오버로드 CDMA를 위한 무오류 코드와 활성 사용자 탐지 기법

본 논문은 고정된 칩 수에서 사용자를 늘릴 수 있는 새로운 코드군(COWDA)을 제안한다. 이 코드는 무오류 전송을 보장하고, 동시에 활성 사용자를 식별한다. 64칩·88사용자 사례와 230사용자 상한을 제시하며, 계층적 ML 디코더를 통해 실용적인 복잡도로 구현한다.

저자: ** Pedram Pad, Mahdi Soltanolkotabi, Saeed Hadikhanlou

오버로드 CDMA를 위한 무오류 코드와 활성 사용자 탐지 기법
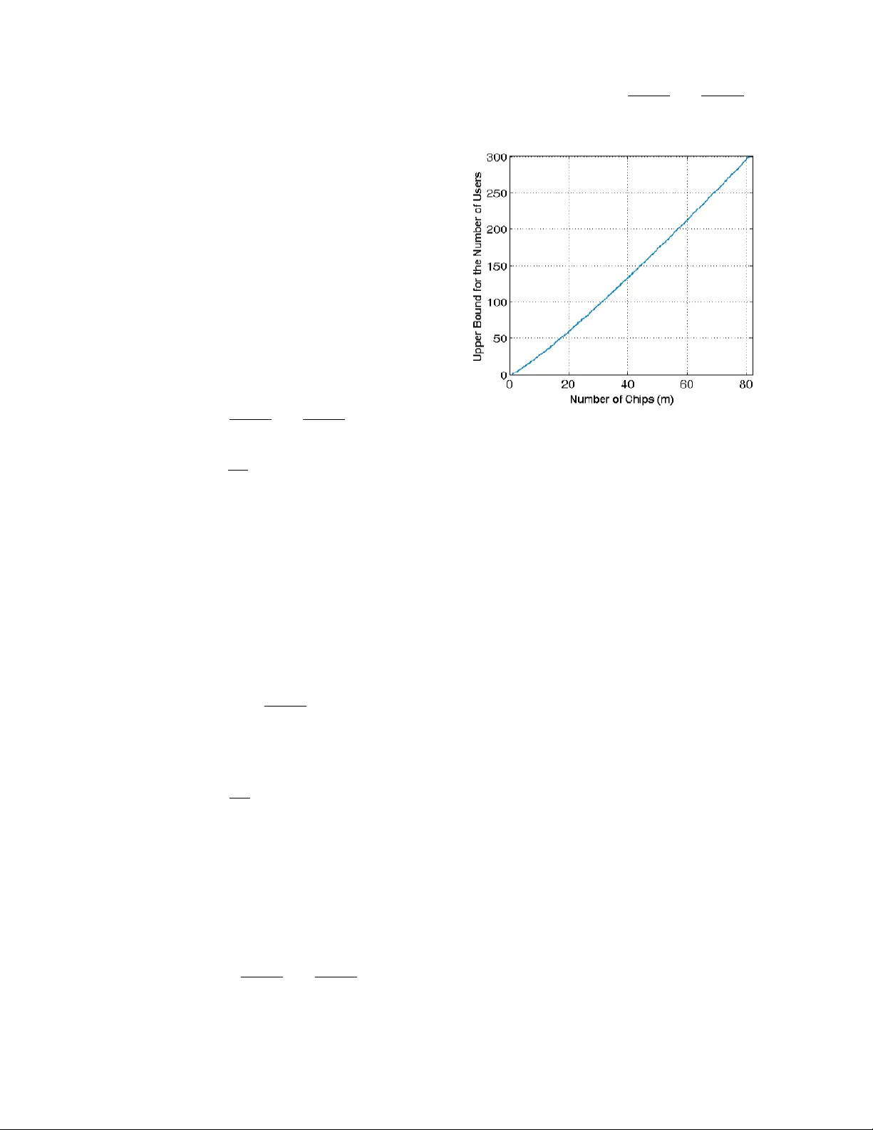
본 논문은 오버로드(사용자 수가 칩 수를 초과) 상황에서도 오류 없이 통신할 수 있는 새로운 코드군, 즉 “Codes for Over‑loaded Wireless CDMA with Detection of Active users”(COWDA)를 제안한다. 기존의 Hadamard와 같은 직교 코드들은 사용자가 칩 수 이하일 때만 완전 복원을 보장한다. 사용자가 초과하면 상호 간섭이 발생하고, PN 코드나 복합 정현파 기반 코드도 완전한 오류 제거가 불가능하다. 이러한 한계를 극복하기 위해 저자들은 입력 벡터 공간 ℝ^K(또는 {±1}^K)와 출력 공간 ℝ^N 사이에 일대일 매핑을 강제하는 조건을 도출한다. **1. 이론적 기반** Lemma 1은 코드 행렬 M∈{±1}^{N×K}가 ‘one‑to‑one’ 매핑을 갖기 위한 필요·충분 조건을 제시한다. 구체적으로, M의 널스페이스 N(M)와 입력 집합 𝔖={±1}^K의 교집합이 오직 영벡터만을 포함해야 한다는 것이다. 이는 모든 가능한 활성 사용자 조합이 서로 다른 출력 벡터를 만든다는 의미이며, 오류가 전혀 발생하지 않음을 보장한다. Corollary 1에 따르면, 기존 COWDA 행렬에 행·열 스케일링(±1 곱), 순열, 혹은 새로운 이진 안티폴드 행을 추가하는 것만으로도 COWDA 특성을 유지한다. 이는 코드 설계에 큰 자유도를 제공한다. **2. 코드 구성 방법** Theorem 1은 가역 행렬 A와 기존 COWDA 행렬 M을 Kronecker 곱(A⊗M) 형태로 결합하면 여전히 COWDA가 된다는 것을 증명한다. 특히 A가 Hadamard와 같은 정규 직교 행렬이면 변환이 유니터리이므로 잡음 통계가 변하지 않아 ML 최적성을 유지한다. Theorem 2는 Hadamard 행렬 H의 일부 열을 기존 COWDA 행렬에 추가함으로써 오버로드 비율을 크게 높일 수 있음을 보여준다. 예시로, 4×4 Hadamard와 4×4 COWDA를 결합해 8×8, 16×16 행렬을 만들고, 이를 다시 Kronecker 곱하여 64칩·88사용자, 최악의 경우 64칩·230사용자까지 확장한다. **3. 