글로벌 함수 계산을 위한 지식 기반 분석

글로벌 함수 계산을 위한 지식 기반 분석
안내: 본 포스트의 한글 요약 및 분석 리포트는 AI 기술을 통해 자동 생성되었습니다. 정보의 정확성을 위해 하단의 [원본 논문 뷰어] 또는 ArXiv 원문을 반드시 참조하시기 바랍니다.

초록

본 논문은 분산 네트워크에서 모든 프로세서가 전역 함수 f(N)를 계산할 수 있는 조건을 bisimulation 관계를 이용해 정확히 규정하고, 이를 만족할 때 동작하는 지식 기반(kb) 프로그램을 제시한다. 초기 전송량을 최소화하기 위해 반사실(belief‑counterfactual) 문을 활용한 개선된 kb 프로그램을 설계했으며, 이 프로그램이 기존의 리더 선출 알고리즘(Le Lann, Chang‑Roberts, Peterson 등)과 동일한 동작 원리를 가짐을 보인다.

상세 분석

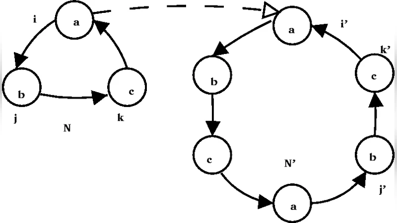
논문은 먼저 “전역 함수 계산(global function computation)” 문제를 정의한다. 각 에이전트는 자신의 입력값과 인접 링크의 가중치만을 로컬 정보로 가지고 시작하며, 네트워크 전체 구조와 다른 에이전트들의 입력은 알지 못한다. 이러한 불완전한 초기 지식 하에서 모든 에이전트가 결국 f(N)을 정확히 알아낼 수 있는지 여부는, 에이전트들이 공유하는 공통 지식 집합 𝒩(가능한 네트워크들의 집합)에 달려 있다. 저자는 이 집합을 bisimilarity 관계로 형식화한다. 두 네트워크 N, N′의 에이전트 i, i′가 k‑bisimilar(∼ₖ)이라면, k 라운드까지의 전송·수신 과정을 통해 얻을 수 있는 모든 정보가 동일하다는 의미이며, ∼ₖ는 라운드가 증가할수록 정교해진다. 핵심 정리는 “모든 에이전트가 f(N)을 계산할 수 있다 ⇔ (N,i)와 (N′,i′)가 어느 라운드에서도 구별되지 않는다(∼ₖ 관계가 무한히 유지된다)”는 것인데, 이는 기존의 익명 링, 고유 ID 가정 등 여러 특수 경우를 일반화한다.

다음으로 저자는 전통적인 전 정보(full‑information) 프로토콜을 제시한다. 각 라운드마다 에이전트는 자신이 현재 알고 있는 모든 네트워크 정보를 이웃에게 전송한다. 이 프로토콜은 위 bisimulation 조건이 만족될 때 반드시 수렴하여 모든 에이전트가 전역 상태를 완전히 복원한다. 그러나 메시지 수가 급격히 증가한다는 비효율이 있다. 이를 개선하기 위해 지식 기반(kb) 프로그램을 설계한다. kb 프로그램은 “내가 아직 상대가 알지 못하는 정보를 전송한다”는 조건을 Kᵢ(¬Kⱼ(msg)) 형태의 지식 연산자로 표현한다.

하지만 단순한 K‑조건만으로는 “상대가 결국 다른 경로로 알게 될 경우”를 배제할 수 없으며, 이는 반사실(counterfactual) 연산 ϕ > ψ 로 해결한다. 즉, “만약 내가 지금 메시지를 보내지 않으면, 결국 상대는 그 메시지를 알게 될 것인가?”를 평가하여 전송 여부를 결정한다. 이 설계는 Halpern‑Moses(2004)의 믿음‑반사실 논리를 차용했으며, 메시지 전송을 최소화하면서도 전역 함수 계산 가능성을 보존한다.

마지막으로 저자는 이 반사실 기반 kb 프로그램이 기존의 유명한 리더 선출 알고리즘과 동등함을 증명한다. 링 구조에서 고유 ID가 존재할 경우, Chang‑Roberts, Le Lann, Peterson 알고리즘은 모두 “내가 현재 최고 ID를 가지고 있지 않다면, 더 큰 ID를 가진 이웃에게만 정보를 전파한다”는 반사실 규칙을 구현한 것과 동일하다. 또한, 직경이 제한된 네트워크에서는 최적의 플러딩(flooding) 프로토콜이 동일한 반사실 조건을 만족한다는 점을 보여, 제안된 일반 프레임워크가 다양한 기존 프로토콜을 포괄한다는 강력한 통합성을 제공한다.

요약하면, 이 논문은 (1) bisimulation을 이용한 전역 함수 계산 가능성의 완전한 특성화, (2) 전 정보 프로토콜을 기반으로 한 기본 kb 프로그램, (3) 반사실 믿음 연산을 도입해 메시지 효율성을 크게 향상시킨 개선된 kb 프로그램, (4) 기존 리더 선출·스패닝 트리·네트워크 탐지 알고리즘과의 정형적 연관성을 제시함으로써, 지식 기반 설계가 분산 시스템 이론에 미치는 영향을 심도 있게 조명한다.


댓글 및 학술 토론

Loading comments...

의견 남기기