레므케 하우손 알고리즘의 실험적 분석과 효율성 향상 방안

본 논문은 이중행렬 게임에서 내쉬 균형을 찾는 대표 알고리즘인 레므케-하우손(Lemke‑Howson) 방법을 대규모 실험을 통해 평가한다. 기존 구현보다 빠른 자체 구현을 기반으로, 무작위 게임에 대해 기본 알고리즘은 게임 규모가 커질수록 약 7차 다항식 성장의 피벗 단계가 필요함을 확인한다. 반면 피벗 초기 선택에 대한 ‘나쁜 선택’ 문제를 완화하는 휴리스틱을 도입하면 평균 피벗 수가 선형으로 감소한다. 또한 최적 피벗을 사전에 알 경우(가상…

저자: Bruno Codenotti, Stefano De Rossi, Marino Pagan

레므케 하우손 알고리즘의 실험적 분석과 효율성 향상 방안
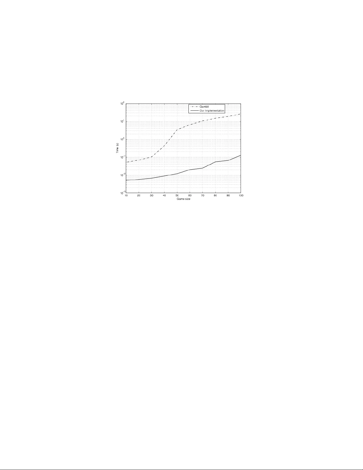
이 논문은 이중행렬 게임에서 내쉬 균형을 찾는 가장 널리 사용되는 레므케‑하우손(Lemke‑Howson, 이하 LH) 알고리즘의 실험적 성능을 체계적으로 분석한다. 서론에서는 내쉬 균형 계산 문제가 PPAD‑complete임을 언급하며, 실제 응용에서 LH가 여전히 표준 방법으로 쓰이고 있음을 강조한다. 기존 연구는 알고리즘의 이론적 복잡도에 집중했지만, 실험적 평가가 부족했으므로 저자들은 대규모 구현과 실험을 통해 실제 동작을 규명한다. 배경 섹션에서는 bimatrix 게임의 정의와 혼합 전략, 보완 조건(complementarity constraints)을 설명하고, LH가 인공 균형(0,0)에서 시작해 보완 피벗을 통해 quasi‑equilibrium와 equilibrium를 오가는 과정을 상세히 서술한다. 피벗 선택은 최소 비율 테스트에 의해 결정되며, 이 과정은 테이블 형태의 선형 방정식 시스템으로 구현된다. 핵심은 자체 구현이다. 기존의 Gambit 툴은 고수준 인터페이스에 초점이 맞춰져 있어 피벗 단계 수나 메모리 사용량 같은 세부 정보를 제공하지 않는다. 저자들은 C++ 기반의 저수준 구현을 개발해, 각 피벗 단계와 테이블 업데이트를 직접 제어함으로써 실행 시간을 크게 단축시켰다. 실험에서는 GAMUT을 이용해 무작위 게임을 생성하고, 100 000개 이상의 인스턴스에 대해 평균 실행 시간과 피벗 수를 측정했다. 결과는 그림 1·3에 나타나듯이, 기본 LH는 게임 규모 n이 증가함에 따라 피벗 수가 약 n⁷에 비례하는 다항식 성장률을 보이며, 100×100 규모를 넘어서는 경우 Gambit은 120초 제한 시간 내에 해결하지 못한다. 다음으로 지원 크기(support size)와 피벗 수 분포를 분석한다. 무작위 게임에서는 대부분의 균형이 작은 지원을 가지며, 큰 지원을 갖는 균형은 매우 드물다. 피벗 수 분포는 두 개의 교차된 기하급수적 형태를 띠며, 짝수와 홀수 단계가 별도 분포를 형성한다. 이는 LH가 특정 초기 피벗에 민감하게 반응한다는 증거이다. 이러한 ‘나쁜 초기 피벗’ 문제를 해결하기 위해 두 가지 접근법을 제시한다. 첫 번째는 가상의 최적 피벗 선택 알고리즘(ND‑Lemke‑Howson)이다. 모든 가능한 초기 피벗(2·n개)을 시도해 가장 짧은 경로를 선택한다. 실험 결과, ND‑LH는 평균 피벗 수가 2.8 정도에 머물며, 게임 규모가 커질수록 평균이 약간 감소한다. 이는 초기 피벗 수가 선형적으로 늘어나면서 짧은 경로를 찾을 확률이 증가하기 때문이다. 두 번째는 Porter, Nudelman, Shoham이 제안한 기존 휴리스틱을 개선한 새로운 방법이다. 기존 방법은 2·n개의 독립 테이블을 동시에 유지하며, 매 단계마다 모든 경로에 대해 한 번씩 피벗을 수행한다. 이는 메모리 사용량이 2배 이상 증가해 실용성이 제한된다. 저자들은 메모리 오버헤드를 최소화하면서도 다중 경로 시뮬레이션 효과를 유지하는 전략을 설계했으며, 실험적으로 무작위 게임에서 선형 시간 복잡도(피벗 수가 O(n))를 달성했다. 또한, 협동 게임(covariant games) 등 다른 게임 클래스에 대해서도 추가 실험을 수행했으며, 이들 클래스는 무작위 게임보다 더 많은 피벗을 요구하지만, 제안된 휴리스틱이 여전히 기본 LH보다 월등히 빠른 결과를 보였다. 결론적으로, 논문은 (1) 자체 구현을 통해 기존 소프트웨어보다 훨씬 빠른 LH 실행이 가능함을 입증하고, (2) 초기 피벗 선택이 알고리즘 성능에 결정적 영향을 미친다는 사실을 실험적으로 확인하며, (3) 최적 피벗을 근사하는 휴리스틱을 통해 평균 피벗 수를 선형 수준으로 낮출 수 있음을 보여준다. 이러한 결과는 1 000×1 000 규모 이상의 대형 게임에서도 실용적인 내쉬 균형 계산이 가능하도록 하며, 게임 이론 및 경제학, 생물학 등 다양한 분야에서의 응용에 중요한 기여를 한다.

원본 논문

고화질 논문을 불러오는 중입니다...

댓글 및 학술 토론

Loading comments...

의견 남기기