Phase transitions in the charged compact abelian lattice Higgs model

We consider the (compact) abelian lattice Higgs model with charge \( k \geq 1 \) and show, using charged Wilson~loop observables and charged versions of the Marcu--Fredenhagen ratio, that this model exhibits several distinct phase transitions. In par…

Authors: Malin Palö Forsström

Phase transitions in the charged compact abelian lattice Higgs model
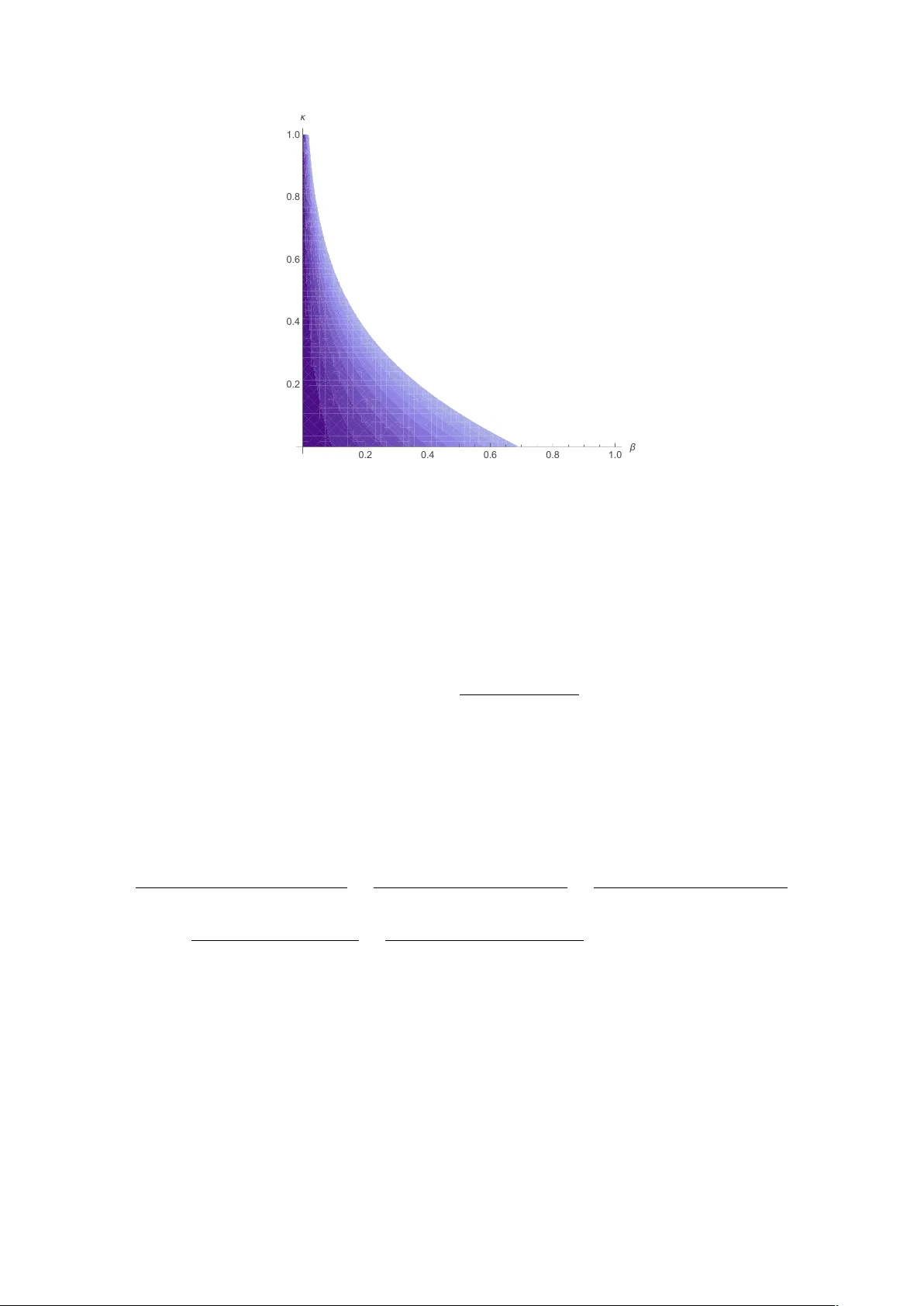
PHASE TRANSITIONS IN THE CHAR GED COMP A CT ABELIAN LA TTICE HIGGS MODEL MALIN P . F ORSSTRÖM Abstra ct. W e consider the (compact) abelian lattice Higgs mo del with c harge k ě 1 and sho w, using charged Wilson lo op observ ables and c harged versions of the Marcu–F redenhagen ratio, that this mo del exhibits several distinct phase transitions. In particular, we show that if k “ 2 , then the Marcu–F redenhagen ratio and Wilson lo op observ ables together can distinguish among three distinct phases of the parameter space, and hence both can b e used as order parameters for the mod el. 1. Intr oduction Lattice gauge theories are spin mo dels on Z d that arise as a natural discretization of the Y ang- Mills mo del, which is a classical mo del for the standard model in physics [ 8 , 33 , 34 ]. F rom a mathematical p erspective, lattice gauge theories are in teresting for several reasons. First, the mathematical framew ork for studying the Y ang-Mills model itself do es not yet exist; while lattice mo dels seem to exhibit many of the phenomena exp ected of their con tin uous counterparts [ 8 ]. A t the same time, lattice gauge theories naturally fall into the family of classical spin mo dels for whic h great progress has b een made in the mathematical literature, such as p ercolation theory , the Ising model, and the XY mo del; while at the same time being fundamentally different since the random paths that often arise in spin mo dels are here naturally replaced b y random surfaces. Finally , w e men tion that lattice gauge theories also arise naturally in quan tum information theory , see, e.g., [ 31 , 32 ]. What b eha vior a lattice gauge theory exhibit depends of sev eral differen t properties of the mo del differen t prop erties of the mo del: the dimension and b oundary conditions of the lattice considered, the group in whic h the spins tak e their v alues, and whether or not the model includes an external field. The recen t mathematical literature on lattice gauge theories reflects this div ersit y . In particular, the pap ers [ 1 , 2 , 7 , 10 – 18 ] study the behavior for finite groups with no external field, the papers [ 24 , 26 , 27 ] consider U p 1 q , and [ 3 , 4 , 6 , 9 , 19 , 23 , 28 – 30 ] consider the same mo dels with an external field. In this pap er, w e complement this by studying U p 1 q lattice gauge theory on Z m , m ě 4 , in an external field with a charge k, using b oth the charged Marcu–F redenhagen ratio and c harged Wilson lo ops to verify the structure of its phase diagram as describ ed in the ph ysics literature (see, e.g., [ 25 ]). This mo del has to our knowledge not b een studied in the mathematical literature b efore except in the case k “ 1 , when it reduces to the compact ab elian lattice Higgs mo del, i.e., to U p 1 q lattice gauge theory with an external field. F or an ab elian group G , kno wn as the structure or gauge group, and a unitary represen tation ρ of G, the Hamiltonian corresponding to a lattice gauge theory on B N : “ Z m X r´ N , N s m with free b oundary conditions is given b y H N ,β p σ q : “ ´ β ÿ p P C 2 p B N q tr ρ p dσ p p qq , σ P Ω 1 p B N , G q . (1.1) Here β ě 0 , d is the discrete deriv ative dσ p p q “ ř e PB p σ p e q , Ω 1 p B N , G q is the set of all G -v alued 1-forms on B N , or equiv alen tly , the set of all G -v alues functions σ defined on the set of oriented edges C 1 p B N q in B N with the prop ert y that σ p e q “ ´ σ p´ e q for all e P C 1 p B N q , and C 2 p B N q is the set of oriented plaquettes in B N . T ogether with a uniform reference measure µ , this describ es a probability measure µ N ,β on Ω 1 p B N , G q , and the mo del describ ed by this measure is what is 1 referred to as a lattic e gauge the ory. The corresp onding exp ectation is denoted by E N ,β and the infinite volume limit N Ñ 8 of the exp ectation by x¨y β . The most imp ortan t observ ables in pure gauge theories are Wilson lo ops, which we now in- tro duce. Throughout this pap er, w e will refer to a set of oriented edges as a p ath . Using the language of discrete exterior calculus, a path is equiv alently a t´ 1 , 0 , 1 u -v alued 1 -chain. The Wilson line observable corresp onding to a path γ is defined b y W γ p σ q : “ tr ρ p σ p γ qq : “ tr ź e P γ ρ p σ p e qq , σ P Ω 1 p B N , G q . When the edges of a path forms