이중 선택성 페이딩 채널에서 MIMO‑OFDM 공간 상관 행렬의 CRLB 분석
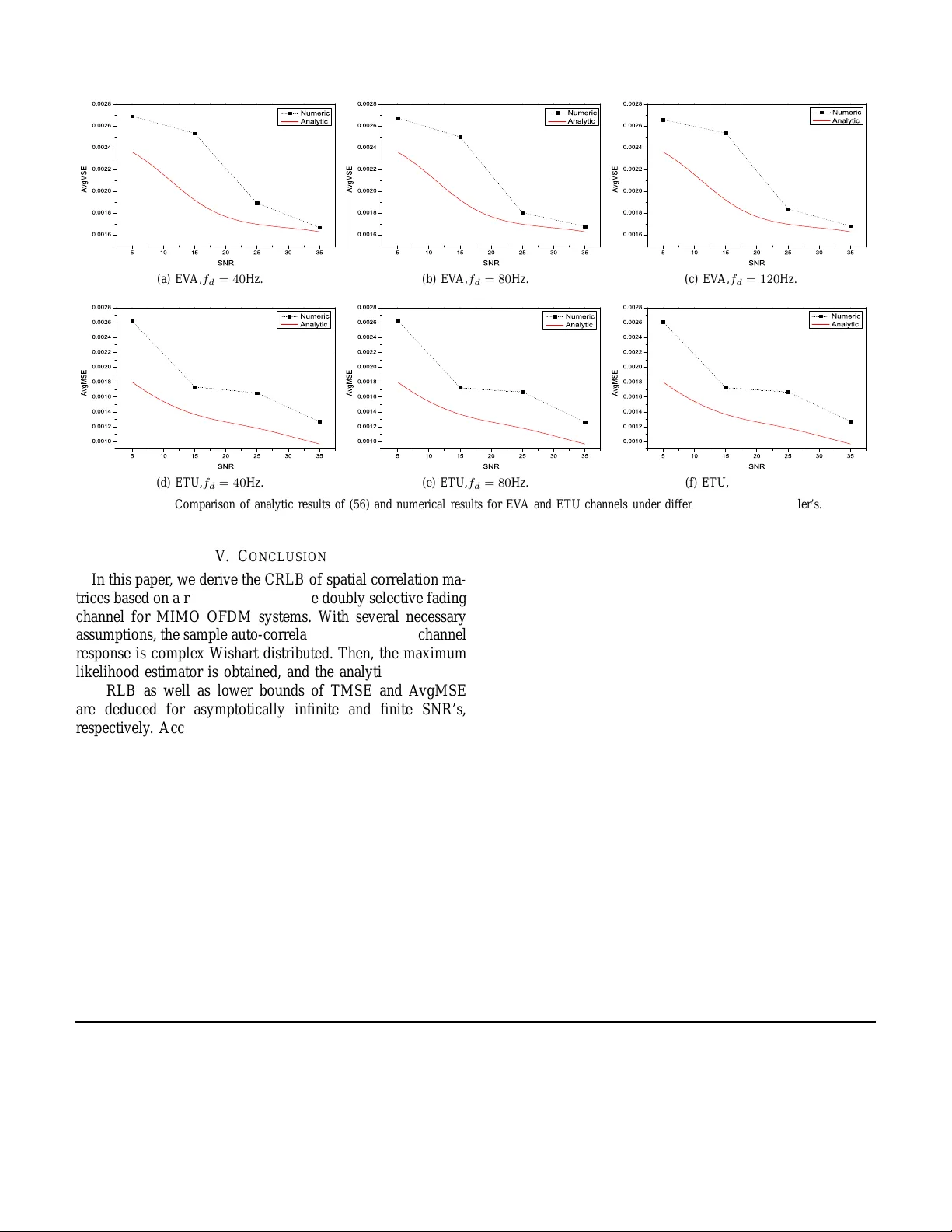
본 논문은 MIMO‑OFDM 시스템에서 시간·주파수 이중 선택성 페이딩 채널의 공간 상관 행렬에 대한 크래머‑라오 하한(CRLB)과 최대우도추정기(MLE)를 유도한다. 복소수 위시트 분포를 이용해 샘플 자동상관 행렬의 확률밀도함수를 도출하고, 무한·유한 SNR 상황에서 TMSE와 AvgMSE의 하한을 구한다. 분석 결과, 샘플 수와 주파수 선택성 차수(L) 가 추정 정확도에 가장 큰 영향을 미치며, 파일럿 톤 수, SNR, 정규화 최대 도플러 …
저자: Xiaochuan Zhao (1), Tao Peng (1), Ming Yang (1)
본 논문은 최신 무선 통신에서 핵심적인 MIMO‑OFDM 시스템을 대상으로, 시간·주파수 이중 선택성 페이딩 채널의 공간 상관 행렬 Ξ_s 에 대한 이론적 한계와 실제 추정 방법을 제시한다. 먼저, 채널 모델을 상세히 정의한다. 송신 안테나 n_T 와 수신 안테나 n_R 사이의 복소 베이스밴드 채널 h_{j,i}(t,τ) 는 L 개의 다중 경로로 구성되며, 각 경로는 정규화된 파워 σ_l^2 와 지연 τ_l 을 가진다. 공간 상관은 텐서곱 Ξ_{s,T}⊗Ξ_{s,R} 형태로 가정하고, 주파수 상관은 WSSUS 가정 하에 R_f=F_τ D F_τ^H 로 표현한다. 시간 상관은 Clarke 모델에 따라 r_t(Δt)=J_0(2πf_dΔt) 으로 정의된다.
시스템 모델은 전체 대역폭 B_W=1/T 와 N 개의 서브캐리어, 그리고 CP 길이 L_cp 을 포함한다. 파일럿 설계는 안테나별 직교 파일럿 패턴을 채택해, 각 안테나 i 에 대해 I(i)_p={i+kθ | k=0,…,P‑1} 라는 파일럿 톤 집합을 할당한다. 여기서 θ≥n_T 이며 Pθ≤N 을 만족한다. 파일럿 심볼은 동일 파워 P 와 정규화된 상관 X_p X_p^H=I_P 을 갖는다.
