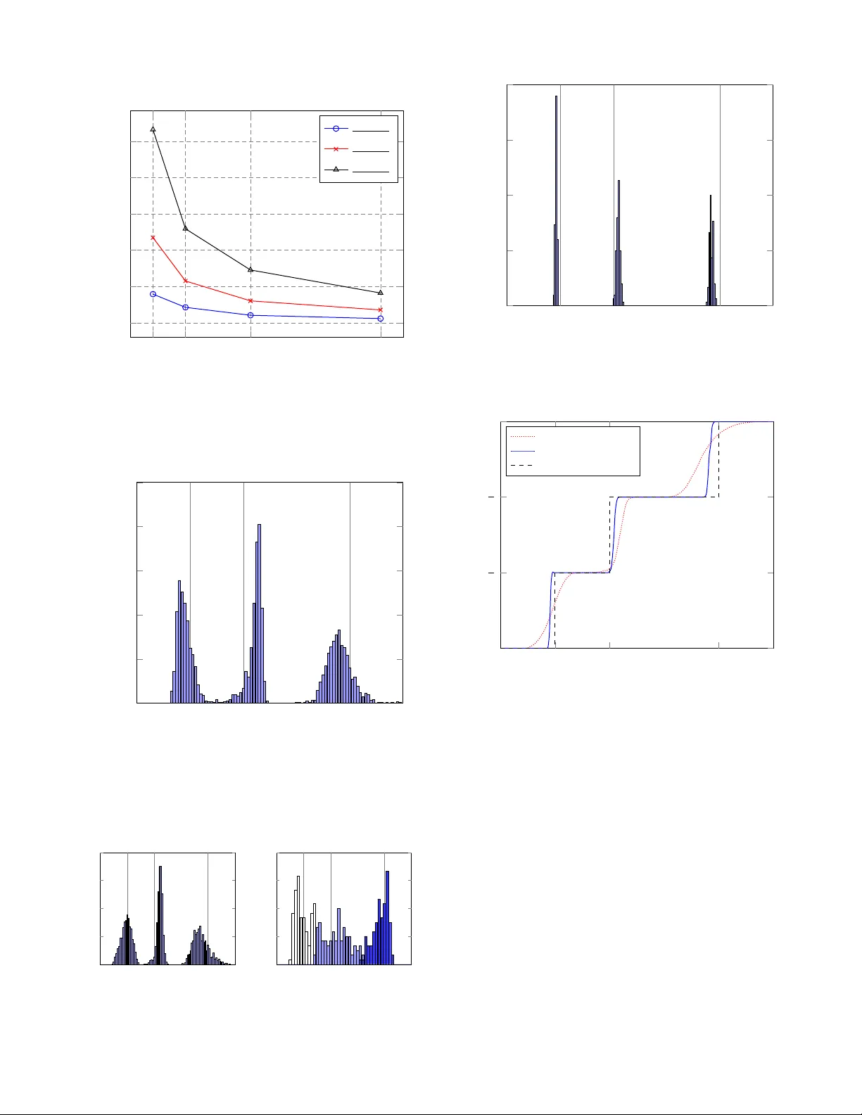
이 논문은 차세대 무선 통신에서 널리 사용되는 OFDM 기술을 기반으로, 다중 셀 환경에서 단말이 주변 기지국들의 전송 전력을 비공개(블라인드) 방식으로 추정하는 문제를 다룬다. 기존의 전력 검출 방법은 수신 신호의 평균 전력(에너지)만을 이용해 전력을 추정하는데, 이는 수신 심볼 수 L이 서브캐리어 수 N에 비해 충분히 클 때만 정확한 결과를 제공한다. 실제 시스템에서는 N이 수천에 이르는 반면, L은 채널 코히어런스 타임에 의해 제한되므로 N/L 비율이 작아 기존 방법은 큰 편향과 높은 분산을 보인다. 이를 해결하기 위해 저자는 자유 확률(free probability)과 랜덤 매트릭스 이론(RMT)을 도입한다. 수신 행렬 Y∈ℂ^{N×L}의 공분산 행렬 (1/L)YY^H 의 고유값 분포는 전송 전력 행렬 P와 채널 행렬 H의 곱 HPH^H 의 자유 합성 형태로 표현될 수 있다. 자유 역합성(free deconvolution) 기법을 이용하면 관측된 고유값 분포로부터 HPH^H 의 스펙트럼을 복원하고, 이를 다시 전력 벡터 P의 모멘트와 연결시켜 추정값을 얻을 수 있다. 구체적인 알고리즘은 다음과 같다. 첫 단계에서 수신 행렬 Y로부터 경험적 고유값 분포를 추정한다. 두 번째 단계에서는 마르코프–패스투( Marchenko–Pastur) 법칙을 적용해 노이즈 성분을 제거하고, 자유 역합성을 통해 HPH^H 의 스펙트럼을 복원한다. 세 번째 단계에서는 복원된 스펙트럼의 모멘트를 이용해 전력 벡터 P를 추정한다. 이 과정에서 채널이 충분히 주파수 선택적이어야 한다는 전제가 필요하다; 평탄 채널에서는 √P_k·h_k 형태의 관측값만 남아 전력 자체를 분리하기 어렵다. 논문은 수학적 모델링 외에도 시뮬레이션을 통해 제안 방법의 실효성을 검증한다. 3개의 기지국(P₁=4, P₂=2, P₃=1)과 다양한 SNR(10 dB) 조건에서 N=256, L을 64~768 사이로 변화시켰을 때, 제안 알고리즘은 기존 에너지 검출 방식에 비해 평균 제곱 오차가 현저히 낮았다. 특히 L이 N에 비해 작아도 고유값 정보를 효율적으로 활용해 전력을 정확히 추정할 수 있음을 보여준다. 하지만 논문은 몇 가지 한계도 언급한다. 첫째, 채널 모델이 복잡한 다경로와 시간 변동성을 충분히 반영하지 못하면 자유 역합성 과정에서 근사 오차가 커질 수 있다. 둘째, 전력 추정은 고유값 분포의 정확한 추정에 크게 의존하므로, 샘플 수 L이 너무 작을 경우 통계적 변동성이 크게 증가한다. 셋째, 현재 알고리즘은 전력 벡터가 비음수이며 제한된 구간에 존재한다는 사전 가정을 사용하고 있어, 실제 시스템에서 동적인 전력 제한이나 변동을 반영하려면 베이지안 사전 분포 설계가 필요하다. 결론적으로, 이 연구는 자유 확률 이론을 무선 통신의 실제 문제에 적용한 최초의 사례 중 하나이며, 대규모 랜덤 매트릭스 환경에서 블라인드 전력 감지를 수행할 수 있는 새로운 프레임워크를 제공한다. 향후 연구는 보다 일반적인 채널 모델링, 실시간 구현을 위한 연산 복잡도 감소, 그리고 다중 안테나(MIMO) 및 다중 사용자 상황으로의 확장을 통해 5G·6G와 같은 차세대 시스템에 적용 가능성을 높이는 방향으로 진행될 것으로 기대된다.

원본 논문

고화질 논문을 불러오는 중입니다...

댓글 및 학술 토론

Loading comments...

의견 남기기