표준화율 일반화와 측정·미측정 위험인자 통제 방법

** 본 논문은 전통적인 연령 직접 표준화(SCA)가 실제로 교란을 제거하지 못함을 수학적으로 증명하고, 측정된 모든 위험인자를 동시에 통제할 수 있는 새로운 표준화 연산자(SCC)를 제안한다. 일반적인 표준화 연산자 클래스를 정의하고, SCC가 ‘비교 교란이 없는’ 하위 클래스에 속함을 보이며, SEER 연례 보고서에서 사용된 연령 표준화 결과가 실제와 다를 수 있음을 실증한다. 또한 SCC가 투영 연산자라는 특성을 이용해 회귀와 유사한 …

저자: Steven D. Mark

표준화율 일반화와 측정·미측정 위험인자 통제 방법
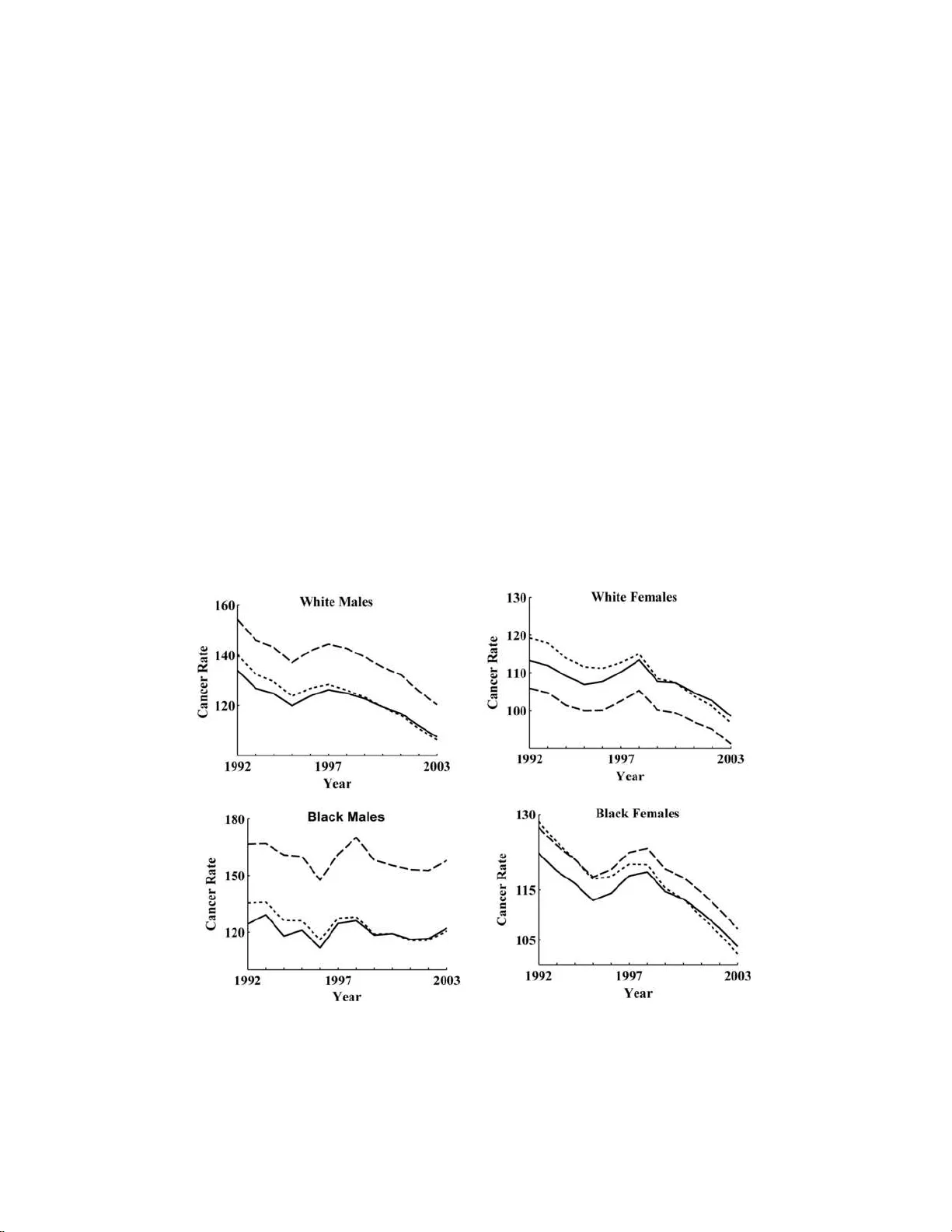
** 본 논문은 인구 기반 역학 연구와 암 등록 데이터 분석에서 널리 사용되는 “표준화” 방법을 수학적 연산자(framework)로 일반화하고, 기존의 연령 직접 표준화가 실제로 교란을 제거하지 못한다는 점을 이론과 실증을 통해 입증한다. 1. **배경 및 필요성** 미국 국립암연구소(NCI)의 SEER 프로그램은 매년 암 발생·사망률을 보고하기 위해 연령 직접 표준화(standardization controlling for age, SCA)를 사용한다. 이 방법은 연령 구조 차이를 보정해 연도 간 비교를 가능하게 한다고 알려져 있다. 그러나 실제 연구에서는 연령 외에도 성별, 인종, 민족, 지역 등 다양한 위험인자가 동시에 존재하며, 이들 간 상호작용이 교란을 일으킬 가능성이 있다. 기존 문헌은 주로 가중치 선택에 초점을 맞추었고, 표준화가 교란을 완전히 통제한다는 가정은 검증되지 않았다. 2. **표준화 연산자 정의** 저자는 임의의 표준화 방법을 “표준화 연산자” \(S_y^*

원본 논문

고화질 논문을 불러오는 중입니다...

댓글 및 학술 토론

Loading comments...

의견 남기기