a lo op, we refer to the 1-c hain γ as a lo op , and in this special case the Wilson line observ able is referred to as a Wilson lo op observable . A path that do es not form a lo op is called an op en p ath . Throughout the pap er, w e will assume that G “ U p 1 q and that ρ is the one-dimensional rep- resen tation giv en b y ρ : θ ÞÑ e iθ , θ P U p 1 q . This is the simplest gauge group of ph ysical rele- v ance, as with this choice the model describ ed by (1.1) corresp onds to electromagnetism. On Z 2 and Z 3 , when G “ U p 1 q , Wilson loops are kno wn to alw a ys follow an area law [ 27 , Corol- lary 2]. In contrast, on Z 4 , Wilson loops are known to undergo a phase transition, kno wn as a deconfinement transition, with Wilson lo ops ha ving area law for small β and p erimeter la w for large β [ 23 , 26 , 30 ]. Here p erimeter la w means that there are constan ts C, c ą 0 suc h that x W γ y β „ C e ´ c | γ | and area law means that there are constan ts C , c ą 0 such that x W γ y β „ C e ´ c area p γ q . The lattice Higgs model is the mo del obtained by coupling a lattice gauge theory to an external field, mo deling a Higgs field. F or G “ U p 1 q , this mo del is known as the (c omp act) ab elian lattic e Higgs mo del , and has Hamiltonian given by H N ,β ,κ p σ q : “ ´ β ÿ p P C 2 p B N q ρ p dσ p p qq ´ κ ÿ e P C 1 p B N q ρ p σ p e qq , σ P Ω 1 p B N , U p 1 qq . (1.2) W e let E N ,β ,κ denote the corresp onding exp ectation for a uniform reference measure µ , and let x¨y β ,κ denote the corresp onding infinite volume limit N Ñ 8 , which exists due to the Ginibre inequalities, see, e.g, [ 16 ][Section 2.6]. In the mo del describ ed by (1.2), using the Griffiths-Hurst-Sherman inequality t wice, one easily sho ws that for any Wilson lo op observ able W γ , we ha v e x W γ y β ,κ ě ź e P γ x W e y β ,κ ě ź e P γ x W e y 0 ,κ “ ´ e 2 κ ´ e 2 κ e 2 κ ` e ´ 2 κ ¯ | γ | “ p tanh 2 κ q | γ | , and hence for any κ ą 0 , Wilson lo op observ ables ob ey a p erimeter law. In particular, this implies that Wilson lo op observ ables cannot b e used as order parameters in the lattice Higgs mo del in the same w a y as they can in a pure lattice gauge theory . As a consequence, other order p erimeters ha v e b een suggested in the physics literature. In this pap er, we consider the one suc h order parameter, originally prop osed by F redenhagen and Marcu in [ 20 ], and use current expansions and ideas from disagreemen t p ercolation to giv e a rigorous pro of that this order parameter has a phase transition. T o define this order parameter, let γ n and γ 1 n b e tw o paths as in Figure 1. The ratio r n : “ r n p β , κ q : “ x W γ n y β ,κ x W γ 1 n y β ,κ x W γ n ` γ 1 n y β ,κ , (1.3) is then referred to as the Marcu–F redenhagen ratio, and was in tro duced in [ 20 ] (see also [ 21 ]) to “study a se quenc e of states which describ e a p air of char ges sep ar ate d by an incr e asing distanc e and which ar e r e gularize d such that their ener gy is uniformly b ounde d” . When R n “ Rn and T n “ T n for some R, T P N , this ratio believed to hav e a phase transition b et w een a region, referred to as the free phase, where lim n Ñ8 r n “ 0 , and a region referred to as the Higgs/confinement 2 x n γ n y n γ 1 n T n R n Figure 1. The paths γ n (solid) and γ 1 n (dashed) used in the definition of the Marcu–F redenhagen ratio. phase, where lim inf n Ñ8 r n ą 0 . F or an ov erview of rigorous results ab out this ratio and ab out the ab elian lattice Higgs mo del in general, we refer the reader to [ 6 ] (see also [ 19 ] and [ 25 ]). The first main result of this pap er, Theorem 1.1 b elo w, confirms that the Marcu–F redenhagen ratio indeed has a phase transition. Theorem 1.1. L et m ě 4 , let γ n and γ 1 n b e as in Figur e 1, let R n “ Rn and T n “ T n , and c onsider the Mar cu–F r e denhagen r atio r n as define d in (1.3) . Then the fol lowing holds. (a) Ther e is β conf ą 0 such that if κ ą 0 and β P p 0 , β conf q , then lim inf n Ñ8 r n ą 0 . (b) Ther e is κ H ig g s ą 0 such that if κ ą κ H ig g s and β ą 0 , then lim inf n Ñ8 r n ą 0 . (c) Ther e is β f r ee ą 0 and κ f r ee ą 0 such that if κ P p 0 , κ f r ee q and β ą β f r ee , then lim inf n Ñ8 r n “ 0 . R emark 1.2 . A pro of sketc h of Theorem 1.1(a)(b) app ear already in in [ 19 ]. A pro of of Theo- rem 1.1(c) app ear also in[ 20 ] as w ell as in [ 4 , Section 1.2] and [ 4 ], and a pro of of Theorem 1.1 also app ear in [ 28 ]. This statement do es not hold if m “ 3 , and the arguments which work for m “ 4 fail since they all use that there are β ą 0 such that the mo del has perimeter la w, and suc h β do es not exist when m “ 3 . A richer version of the ab elian lattice Higgs mo del is the c omp act ab elian lattic e Higgs mo del with char ge k matter [ 25 ], describ ed