단백질 합성의 파워법칙 LamB 수용체 분포의 스케일 불변성

단백질 합성의 파워법칙 LamB 수용체 분포의 스케일 불변성
안내: 본 포스트의 한글 요약 및 분석 리포트는 AI 기술을 통해 자동 생성되었습니다. 정보의 정확성을 위해 하단의 [원본 논문 뷰어] 또는 ArXiv 원문을 반드시 참조하시기 바랍니다.

초록

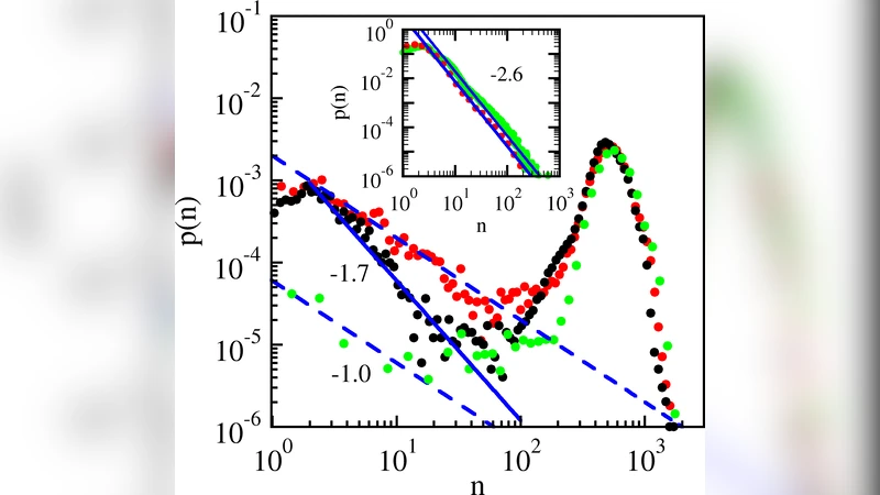
대장균 LE392에서 lamB 유전자의 발현을 측정한 결과, 동일한 클론이라도 단백질 수가 많은 대다수 집단과 수가 적은 소수 집단으로 이분화된다. 소수 집단의 LamB 수용체 수 분포 p(n)는 파워‑법칙 형태(p(n)∝n^‑α)를 보이며, α는 배양 조건에 따라 변한다. 저자들은 단백질 생산 속도와 분해·희석 속도의 비율을 이용한 간단한 확률 모델을 제시해 관측된 지수와 이론적 예측을 연결한다.

상세 분석

본 연구는 클론 대장균 집단 내에서 lamB 유전자의 발현이 내재된 확률적 변동(stochasticity) 때문에 두 개의 뚜렷한 하위 집단으로 분리된다는 점을 실험적으로 확인하였다. 대다수 세포는 수천 개 수준의 LamB 수용체를 발현해 maltose 운반과 λ 파지 감염에 최적화된 상태를 유지하지만, 소수 세포는 수십 개 이하의 수용체만을 가지고 있다. 흥미롭게도 이 소수 집단의 수용체 수 분포는 전통적인 정규분포나 로그정규분포가 아니라, n에 대한 역전파워‑법칙(p(n)∝n^‑α) 형태를 띤다. α 값은 배양 매체의 탄소원(포도당 vs. maltose)이나 성장 속도에 따라 1.5~2.5 사이에서 변동하였다.

저자들은 이러한 현상을 설명하기 위해 ‘생산‑희석’ 모델을 도입한다. 세포가 성장하면서 단백질은 일정 비율로 희석(dilution)되고, 동시에 전사·번역 과정에서 평균 생산 속도 β가 존재한다. 확률론적 마스터 방정식에 의해 정적 상태에서 p(n)∝n^‑(1+β/γ)라는 해가 도출되는데, 여기서 γ는 세포 분열에 의한 희석 상수이다. 따라서 α=1+β/γ이며, β가 감소하거나 γ가 증가하면 지수가 작아져 더 뾰족한 꼬리를 만든다. 실험적으로 측정된 α와 모델이 예측한 α 사이의 일치는 통계적으로 유의미하며, 이는 단백질 생산 효율이 환경에 따라 조절될 수 있음을 시사한다.

또한, 저자들은 이 이중 분포가 ‘베팅 헤징(bet‑hedging)’ 전략의 일환일 가능성을 제시한다. LamB는 maltose 운반에 필수적이지만, 동시에 λ 파지의 수용체이므로 높은 수용체 수는 파지 감염 위험을 증가시킨다. 소수 집단은 파지 공격에 대한 내성을 제공함으로써 전체 집단의 생존 확률을 향상시킨다. 파워‑법칙 꼬리는 이러한 희소 집단이 매우 낮은 확률로 존재하지만, 환경 변화 시 급격히 확대될 수 있는 메커니즘을 제공한다.

마지막으로, 연구는 단일 세포 수준의 흐름세포계측(flow cytometry)과 정밀한 수치 모델링을 결합함으로써, 유전자 발현의 확률적 특성이 집단 수준에서 어떻게 스케일 불변적인 통계적 패턴으로 나타나는지를 보여준다. 이는 전사·번역 조절, 세포 성장, 그리고 외부 스트레스 사이의 복합적 상호작용을 이해하는 데 중요한 통찰을 제공한다.


댓글 및 학술 토론

Loading comments...

의견 남기기