사이클릭 프리픽스 활용 인지 라디오용 Vandermonde 주파수 분할 다중화

본 논문은 2×2 인지 라디오 환경에서 2차 사용자(보조 사용자)가 1차 사용자(주 사용자)의 전파에 간섭을 일으키지 않으면서도 유의미한 전송률을 확보할 수 있도록, 사이클릭 프리픽스의 중복성을 이용한 Vandermonde 프리코더(VFDM)를 제안한다. 각 송신기는 자신의 로컬 채널만을 알며, 보조 송신기는 1차‑2차 간 채널을 정확히 추정해 프리코더를 설계한다. 입력 공분산 최적화를 통해 보조 사용자는 제한된 자유도(L)만을 이용해 전력을 …

저자: L. S. Cardoso, M. Kobayashi, M. Debbah

사이클릭 프리픽스 활용 인지 라디오용 Vandermonde 주파수 분할 다중화
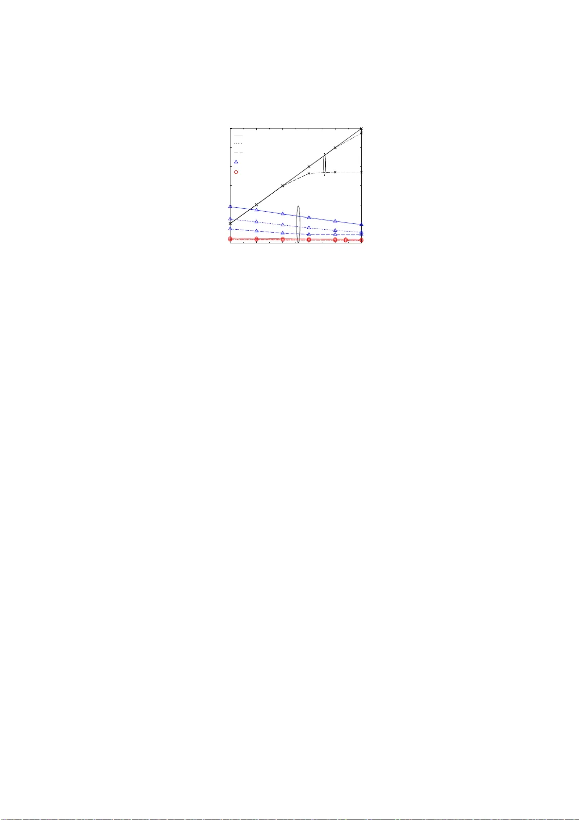
본 논문은 인지 라디오 환경에서 1차(라이선스) 사용자와 2차(비라이선스) 사용자가 동일 주파수 대역을 동시에 이용하고자 할 때, 2차 사용자가 1차 사용자의 전파에 전혀 간섭을 일으키지 않으면서도 유의미한 전송률을 확보할 수 있는 새로운 전송 스킴을 제안한다. 기존 연구들은 2차 송신기가 1차 메시지를 알거나 전역 채널 정보를 완벽히 알고 있다는 비현실적인 가정을 두고, dirty‑paper coding(DPC) 기반의 복잡한 전송 방식을 제시하였다. 그러나 실제 시스템에서는 2차 송신기가 1차 메시지를 실시간으로 복호화하기 어렵고, 양쪽 송신기가 모든 채널을 완벽히 추정하기도 힘들다. 이러한 현실적 제약을 반영해, 저자들은 다음과 같은 가정을 채택한다. (1) 2차 송신기는 1차 메시지에 대한 사전 지식이 전혀 없으며, (2) 각 송신기는 자신과 연결된 수신기 사이의 로컬 채널만을 정확히 알고 있다(즉, h₁₁, h₁₂, h₂₁, h₂₂ 중 각각 자신의 송신‑수신 쌍에 해당하는 채널). 이러한 가정 하에, OFDM 시스템에 존재하는 사이클릭 프리픽스(CP)의 중복성을 활용한다. CP는 실제 전송 심볼에 앞서 복제된 L개의 샘플을 삽입함으로써 다중 경로 간섭을 방지하는데, 이 복제된 부분은 전송에 사용되지 않는 자유도(L)를 제공한다. 저자들은 이 자유도를 이용해 2차 송신기의 프리코더를 Vandermonde 행렬 형태로 설계한다. 구체적으로, 1차→2차 채널 h₂₁의 다항식 S(z)=∑_{i=0}^{L} h₂₁,i z^{L-i} 의 근 {a₁,…,a_L}을 구하고, 이 근을 이용해 (N+L)×L Vandermonde 행렬 V를 만든다. V의 각 열은 서로 다른 근에 대한 지수 형태(1, a_l, a_l²,…,a_l^{N+L-1}) 로 구성된다. 중요한 점은 Toeplitz 형태의 T(h₂₁)와 V 사이에 직교성 T(h₂₁)·V=0이 성립한다는 것이다. 따라서 2차 사용자가 전송하는 신호 x₂=V s₂ (s₂는 L차원 심볼 벡터) 는 1차 수신기에서 완전히 사라진다. 이는 1차 수신기가 보는 신호 y₁=F·T(h₁₁)·x₁ + ν₁와 완전히 독립적이며, 1차 사용자는 기존 OFDM 방식대로 워터필링을 적용해 N개의 서브캐리어에 전력을 배분한다. 2차 사용자는 제한된 자유도 L만을 이용해 전송하므로, 입력 공분산 S₂의 설계가 핵심이 된다. 2차 수신기가 겪는 1차 신호와 잡음의 합을 η라 하면, η의 공분산 Σ_η = H₁₂·S₁·H₁₂ᴴ + I_N 를 정확히 추정해야 한다. 이 정보는 2차 수신기가 청취 단계에서 측정하고, 피드백을 통해 2차 송신기로 전달한다. Σ_η가 알려지면, 2차 사용자는 전송률 R₂ = (1/N) log det(I_N + (N+L)P₂·V S₂ Vᴴ·H₂ᴴ·Σ_η⁻¹·H₂) 를 최대화하도록 S₂를 선택한다. 이 최적화는 비볼록성이 존재하지만, 저자들은 두 단계 접근법을 제안한다. 첫 단계에서는 효과 채널 G = Σ_η⁻¹/2·H₂에 대해 SVD를 수행해 G = U_g Λ_g P_gᴴ 로 분해한다. 두 번째 단계에서는 고 SIR 근사 하에 로그 변환을 이용해 전력 할당을 물(워터)필링 형태로 도출한다. 최종적으로 각 유효 채널 i에 대해 p₂,i* = (L·P₂·β_i) / Σ_j β_j 로 할당하고, 여기서 β_i =

원본 논문

고화질 논문을 불러오는 중입니다...

댓글 및 학술 토론

Loading comments...

의견 남기기