by the Hamiltonian H N ,β ,κ,k p σ q : “ ´ β ÿ p P C 2 p B N q ρ p dσ p p qq ´ κ ÿ e P C 1 p B N q ρ p σ p e qq k , σ P Ω 1 p B N , Z 2 q . (1.4) Indeed, letting k “ 0 (or κ “ 0 ) w e recov er the Hamiltonian of a pure U p 1 q lattice gauge theory , and letting k “ 1 w e reco v er the Hamiltonian of the ab elian lattice Higgs mo del. F or a uniform reference measure µ, w e let µ N ,β ,κ,k b e the measure corresp onding to (1.4), let E N ,β ,κ,k b e the corresp onding exp ectation, and let x¨y β ,κ,k b e its infinite volume limit. Just as in U p 1 q lattice gauge theory or the abelian lattice Higgs model, it is natural to consider Wilson lo op and line 3 observ ables. Suc h observ ables can b e made more general b y in tro ducing char ges , with charge j ě 1 corresp onding to the observ able W j γ p σ q “ ρ p σ p j γ qq “ ρ p σ p γ qq j . (1.5) Another natural observ able for this mo del is the j -charge analog of the Marcu–F redenhagen ratio, which is given b y r n,k,j p β , κ q : “ x W j γ n y β ,κ,k x W j γ 1 n y β ,κ,k x W j p γ n ` γ 1 n q y β ,κ,k . The phase diagram of the ab elian lattice Higgs mo del with charge ě 2 is expected to b e richer than that of the ab elian lattice Higgs model with c harge 1. F or example, when k “ 2 , the ph ysics literature (see, e.g., [ 19 , 25 ]) suggests the existence of three distinct phases: (1) A confinement phase ( β large and κ large), where x W γ y β ,κ, 2 „ C e ´ c | γ | , x W 2 γ y β ,κ, 2 „ C e ´ c | γ | , and lim inf n Ñ8 r n, 2 , 2 ą 0 . (2) A Higgs phase ( β small), where x W γ y β ,κ, 2 „ C e ´ c area p γ q , x W 2 γ y β ,κ, 2 „ C e ´ c | γ | , and lim inf n Ñ8 r n, 2 , 2 ą 0 . (3) A free phase ( β large and κ small), where x W γ y β ,κ, 2 „ C e ´ c | γ | , x W 2 γ y β ,κ, 2 „ C e ´ c | γ | , and lim n Ñ8 r n, 2 , 2 “ 0 . Our last t w o main results, Theorem 1.3 and Theorem 1.4 below, confirm this picture for gen- eral k , and corresp ond to the tw o cases k ∤ j and k | j resp ectiv ely . The first of these theorems, Theorem 1.3, concerns the case k ∤ j, and show that in this case, the c harged Marcu–F redenhagen ratio cannot detect phase transition. The reason for this is that in this case, Wilson line observ- ables ha v e exp ectation zero exactly as when κ “ 0 . As an imp ortan t sp ecial case, it follo ws that when k ě 2 and j “ 1 , the regular Marcu–F redenhagen ratio will not hav e a phase transition. Theorem 1.3. L et m ě 4 , let j, k ě 1 b e such that k ∤ j, and let β , κ ą 0 . F urther, let R , T ě 1 , and for n ě 1 , let γ n b e a r e ctangular lo op with side lengths Rn and T n , and let β c b e so that pur e lattic e gauge the ory with β ą β c has p erimeter law. Then the fol lowing holds. (a) F or any op en p ath γ , we have x W j γ y β ,κ,k “ 0 , and henc e r n,k,j “ 0 for al l n ě 1 . (b) Ther e is β conf ą 0 , C “ C p β , κ q ą 0 , and c “ c p β , κ q ą 0 such that if β P p 0 , β conf q , then x W j γ n y β ,κ,k ď C e ´ c area p γ n q for al l n ě 1 . (c) Ther e is C “ C p β , κ q ą 0 , and c “ c p β , κ q ą 0 , such that if β ą β c , then x W j γ n y β ,κ,k ě C e ´ c | γ n | for al l n ě 1 . The following theorem, Theorem 1.4, describ es the b eha vior of charged, Wilson line observ ables and the charged Marcu-F redenhaen ratio in the case k | j, which is the case that is the most relev ant for the study of phase transitions of the c harged mo del. In particular, it sho ws that c harged observ ables can b e used to detect phase transitions. Theorem 1.4. L et m ě 4 , let j, k ě 0 b e such that k | j, and let β , κ ą 0 . F urther, let R , T ě 1 , and for n ě 1 , let γ n b e a r e ctangular lo op with side lengths Rn and T n , and let β c b e such that pur e lattic e gauge the ory with β ą β c has p erimeter law. Then the fol lowing holds. (a) Ther e is c, C ą 0 such that for any p ath γ , we have x W j γ y β ,κ,k ą C e ´ c | γ | . In p articular, if γ is a lo op, then the Wilson lo op observable W j γ has a p erimeter law for al l β , κ ą 0 . (b) Ther e is β conf ą 0 such that if β P p 0 , β conf q , then lim inf n Ñ8 r n,k,j ą 0 . (c) F or every β ą 0 ther e is κ H ig g s “ κ H ig g s p β q ą 0 such that if κ ą κ H ig g s p β q , then lim inf n Ñ8 r n,k,j ą 0 . (d) F or every β ą β c ther e is κ f r ee p β q ą 0 such that if κ ă κ 0 p β q , then lim n Ñ8 r n,k “ 0 . 