LS 채널 추정식 h_{j,i}^{p,ls}(n)=X_p^{-1} y_{j}^{p}(n) 을 통해 파일럿 기반 전송 행렬 H_{p,ls}(n) 을 얻고, 이는 복소 정규분포 C N(0,Σ) 를 따른다. 샘플 자동상관 행렬 \hat Σ= (1/N_t)∑_{n=1}^{N_t} vec(H_{p,ls}(n)) vec(H_{p,ls}(n))^H 은 복소 위시트 CW_{n_T n_R P}(N_t,Σ′) 분포를 갖으며, 여기서 Σ′=Σ/N_t 이다.
로그우도 함수를 전개하고, 파라미터 Ξ_s 에 대한 스코어 함수를 구한 뒤 0으로 두어 MLE를 도출한다. 이 과정에서 A=X_p^H R_p X_p 와 ω=x_p^H Ω x_p 가 핵심 역할을 한다. MLE 식 (33) 은 Ξ_s 의 각 원소를 Σ 의 서브블록과 A 의 특이값 Λ 을 이용해 계산한다.
Fisher 정보 행렬 J(Ξ_s) 는 복소 위시트의 2차 모멘트를 이용해 식 (38)‑(42) 로 정리된다. 무한 SNR(σ_n^2→0)에서는 Σ′=ωN_t Ξ_s⊗A 가 되며, 정보 행렬은 J(Ξ_s)=αN_t(Ξ_s^H⊗Ξ_s^T) (α=L) 으로 단순화된다. 따라서 CRLB은 CRLB(Ξ_s)= (1/(L N_t))(Ξ_s^H⊗Ξ_s^T) 이며, TMSE와 AvgMSE 하한은 각각 (n_T n_R)^2/(L N_t) 와 1/(L N_t) 으로 얻어진다.
유한 SNR 상황에서는 잡음 항을 포함한 Σ′=ωN_t Ξ_s⊗(A+σ_n^2 ω I_P) 을 사용한다. 이때 β=∑_{l=1}^L
원본 논문
고화질 논문을 불러오는 중입니다...
댓글 및 학술 토론
Loading comments...
의견 남기기