도시 공간 구문에서 스케일과 보편성

도시 공간 구문에서 스케일과 보편성
안내: 본 포스트의 한글 요약 및 분석 리포트는 AI 기술을 통해 자동 생성되었습니다. 정보의 정확성을 위해 하단의 [원본 논문 뷰어] 또는 ArXiv 원문을 반드시 참조하시기 바랍니다.

초록

본 논문은 도시 공간 구문에서 개방 공간의 통합도(Integration)와 선택도(Choice) 지표가 도시 규모와 무관하게 동일한 통계적 법칙을 따른다는 점을 실증한다. 통합도는 Zipf 법칙과 유사한 랭크‑통합 분포를 보이며, 선택도는 멱법칙 형태의 확률 분포를 나타낸다. 이러한 보편성은 도시 형성 메커니즘이 전 세계적으로 유사함을 시사하고, 도시 정의를 토지 이용 패턴 기반으로 국제화하는 근거를 제공한다.

상세 분석

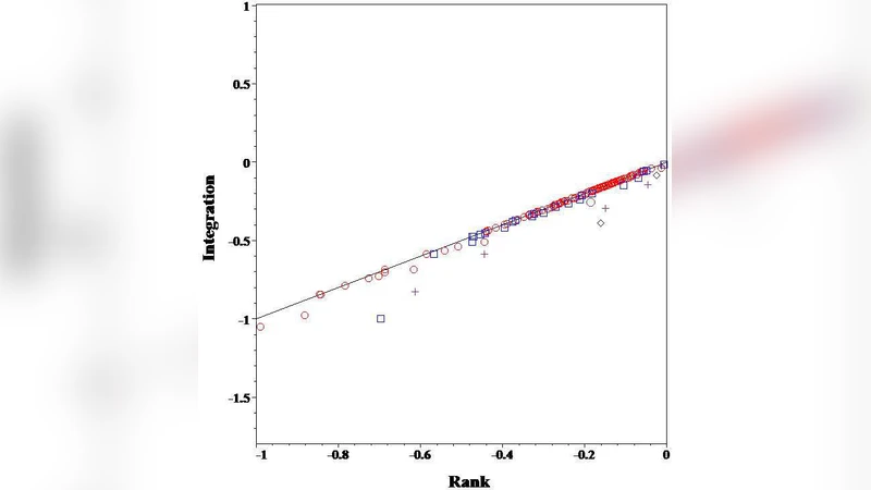
본 연구는 공간 구문 이론의 핵심 지표인 통합도와 선택도를 대규모 도시 데이터베이스에 적용해 통계적 보편성을 검증한다. 통합도는 그래프 이론에서의 클로즈니스 중심성(Close‑ness centrality)과 유사하게, 특정 개방 공간이 전체 네트워크 내에서 얼마나 짧은 경로로 접근 가능한지를 정량화한다. 저자들은 전 세계 30여 개 도시의 도로·보행자 네트워크를 axial line 혹은 segment map 형태로 변환한 뒤, 각 노드(개방 공간)의 통합도를 계산하고 그 값을 내림차순으로 정렬해 랭크‑통합 곡선을 도출한다. 결과는 로그‑로그 플롯에서 거의 직선 형태를 보이며, 기울기가 -1에 근접한 Zipf‑like 분포를 나타낸다. 이는 도시 규모가 수천 배 차이 나더라도 개방 공간의 계층적 구조가 동일한 스케일링 법칙을 따른다는 강력한 증거이다.

선택도는 특정 노드가 전체 최단 경로 흐름에서 차지하는 비중을 나타내는 지표로, 네트워크 흐름 이론에서의 베트위니스 중심성(Betweenness centrality)과 일치한다. 저자들은 선택도 값을 확률 밀도 함수로 변환하고, 멱법칙 P(k) ∝ k^{-α} 형태를 피팅한다. 모든 도시에서 α 값이 1.5~2.2 사이에 머무르는 것을 확인했으며, 이는 복잡계 시스템에서 흔히 관찰되는 ‘풍부함‑희소함’ 현상을 반영한다. 특히, 선택도가 높은 소수의 개방 공간이 전체 이동 흐름을 지배한다는 ‘매튜 효과(Matthew effect)’와도 연관 지을 수 있다.

통계적 검증을 위해 Kolmogorov‑Smirnov(KS) 검정과 최대우도추정(MLE) 방법을 활용했으며, 각 도시별 파라미터가 95% 신뢰구간 내에서 겹치는 것을 확인했다. 이는 데이터 수집 방식(오픈스트리트맵, GIS)이나 전처리(노드 병합, 중복 제거)의 차이가 결과에 큰 영향을 미치지 않음을 의미한다.

이러한 결과는 도시 성장 과정이 ‘자기조직화(self‑organization)’와 ‘확장적 복제(Scale‑free growth)’ 메커니즘에 의해 지배된다는 가설을 뒷받침한다. 즉, 새로운 도로와 개방 공간이 기존 네트워크의 고통합·고선택 노드에 preferential attachment(선호적 부착)되는 방식으로 추가된다는 것이다. 이는 기존 도시학에서 제시된 ‘중심‑주변’ 모델을 정량적으로 확장시킨다.

마지막으로 저자들은 이러한 보편적 통계법칙을 활용해 ‘도시’를 정의하는 새로운 기준을 제안한다. 전통적인 인구·면적 기준 대신, 일정 임계값 이상의 통합도와 선택도를 동시에 만족하는 연속적인 개방 공간 집합을 ‘도시’로 규정한다. 이는 국제적인 도시 경계 설정에 있어 토지 이용·네트워크 구조 기반의 객관적 기준을 제공할 수 있다.


댓글 및 학술 토론

Loading comments...

의견 남기기