4 W e note that Theorem 1.4 in fact implies Theorem 1.1, as Theorem 1.1 corresp onds to the sp ecial case j “ k “ 1 of Theorem 1.4. R emark 1.5 . In the literature, there are several closely related mo dels which are all referred to as the (compact) ab elian lattice Higgs mo del with c harge k . The most general of these mo dels is given b y the Hamiltonian ´ β ÿ p P C 2 p B N q ρ p dσ p p qq ´ κ ÿ e “p y ´ x qP C 1 p B N q η x ρ p σ p e qq k η ˚ y ` ÿ η x η ˚ x ` λ ÿ p η x η ˚ x ´ 1 q 2 , where β , κ, λ ą 0 , σ P Ω 1 p B N , U p 1 qq , and η : C 0 p B N q Ñ C is suc h that η x “ η ˚ ´ x . Equiv alently , one can let σ P Ω 1 p B N , U p 1 qq , ϕ P Ω 0 p B N , U p 1 qq , and r : C 0 p B N q Ñ R ` b e such that r x “ r ´ x and consider the Hamiltonian ´ β ÿ p P C 2 p B N q ρ p dσ p p qq ´ κ ÿ e “p y ´ x qP C 1 p B N q r x r y ρ p k σ p e q ´ dϕ p e qq ` ÿ r 2 x ` λ ÿ p r 2 x ´ 1 q 2 . Letting λ “ 8 , one obtains the mo del describ ed b y the Hamiltonian ´ β ÿ p P C 2 p B N q ρ p dσ p p qq ´ κ ÿ e P C 1 p B N q ρ p k σ p e q ´ dϕ p e qq . This mo del is sometimes referred to as the London limit of the Abelian lattice Higgs model with c harge k . Using the c hange of v ariables σ ÞÑ σ ` dϕ , often referred to as c ho osing unitary gauge, one obtains the equiv alen t mo del H N ,β ,κ,λ p σ q : “ ´ β ÿ p P C 2 p B N q ρ p dσ p p qq ´ κ ÿ e P C 1 p B N q ρ p σ p e qq k used in this pap er. β κ lim n Ñ8 r n, 2 , 2 “ 0 x W γ y β ,κ, 2 À C e ´ c area p γ q lim inf n Ñ8 r n, 2 , 2 ą 0 x W γ y β ,κ, 2 „ C e ´ c | γ | Figure 2. A summary of the reuslts of Theorem 1.3 and Theorem 1.4 in the sp ecial case k “ 2 . 1.1. Related works. In [ 14 ], we sho wed that the Marcu–F redenhagen ratio has a phase transi- tion in the Ising lattice Higgs mo del, which is the mo del with the same Hamiltonian as in (1.2) but with σ P Ω 1 p B N , Z 2 q instead of σ P Ω 1 p B N , U p 1 qq . In that pap er, the pro ofs used cluster expansions of log E N ,β r γ s and high temp erature expansions to obtain the desired results. How- ev er, for the mo del considered in this pap er, one cannot directly apply such cluster expansions, as this requires the structure group to b e discrete. In addition, the ab elian lattice Higgs mo del do es not hav e a high temp erature expansion analog to that corresp onding to the case G “ Z 2 . 5 One wa y to think ab out the ab elian lattice Higgs mo del with c harge k is to think of the Higgs field comp onen t as making ρ p σ q prefer to b e close to the set t e j 2 π i { k u j “ 0 , 1 ,...,k ´ 1 instead of preferring to b e close to 1 “ e 0 as in the k “ 1 case. The same effect can b e obtained analogously for a finite gauge group. How ev er, in this case, not all choices of k yield distinct mo dels, as, e.g., G “ Z n and k “ m ` j n yields the same mo del for all j ě 0 . In [ 1 ], a related mo del was considered, which w as describ ed by the Hamiltonian ´ β ÿ p P C 2 p B N q tr ρ p dσ p p qq ´ κ ÿ e P C 1 p B N q tr ρ p σ p e qq ρ p dϕ p e qq ´ 1 , σ P Ω 1 p B N , G q , ϕ P Ω 0 p B N , H q . (1.6) Here G and H were finite groups that did not hav e to b e equal, as long as their represen tations had the same dimension. In the discrete case, letting G “ Z kn and H “ Z k results in a model similar to the mo del considered in this pap er. Ho wev er, they are not equiv alent, as letting κ Ñ 8 in the ab elian lattice Higgs mo del with c harge 2 results in the Z 2 lattice Higgs mo del, while letting κ Ñ 8 in the mo del describ ed b y (1.6), for G “ Z 2 n and H “ n results in the pure Ising mo del. The main result of [ 1 ] for this mo del was asymptotics for W ilson loop observ ables in the dilute gas limit, meaning that b oth β and either κ or κ ´ 1 had go to infinity as functions of | γ | . In particular, the results obtained in [ 1 ] hav e no implications for the type of questions considered in this pap er, even in an analogous discrete setting. 1.2. Con tributions of this pap er. A main to ol in sev eral of the pro ofs in this pap er is a curren t expansion for the charged mo del. T ogether with a coupling argument based on ideas from disagreemen t percolation, this pro vides a new approach to the Marcu–F redenhagen ratio that do es not inv olv e cluster expansions. W e also generalize a p olymer expansion that first app eared in [ 30 ] to the m ultiple-c harge setting k ě 2 . Apart from the generalization, we also pro vide a fully rigorous treatmen t of this expansion, also in the case j “ k “ 1 . All new ideas and to ols can, with minor work, also b e applied to the discrete setting, for, e.g., G “ Z 2 , to obtain similar results for the analogs of the mo dels considered here. 1.3. Structure of pap er. In Section 2, w e introduce notation and describ e the to ols from discrete exterior calculus that we will use throughout the paper. Next, in Section 3.1, we describ e a curren t expansion for a more general spin model, and then show that w e obtain current expansions for U p 1 q -lattice gauge theory , the ab elian lattice Higgs mo del, and the ab elian lattice Higgs mo del with charge ě 1 as sp ecial cases. In Section 3.2, we present a generalization of the p olymer expansion of the partition function used in [ 30 ] for the case j “ k “ 1 to the case j, k ě 1 . Finally , in Section 4, w e give a proof of our main results, Theorem 1.3 and Theorem 1.4, from which Theorem 1.1 follows as an immediate corollary . 