원자 복잡도와 새로운 분석적 전자밀도 모델

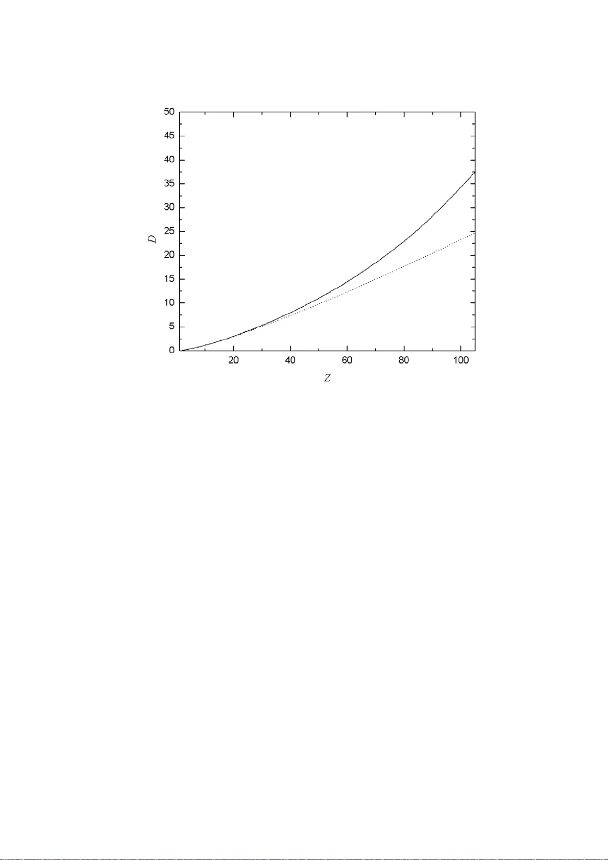
본 논문은 Tietz 전위에서 영감을 얻은 새로운 분석적 전자밀도 함수를 제시하고, 이를 이용해 비상대론적 및 상대론적 보정이 포함된 에너지 함수형을 최소화한다. 얻어진 밀도는 원자핵 근처에서 비특이적이며, 정규화와 원점에서의 Hartree‑Fock 결과에 맞추어 세 파라미터(ε, β, γ)를 결정한다. 이 밀도로 LMC 복잡도(Shannon 엔트로피와 disequilibrium)의 Z 의존성을 계산한 결과, 상대론적 운동에너지 보정이 포함될 …

저자: Jaime Sanudo, Ricardo Lopez-Ruiz

원자 복잡도와 새로운 분석적 전자밀도 모델
본 논문은 원자 전자밀도의 새로운 분석적 형태를 제시하고, 이를 통해 원자 번호 Z에 따른 통계적 복잡도(LMC 복잡도)의 변화를 조사한다. 연구는 크게 네 부분으로 구성된다. 첫 번째 섹션에서는 복잡도 연구의 배경을 설명한다. 기존 연구에서는 비상대론적 Hartree‑Fock 밀도와 Dirac‑Fock 상대론적 파동함수를 이용해 LMC 복잡도 C= D·e^{S} 를 계산했으며, Z가 증가함에 따라 C가 상승한다는 현상이 보고되었다. 그러나 이러한 계산은 수치적으로 복잡하고, 물리적 직관을 제공하기 어렵다. 따라서 저자들은 보다 간단하면서도 물리적 근거가 있는 밀도 모델을 찾고자 한다. 두 번째 섹션에서는 에너지 함수형 E

원본 논문

고화질 논문을 불러오는 중입니다...

댓글 및 학술 토론

Loading comments...

의견 남기기