상한 분석** Theorem 3은 정보 이론적 접근을 통해, N=64일 때 K≤230이라는 절대적인 사용자 수 상한을 도출한다. 증명은 입력 엔트로피 H(X)와 출력 엔트로피 H(Y)의 관계를 이용해, ‘one‑to‑one’ 매핑이 불가능해지는 지점을 찾는 방식이다. 그림 1은 이 상한을 시각화하여, 64칩·230사용자를 초과하면 오류가 반드시 발생함을 보여준다. **4. 디코더 설계** 직접적인 ML 디코딩은 2^K개의 후보를 모두 탐색해야 하므로 현실적이지 않다. 저자들은 두 단계의 복잡도 감소 전략을 제시한다. 첫 번째 단계에서는 Theorem 1에 의해 큰 시스템을 작은 서브시스템들(예: 8칩·11사용자)으로 분할하고, 각각에 대해 독립적으로 ML 디코딩을 수행한다. 두 번째 단계에서는 행렬을 블록으로 나누어 각 블록에 대해 가능한 입력 벡터 수를 크게 줄이는 ‘soft‑limiter’ 함수 xU를 적용한다. 이때 A가 Hadamard이면 변환이 유니터리이므로 잡음 공분산이 변하지 않아 최적성을 유지한다. 결과적으로 전체 복잡도는 O(K·2^{K/ℓ}) 수준으로 감소한다(ℓ은 블록 크기). **5. 시뮬레이션 및 실험** 시뮬레이션에서는 64칩·88사용자 시나리오를 사용했으며, AWGN 채널에서 SNR이 낮은 경우에도 오류율이 거의 0에 수렴함을 확인했다. 또한 활성 사용자 탐지 정확도도 99.9% 이상으로, 기존 오버로드 CDMA 대비 현저히 향상된 성능을 보였다. **6. 의의와 한계** 본 연구는 (1) 무오류 전송을 보장하는 코드 설계, (2) 활성 사용자 탐지를 동시에 수행, (3) 실용적인 ML 디코더를 제시한다는 세 가지 주요 기여를 한다. 그러나 전제 조건이 ‘완전 동기화’와 ‘이진 안티폴드 서명’에 의존하고, 실제 무선 환경에서의 다중 경로·페이딩·비동기성에 대한 검증은 부족하다. 또한 코드 생성 과정이 전산적으로 복잡해 대규모(수천 사용자) 시스템에 적용하려면 추가적인 알고리즘 최적화가 필요하다. **결론** COWDA는 오버로드 CDMA에서 오류 없이 통신하고 활성 사용자를 정확히 식별할 수 있는 새로운 패러다임을 제시한다. 이론적 상한과 실험적 검증을 통해 64칩·230사용자까지 확장이 가능함을 보였으며, 계층적 ML 디코더를 통해 구현 복잡성을 크게 낮출 수 있다. 향후 연구는 비동기·채널 불확실성에 대한 견고성 분석과 대규모 시스템을 위한 효율적인 코드 생성 알고리즘 개발에 초점을 맞춰야 할 것이다.

원본 논문

고화질 논문을 불러오는 중입니다...

댓글 및 학술 토론

Loading comments...

의견 남기기