1.4. A c kno wledgemen ts. The author is grateful to Christophe Garban and A v elio Sup elv eda for insightful discussions. The author ac kno wledges support from the Swedish Research Council, gran t num ber 2024-04744. 2. Preliminaries 2.1. Notation and standing assumptions. T o simplify the notation in the rest of this paper, w e let Z N ,β ,κ,k r γ s : “ ż ρ p σ p γ qq e β ř p P C 2 p B N q ρ p dσ p p qq` κ ř e P C 1 p B N q ρ p σ p e qq k dµ p σ q . Throughout the pap er, w e will use notation from discrete exterior calculus. The list b elo w summarizes this notation; for more careful definitions, we refer the reader to [ 18 ]. ‚ W e let B N : “ r´ N , N s m X Z m . ‚ F or k “ 0 , 1 , . . . , m, the set of oriented k -cells in B N is denoted b y C k p B N q . ‚ F or k “ 0 , 1 , . . . , m, a k -c hain is formal sum of p ositiv ely orien ted k -cells with integer co efficien ts. The set of all k -chains on B N is denoted b y C k p B N , Z q 6 ‚ F or k “ 1 , 2 , . . . , m and c P C k p B N q , w e let B c P C k p B N , Z q denote the orien ted b oundary of c. F or k “ 0 , 1 , . . . , m ´ 1 and c P C k p B N q , we let ˆ B c “ ř c 1 PB c c 1 P C k ` 1 p B N , Z q denote the oriented cob oundary of c. This notation extends to c hains by linearit y . ‚ F or k “ 1 , 2 , . . . , m and C Ď C k p B N q , w e let G p C q be the graph with vertex set C and an edge b etw een c, c 1 P C if and only if supp B c X supp B c 1 ‰ H . W e say that C is connected if G p C q is connected. ‚ A t´ 1 , 0 , 1 u -v alued 1-c hain γ with connected supp ort such that B γ P t´ 1 , 0 , 1 u for all v P C 0 p B N q ` and | supp B γ | ď 2 is referred to as a path. A path γ with B γ “ 0 is referred to as a lo op. ‚ F or k “ 0 , 1 , . . . , m , a G -v alued function ω : C k p B N q Ñ G with the prop ert y that ω p c q “ ´ ω p´ c q for all c P C k p B N q is referred to as a k -form. The set of all k -forms is denoted b y Ω k p B N , G q . When c P C k p B N , Z q , we define ω p c q “ ř c 1 P C k p B N q ` c r c 1 s ω p c 1 q . ‚ F or k “ 0 , 1 , . . . , m ´ 1 , and ω P Ω k p B N , G q , we define dω P Ω k ` 1 p B N , G q by dω p c q : “ ω pB c q , c P C k ` 1 p B N q . 3. Pol ymer exp ansions In this section, w e presen t t w o differen t p olymer expansions of the compact ab elian lattice Higgs mo del with and without charge. 3.1. Curren t expansions. The main goal of this section is to construct a current expansion of the ab elian lattice Higgs mo del with an integer c harge, with U p 1 q lattice gauge theory and the ab elian lattice Higgs model as sp ecial cases. T o this end, we first construct a curren t expansion of a more general mo del. W e then specialize this expansion to the three mo dels we are in terested in. T o define the general spin mo del, let ℓ ě 0 , and let Γ Ď C ℓ p B N , Z q be symmetric, i.e., be suc h that if ξ P Γ , then ´ ξ P Γ . F or ξ P Γ , let β ξ “ ´ β ξ ą 0 , and consider the mo del on Ω ℓ p B N , U p 1 qq with Hamiltonian H N , p β ξ q p σ q : “ ´ ÿ ξ P Γ β ξ ρ p σ p ξ qq , σ P Ω ℓ p B N , U p 1 qq , (3.1) using a uniform reference measure µ. This mo del describ es a ferromagnetic spin system with blo c k spins, whic h is in v ariant under spin-flips, and hence the Griffiths-Hurst-Sherman inequality holds. Moreov er, the family of mo dels describ ed by (3.1) has the following mo dels as special cases. (1) Letting ℓ “ 1 , Γ “ t 1 ¨ e : e P C 1 p B N qu , and β ξ ” κ, we obtain the XY mo del. (2) Letting ℓ “ 1 , Γ “ ␣ B p : p P C 2 p B N q ( , and β ξ ” β , we obtain U p 1 q lattice gauge theory . (3) Letting ℓ “ 1 , Γ “ ␣ B p : p P C 2 p B N q ( Y t 1 ¨ e : e P C 1 p B N qu , and for ξ P Γ , letting β ξ “ # β if ξ “ B p for some p P C 2 p B N q κ else, w e obtain the compact ab elian lattice Higgs mo del (with charge k “ 1 ). (4) Letting ℓ “ 1 , Γ “ ␣ B p : p P C 2 p B N q ( Y t k ¨ e : e P C 1 p B N qu , and for ξ P Γ , letting β ξ “ # β if ξ “ B p for some p P C 2 p B N q κ else, w e obtain the compact ab elian lattice Higgs mo del with charge k . The following prop osition giv es a curren t expansion for the mo del describ ed b y (3.1). 7 Prop osition 3.1. L et ℓ P t 0 , 1 , . . . , m u , let Γ Ď C ℓ p B N , Z q b e symmetric, and let C : “ ␣ n : Γ Ñ N ( . F or γ P C ℓ p B N , Z q , let C γ : “ ␣ n P C : p n r ˆ B c s ´ n r´ ˆ B c sq ` γ r c s “ 0 , @ c P C ℓ p B N q ( , wher e, for c P C ℓ p B N q , we let n r ˆ B c s : “ ÿ ξ P Γ ξ r c s ¨ n r ξ s . F or e ach ξ P Γ , let β ξ “ β ´ ξ ą 0 , and for n P C γ , let w p n q : “ ź ξ P Γ β n r ξ s ξ n r ξ s ! . Final ly, let µ b e the uniform distribution on Ω ℓ p B N , U p 1 qq . Then ż ρ p σ p γ qq e ř ξ P Γ β ξ ρ p σ p ξ qq dµ p σ q “ ÿ n P C γ w p n q . Pr o of. First note that, for any σ P Ω ℓ p B N , U p 1 qq , we ha v e e ř ξ P Γ β ξ ρ p σ p ξ qq “ ź ξ P Γ e β ξ ρ p σ p ξ qq “ ź ξ P Γ ÿ n r ξ sě 0 ` β ξ ρ p σ p ξ qq ˘ n r ξ s n r ξ s ! . This implies, in particular, that ż ρ p σ p γ qq e ř ξ P Γ β ξ ρ p σ p ξ qq dµ p σ q “ ż ρ p σ p γ qq ź ξ P Γ ÿ n r ξ sě 0 ` β ξ ρ p σ p ξ qq ˘ n r ξ s n r ξ s ! dµ p σ q “ ż ρ p σ p γ qq ÿ n P C ź ξ P Γ ` β ξ ρ p σ p ξ qq ˘ n r ξ s n r ξ s ! dµ p σ q . No w fix c 0 P C ℓ p B N q , σ 0 P Ω ℓ p B N , U p 1 qq , and let µ 0 b e the restriction of µ to ˘ c 0 after conditioning σ P Ω ℓ p B N , U p 1 qq to b e equal to σ 0 outside of ˘ c 0 . Then, for any n P C , we hav e ż ρ p σ p γ qq ź ξ P Γ ` β ξ ρ p σ p ξ qq ˘ n r ξ s n r ξ s ! dµ 0 p σ q “ ź c P γ ρ p σ 0 p c qq ź ξ P Γ ` β ξ ρ p σ 0 p ξ qq ˘ n r ξ s n r ξ s ! ¨ ` ρ p σ 0 p c 0 qq ˘ ´p n r ˆ B c 0 s´ n r´ ˆ B c 0 sq´ γ r c 0 s ż ` ρ p σ p c 0 qq ˘ p n r ˆ B c 0 s´ n r´ ˆ B c 0 sq` γ r c 0 s dµ 0 p σ q . Since ż ` ρ p σ p c 0 qq ˘ p n r ˆ B c 0 s´ n r´ ˆ B c 0 sq` γ r c 0 s dµ 0 p σ q “ 1 ` p n r ˆ B c 0 s ´ n r´ ˆ B c 0 sq ` γ r c 0 s “ 0 ˘ , 8 it follows that, ż ρ p σ p ξ qq e β ξ ř p P C 2 p B N q ρ p dσ p p qq dµ p σ q “ ÿ n P C ź c P γ ρ p σ p c qq ź ξ P Γ ` β ξ ρ p σ p ξ qq ˘ n r ξ s n r ξ s ! ¨ 1 ` @ c P C ℓ p B N q ` : p n r ˆ B c s ´ n r´ ˆ B c sq ` γ r c s “ 0 ˘ “ ÿ n P C ź ξ P Γ β n r ξ s ξ n r ξ s ! ź c P C ℓ p B N q ` ρ p σ p c qq p n r ˆ B c s´ n r´ ˆ B c sq` γ r c s ¨ 1 ` @ c P C ℓ p B N q ` : p n r ˆ B c s ´ n r´ ˆ B c sq ` γ r c s “ 0 ˘ “ ÿ n P C ź ξ P Γ β n r ξ s ξ n r ξ s ! ¨ 1 ` @ c P C ℓ p B N q ` : p n r ˆ B c s ´ n r´ ˆ B c sq ` γ r c s “ 0 ˘ “ ÿ n P C ξ ź ξ P Γ β n r ξ s ξ n r ξ s ! . This concludes the pro of. □ W e next describ e the special case of Prop osition 3.1 that will b e most relev an t to us. In other w ords, in the prop osition b elo w we obtain a current expansion of the compact abelian lattice Higgs mo del with c harge k ě 2 . Prop osition 3.2. L et µ b e the uniform distribution on Ω 2 p B N , U p 1 qq , and let C : “ ␣ n : C 1 p B N q Y C 2 p B N q Ñ N ( . L et γ b e a p ath, let k ě 0 , and let C γ ,k : “ ␣ n P C : p n r ˆ B e s ´ n r´ ˆ B e sq ` k p n r e s ´ n r´ e sq ` γ r e s “ 0 , @ e P C 1 p B N q ( . F urther, let β , κ ě 0 , and for n P C γ ,k , let w β ,κ p n q : “ ź p P C 2 p B N q β n r p s n r p s ! ź e P C 1 p B N q κ n r e s n r e s ! . Then ż ρ p σ p γ qq e β ř p P C 2 p B N q ρ p dσ p p qq` κ ř e P C 1 p B N q ρ p σ p e qq k dµ p σ q “ ÿ n P C γ ,k w β ,κ p n q . Pr o of. Letting ℓ “ 1 , Γ “ ␣ B p : p P C 2 p B N q ( Y t j ¨ e : e P C 1 p B N qu , and for γ P Γ , letting β γ “ # β if γ “ B p for some P p P C 2 p B N q κ else, the desired conclusion follows immediately from Prop osition 3.1. □ F or a path γ and in integer k ě 1 , we let P γ ,k b e the measure on C γ ,k induced by w β ,κ , i.e., the measure defined b y P γ ,k p n q : “ P γ ,k β ,κ p n q : “ w β ,κ p n q ř m P C γ ,k w β ,κ p m q , n P C γ ,k . 3.2. A p olymer expansion for the Higgs/confinement phase. In this section, w e present an expansion of Z j,k r γ s which can b e used as a p olymer expansion when either β is sufficiently small or κ is sufficien tly large. 9 3.2.1. Char ge 1. In this section, we consider the case k “ 1 and rewrite Z j, 1 r γ s as a sum of clusters. The main idea b ehind this expansion originates from [ 30 , Section 3, Section 4] (see also [ 19 , App endix]), and is based on the observ ation that if β is small or κ is large, the term e β p ℜ ρ p dσ p p qq´ 1 q ´ 1 in Z j,k r γ s will typically b e small. Recall that we say that a set C Ď C k p B N q ` is connected if the graph G p C q is connected, where G p C q is the graph with vertex set C and an edge b et w een c 1 , c 2 P C if supp B c 1 X supp B c 2 ‰ H . With this notation, we note that each P Ď C 2 p B N q ` induces a partition P P of P in to connected sets. F or P Ď C 2 p B N q ` and e P C 1 p B N q ` , we write e „ P if there is p P P such that e P supp B p. Prop osition 3.3. L et β , κ ě 0 , let j ě 1 , and let γ b e a p ath. Then Z j, 1 r γ s “ e β | C 2 p B N q| b | C 1 p B N q ` | 0 p b j { b 0 q | γ | ÿ P Ď C 2 p B N q ` ź P 1 P P P ϕ γ p P 1 q , (3.2) wher e, for i ě 0 , we have b i : “ ż ρ p σ p e qq i e 2 κ ℜ ρ p σ p e qq dµ p σ q and ϕ γ p P 1 q : “ p b 0 { b j q |t e P γ : e „ P 1 u| ż ź e P γ : e „ P 1 ρ p σ p e qq j ź p P P 1 ` e β p ℜ ρ p dσ p p qq´ 1 q ´ 1 ˘ ź e P C 1 p B N q ` e 2 κ ℜ ρ p σ p e qq dµ p σ q b 0 . R emark 3.4 . The constants p b i q i ě 0 app earing in Prop osition 3.3 can b e calculated explicitly , as b i “ I i p 2 κ q , where z ÞÑ I i p z q is the mo dified Bessel function of the first kind with index i . Pr o of of Pr op osition 3.3. First, note that for any σ P Ω 1 p B N , U p 1 qq , we can write e β ř p P C 2 p B N q ρ p dσ p p qq “ e 2 β ř p P C 2 p B N q ` ℜ ρ p dσ p p qq “ ź p P C 2 p B N q ` e 2 β ℜ ρ p dσ p p qq “ e β | C 2 p B N q| ź p P C 2 p B N q ` ` 1 ` e β p ℜ ρ p dσ p p qq´ 1 q ´ 1 ˘ “ e 2 β | C 2 p B N q| ÿ P Ď C 2 p B N q ` ź p P P ` e 2 β p ℜ ρ p dσ p p qq´ 1 q ´ 1 ˘ , and hence ρ p σ p γ qq j e β ř p P C 2 p B N q ρ p dσ p p qq` κ ř e P C 1 p B N q ρ p σ p e qq “ e 2 β | C 2 p B N q| ź e P γ ρ p σ p e qq j ÿ P Ď C 2 p B N q ` ź p P P ` e 2 β p ℜ ρ p dσ p p qq´ 1 q ´ 1 ˘ e 2 κ ř e P C 1 p B N q ` ℜ ρ p σ p e qq . No w note that for any P Ď C 2 p B N q ` w e hav e ż ź e P γ ρ p σ p e qq j ź p P P ` e 2 β p ℜ ρ p dσ p p qq´ 1 q ´ 1 ˘ e 2 κ ř e P C 1 p B N q ` ℜ ρ p σ p e qq dµ p σ q “ b | C 1 p B N q ` | 0 ż ź e P γ ρ p σ p e qq j ź p P P ` e 2 β p ℜ ρ p dσ p p qq´ 1 q ´ 1 ˘ ź e P C 1 p B N q ` e 2 κ ℜ ρ p σ p e qq b 0 dµ p σ q “ b | C 1 p B N q ` | 0 p b j { b 0 q |t e P γ : e ȷ P u| ź P 1 P P P ˆ ϕ γ p P 1 q , where ˆ ϕ γ p P 1 q : “ ż ź e P γ : e „ P 1 ρ p σ p e qq j ź p P P 1 ` e 2 β p ℜ ρ p dσ p p qq´ 1 q ´ 1 ˘ e 2 κ ℜ ρ p σ p e qq b 0 dµ p σ q . 10 Finally , noting that ϕ γ p P 1 q “ ˆ ϕ γ p P 1 q p b j { b 0 q |t e P γ : e „ P 1 u| , w e obtain Z j, 1 r γ s “ ż ρ p σ p γ qq j e β ř p P C 2 p B N q ρ p dσ p p qq` κ ř e P C 1 p B N q ρ p σ p e qq dµ p σ q “ e β | C 2 p B N q| b | C 1 p B N q ` | 0 p b j { b 0 q | γ | ÿ P Ď C 2 p B N q ` ź P 1 P P P ϕ γ p P 1 q . This concludes the pro of. □ In order for (3.2) to b e useful as a p olymer expansion, we need to show that the polymers app earing in this expansion are t ypically small. This is the purp ose of the next lemma. Lemma 3.5. L et β , κ ě 0 , let j ě 1 , and let p 0 P C 2 p B N q ` . Ther e is a c onstant a m that only dep ends on m such that for any c onne cte d set P Ď C 2 p B N q ` , we have ˇ ˇ ϕ γ p P q ˇ ˇ ď p b 0 { b j q |t e P γ : e „ P u| ´ ż ˇ ˇ e 2 β p ℜ ρ p dσ p p 0 qq´ 1 q ´ 1 ˇ ˇ a m ź e P supp B p 0 e 2 κ ℜ ρ p σ p e qq b 0 dµ p σ q ¯ | P |{ a m . (3.3) In p articular, for any κ ą 0 , we have sup P Ď C 2 p B N q ` ˇ ˇ ϕ γ p P q ˇ ˇ 1 {| P | ď p b 0 { b j q 4 p 1 ´ e ´ 4 β q Œ 0 as β Ñ 0 , and for any β ą 0 , we have lim κ Ñ8 sup P Ď C 2 p B N q ` ˇ ˇ ϕ γ p P q ˇ ˇ 1 {| P | ď C β ,κ Œ 0 as κ Ñ 8 . R emark 3.6 . In Figure 4, w e draw the lev el sets of the right-hand side of (3.3) for a m “ 6 . In particular, w e note that to ensure that this upper b ound is small when κ is small, β needs to b e small c omp ar e d to κ. This further motiv ates complemen ting the expansion describ ed in Prop o- sitionprop osition: p olymer expansion with the curren t expansion describ ed in Prop osition 3.2, as there the corresp onding upp er b ound can be bounded from ab ov e uniformly in β when κ is small. Pr o of of L emma 3.5. Let P Ď C 2 p B N q . Then P can b e partitioned into at most a m sets P 1 , . . . , P a m suc h that for each set, no t w o plaquettes hav e a common edge in their b oundary . Fix such a partition p P i q i P I . Then ˇ ˇ ϕ γ p P q ˇ ˇ “ p b 0 { b j q |t e P γ : e „ P u| ż ź p P P ˇ ˇ e 2 β p ℜ ρ p dσ p p qq´ 1 q ´ 1 ˇ ˇ ź e P C 1 p B N q ` : e „ P e 2 κ ℜ ρ p σ p e qq b 0 dµ p σ q “ p b 0 { b j q |t e P γ : e „ P u| ż ź i P I ź p P P i ˇ ˇ e 2 β p ℜ ρ p dσ p p qq´ 1 q ´ 1 ˇ ˇ ź e P C 1 p B N q ` : e „ P e 2 κ ℜ ρ p σ p e qq b 0 dµ p σ q . No w note that the measure ź e P C 1 p B N q ` : e „ P e 2 κ ℜ ρ p σ p e qq b 0 dµ p σ q 11 is a probabilit y measure. Applying Hölders inequalit y with respect to this measure, it follo ws that ż ź i P I ź p P P i ˇ ˇ e 2 β p ℜ ρ p dσ p p qq´ 1 q ´ 1 ˇ ˇ ź e P C 1 p B N q ` : e „ P e 2 κ ℜ ρ p σ p e qq b 0 dµ p σ q ď ź i P I ´ ż ź p P P i ˇ ˇ e 2 β p ℜ ρ p dσ p p qq´ 1 q ´ 1 ˇ ˇ | I | ź e P C 1 p B N q ` : e „ P e 2 κ ℜ ρ p σ p e qq b 0 dµ p σ q ¯ 1 {| I | . Since the plaquettes in each P i ha v e no common edges in their b oundary , it follows that the righ t-hand side of the previous equation is equal to ź i P I ź p P P i ´ ż ˇ ˇ e 2 β p ℜ ρ p dσ p p qq´ 1 q ´ 1 ˇ ˇ | I | ź e P C 1 p B N q ` : e „ P e 2 κ ℜ ρ p σ p e qq b 0 dµ p σ q ¯ 1 {| I | “ ź i P I ź p P P i ´ ż ˇ ˇ e 2 β p ℜ ρ p dσ p p qq´ 1 q ´ 1 ˇ ˇ | I | ź e PB p e 2 κ ℜ ρ p σ p e qq b 0 dµ p σ q ¯ 1 {| I | “ ´ ż ˇ ˇ e 2 β p ℜ ρ p dσ p p 0 qq´ 1 q ´ 1 ˇ ˇ | I | ź e PB p 0 e 2 κ ℜ ρ p σ p e qq b 0 dµ p σ q ¯ | P |{| I | . Com bining the ab o v e equations, since | I | ď a m , the desired conclusion follo ws. □ 3.2.2. Char ge ě 2 . In this section, we extend the ideas of Section 3.2.1 to the case k ě 2 , i.e., to the compact ab elian Higgs mo del with charge k ě 2 . The follo wing observ ation will b e fundamen tal for this section. Assume that k ě 1 and let U p 1 q k b e the restriction of U p 1 q to angles in p´ π { k , π { k q . Then, for any g P U p 1 q k there are unique h P U p 1 q and h 1 P Z k “ t g P U p 1 q : g k “ 1 u such that ρ p g q “ ρ p h q ρ p h 1 q , and hence ρ p g q k “ ρ p h q k ρ p h 1 q k “ ρ p h q k . Using this notation, we can write Z j,k r γ s “ ż ρ p σ p γ qq j e β ř p P C 2 p B N q ρ p dσ p p qq` κ ř e P C 1 p B N q ρ p σ p e qq k dµ p σ q “ ż ρ p θ p γ qq j ρ p θ 1 p γ qq j e β ř p P C 2 p B N q ρ p θ pB p qq ρ p θ 1 pB p qq` κ ř e P C 1 p B N q ρ p θ q k dµ p θ , θ 1 q , (3.4) where µ p θ , θ 1 q is the uniform measure on Ω 1 p B N , U p 1 q k ˆ Z k q . Giv en P Ď C 2 p B N q ` and θ 1 P Ω 1 p B N , Z k q , we sa y that p P , θ 1 q is c onne cte d if G p P X p supp dθ 1 q ` q is connected. F or P Ď C 2 p B N q ` and θ 1 Ď Ω 1 p B N , Z k q , let P P,θ 1 b e the set of all maximal connected subsets of p P , ˆ θ 1 q . Prop osition 3.7. L et β , κ ě 0 , let j ě 0 and k ě 1 , and let e 0 P C 1 p B N q ` . Then Z j,k r γ s “ e β | C 2 p B N q| k ´| C 1 p B N q| b | γ | j,k ÿ P, ˆ θ ź p P 1 , ˆ θ 1 qP P P, ˆ θ ϕ p P 1 , ˆ θ 1 q , wher e for i ě 0 we have b i,k : “ ż ρ p θ p e 0 qq i e 2 κρ p θ p e 0 qq k dµ p θ , θ 1 q 12 and ϕ p P 1 , ˆ θ 1 q : “ ź e P γ : e „p P 1 , ˆ θ 1 q p b 0 ,k { b j,k q ź p Pp supp ˆ θ 1 q ` e 2 β p ℜ ρ p ˆ θ 1 pB p qq´ 1 q ¨ ż ź e P C 1 p B N q ` : e „p P 1 , ˆ θ 1 q ρ p θ p e qq j ź p Pp P 1 , ˆ θ 1 q ` e 2 β ℜ ρ p θ 1 pB p qqp ρ p θ pB p qq´ 1 q ´ 1 ˘ ź e P C 1 p B N q ` e 2 κ ℜ ρ p θ p e qq k b 0 ,k dµ p θ q . R emark 3.8 . When k “ 1 , the expansion in Prop osition 3.7 is identical to the expansion in Prop osition 3.3. R emark 3.9 . One v erifies that b 0 ,k “ 1 2 π { k ż π { k ´ π { k e 2 κ ℜ e ikθ dθ “ r t “ k θ , dt “ kdθ s “ 1 2 π ż π ´ π e 2 κ ℜ e it dt “ I 0 p 2 κ q and b k,k “ 1 2 π { k ż π { k ´ π { k e ikθ e 2 κ ℜ e ikθ dµ p θ q “ r t “ k θ s “ 1 2 π ż π ´ π e it e 2 κ ℜ e it dµ p t q “ I 1 p 2 κ q , where for i ě 0 , z ÞÑ I i p z q is the mo dified Bessel function of the first kind with index i. Pr o of of Pr op osition 3.7. Note first that by (3.4), we ha v e Z j,k r γ s “ ż ρ p θ p γ qq j ρ p θ 1 p γ qq j e β ř p P C 2 p B N q ρ p θ pB p qq ρ p θ 1 pB p qq` κ ř e P C 1 p B N q ρ p θ q k dµ p θ , θ 1 q . W e no w rewrite the terms of this expression as follows. First, write e β ř p P C 2 p B N q ρ p θ pB p qq ρ p θ 1 pB p qq “ e β ř p P C 2 p B N q ρ p θ 1 pB p qq e β ř p P C 2 p B N q ρ p θ 1 pB p qqp ρ p θ pB p qq´ 1 q . (3.5) F or the first term in the right-hand side of (3.5), we ha v e e β ř p P C 2 p B N q ρ p θ 1 pB p qq “ ź p P C 2 p B N q ` e 2 β ℜ ρ p θ 1 pB p qq “ e β | C 2 p B N q| ź p Pp supp ˆ θ q ` e 2 β p ℜ ρ p θ 1 pB p qq´ 1 q , and for the second term on the right-hand side of (3.5), we ha v e e β ř p P C 2 p B N q ρ p θ 1 pB p qqp ρ p θ pB p qq´ 1 q “ e 2 β ř p P C 2 p B N q ` ℜ ρ p θ 1 pB p qqp ρ p θ pB p qq´ 1 q “ ź p P C 2 p B N q ` e 2 β ℜ ρ p θ 1 pB p qqp ρ p θ pB p qq´ 1 q “ ź p P C 2 p B N q ` ` e 2 β ℜ ρ p θ 1 pB p qqp ρ p θ pB p qq´ 1 q ´ 1 ` 1 ˘ “ ÿ P Ď C 2 p B N q ` ź p P P ` e 2 β ℜ ρ p θ 1 pB p qqp ρ p θ pB p qq´ 1 q ´ 1 ˘ . 13 Com bining the ab o v e expressions, we obtain Z j,k r γ s “ e β | C 2 p B N q| ÿ P Ď C 2 p B N q ` ż ρ p θ p γ qq j ρ p θ 1 p γ qq j ź p P P ` e 2 β ℜ ρ p θ 1 pB p qqp ρ p θ pB p qq´ 1 q ´ 1 ˘ ¨ ź p Pp supp ˆ θ q ` e 2 β p ℜ ρ p θ 1 pB p qq´ 1 q e κ ř e P C 1 p B N q e ikθ r e s dµ p θ , θ 1 q “ e β | C 2 p B N q| k ´| C 1 p B N q ` | ÿ P Ď C 2 p B N q ` θ 1 P Ω 1 p B N , Z k q ż ρ p θ p γ qq j ρ p θ 1 p γ qq j ź p P P ` e 2 β ℜ ρ p θ 1 pB p qqp ρ p θ pB p qq´ 1 q ´ 1 ˘ ¨ ź p Pp supp ˆ θ q ` e 2 β p ℜ ρ p θ 1 pB p qq´ 1 q e κ ř e P C 1 p B N q e ikθ r e s dµ p θ q . “ e β | C 2 p B N q| k ´| C 1 p B N q ` | b | C 1 p B N q ` | 0 ,k ÿ P Ď C 2 p B N q ` θ 1 P Ω 1 p B N , Z k q ź e P γ : e ȷp P, ˆ θ q p b j,k { b 0 ,k q ź p ˆ P , ˆ θ 1 qP P P,θ 1 ˆ ϕ p ˆ P , ˆ θ 1 q “ e β | C 2 p B N q| k ´| C 1 p B N q| b | C 1 p B N q ` | 0 ,k b | γ | j,k ÿ P Ď C 2 p B N q ` θ 1 P Ω 1 p B N , Z k q ź e P γ : e „p P,θ 1 q p b 0 ,k { b j,k q ź p ˆ P , ˆ θ 1 qP P P, ˆ θ ˆ ϕ p ˆ P , ˆ θ 1 q , where ˆ ϕ p ˆ P , ˆ θ 1 q : “ ź p Pp supp ˆ θ 1 q ` e 2 β p ℜ ρ p ˆ θ 1 pB p qq´ 1 q ¨ ż ź e „p ˆ P , ˆ θ 1 q ρ p ˆ θ 1 p e qq j ρ p θ p e qq j ź p Pp ˆ P , ˆ θ 1 q ` e 2 β ℜ ρ p ˆ θ 1 pB p qqp ρ p θ pB p qq´ 1 q ´ 1 ˘ e κ ř e P C 1 p B N q ρ p θ p e qq k b | C 1 p B N q ` | 0 ,k dµ p θ q . F rom this, the desired conclusion immediately follows. □ The next result, Lemma 3.10 b elo w, giv es an upp er b ound of ˇ ˇ ϕ γ p P , θ 1 q ˇ ˇ whic h is needed for the polymer expansion described in Proposition 3.7, as such an upp er b ound guarantees that at least for some parameter v alues, the clusters will typically b e small. Lemma 3.10. L et β , κ ě 0 , let k ě 2 , let γ b e a p ath, and let p 0 P C 0 p B N q ` . Then ther e is a m ě 1 such that for every P Ď C 2 p B N q ` and θ 1 P Ω 1 p B N , Z k q such that p P , θ 1 q is c onne cte d, we have ˇ ˇ ϕ γ p P , θ 1 q ˇ ˇ ď p b 0 ,k { b j,k q |t e P γ : e „p P,θ 1 qu| ź p Pp supp θ 1 q ` e 2 β p ