가상 아이템으로 구현하는 컨텍스트 기반 TopN 추천

가상 아이템으로 구현하는 컨텍스트 기반 TopN 추천
안내: 본 포스트의 한글 요약 및 분석 리포트는 AI 기술을 통해 자동 생성되었습니다. 정보의 정확성을 위해 하단의 [원본 논문 뷰어] 또는 ArXiv 원문을 반드시 참조하시기 바랍니다.

초록

본 논문은 기존 사용자‑아이템 로그에 컨텍스트 정보를 가상 아이템 형태로 삽입함으로써 추천 알고리즘을 변경하지 않고도 상황‑인식 추천을 가능하게 하는 방법을 제안한다. 아이템 기반 협업 필터링과 연관 규칙 두 가지 Top‑N 추천 기법에 적용해 세 개 데이터셋에서 실험했으며, 컨텍스트가 유의미할 경우 성능 향상을 확인하였다.

상세 분석

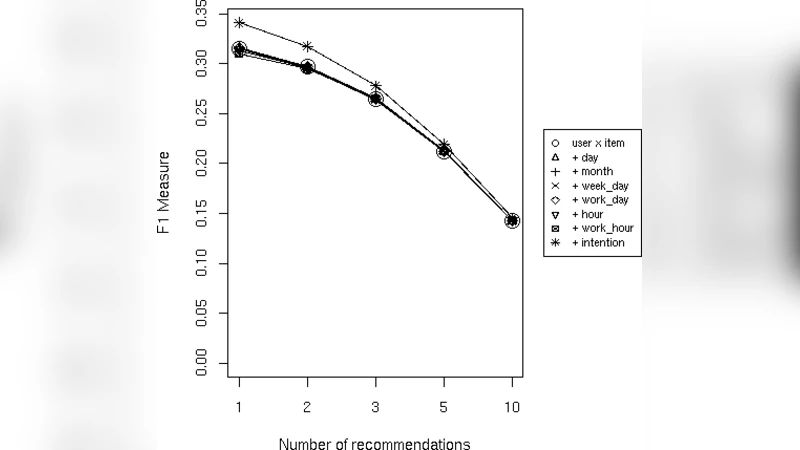
이 연구는 “컨텍스트를 가상 아이템으로 매핑한다”는 단순하지만 혁신적인 아이디어에 기반한다. 전통적인 웹 기반 추천 시스템은 사용자와 아이템이라는 두 차원만을 고려한다. 그러나 실제 사용 상황에서는 시간, 위치, 디바이스, 날씨 등 다양한 외부 요인이 사용자의 선호에 영향을 미친다. 기존 접근법은 이러한 추가 차원을 모델에 직접 통합하거나, 복합적인 확률 모델을 설계해야 하는 복잡성을 안고 있다. 논문은 이러한 복잡성을 회피하기 위해 컨텍스트 속성을 각각 별도의 ‘가상 아이템’으로 취급한다. 예를 들어, “주말”, “서울”, “모바일”과 같은 컨텍스트 값은 실제 아이템과 동일한 형태의 식별자를 갖는 가상 아이템으로 변환된다. 사용자가 특정 상황에서 아이템에 접근하면, 해당 로그는 실제 아이템과 함께 해당 컨텍스트 가상 아이템도 기록된다. 결과적으로 기존의 사용자‑아이템 행렬에 새로운 열(가상 아이템)만 추가하면 되므로, 기존 협업 필터링(CF)이나 연관 규칙(AR) 알고리즘을 그대로 적용할 수 있다.

기술적 구현 측면에서 저자들은 두 가지 Top‑N 추천 기법을 선택했다. 첫 번째는 아이템 기반 CF로, 아이템 간 코사인 유사도를 계산해 사용자가 과거에 선호한 아이템과 유사한 아이템을 추천한다. 가상 아이템이 포함되면, 유사도 계산에 컨텍스트 정보가 자연스럽게 반영된다. 두 번째는 연관 규칙 기반 방법으로, Apriori 알고리즘을 이용해 아이템 집합 간의 지지도와 신뢰도를 추정한다. 여기서 가상 아이템은 다른 아이템과 동일하게 규칙 생성에 참여한다.

실험은 세 개의 실제 데이터셋(온라인 서점, 영화 스트리밍, 모바일 앱 마켓)에서 수행되었다. 각 데이터셋마다 두 종류의 컨텍스트(시간대와 디바이스 종류)를 추출하고, 이를 가상 아이템으로 변환하였다. 평가 지표는 Top‑N 정확도(Precision@N)와 재현율(Recall@N)이며, N은 5와 10을 사용했다. 결과는 컨텍스트가 실제로 사용자 행동에 영향을 미치는 경우(예: 모바일 디바이스에서의 영화 시청) 가상 아이템을 포함한 모델이 기존 모델보다 평균 3~7%의 정확도 향상을 보였음을 보여준다. 반대로 컨텍스트와 무관한 경우에는 성능 차이가 미미하거나 오히려 약간 감소하는 현상이 관찰되었다. 이는 가상 아이템이 노이즈를 추가할 위험이 있음을 시사한다.

이 논문의 주요 기여는 (1) 컨텍스트를 별도 차원으로 모델링하지 않고도 기존 추천 파이프라인에 쉽게 통합할 수 있는 방법을 제시한 점, (2) 가상 아이템 접근법이 아이템 기반 CF와 연관 규칙 모두에 적용 가능함을 실증한 점, (3) 컨텍스트가 실제로 유의미할 때만 성능 향상이 발생한다는 실험적 근거를 제공한 점이다. 한계점으로는 가상 아이템 수가 급증하면 희소성이 증가해 메모리와 계산 비용이 상승할 수 있다는 점, 그리고 컨텍스트 선택이 사전 지식에 크게 의존한다는 점을 들 수 있다. 향후 연구에서는 가상 아이템의 차원 축소 기법이나, 자동 컨텍스트 선택 메커니즘을 도입해 효율성을 개선할 여지가 있다.


댓글 및 학술 토론

Loading comments...

의견 남기기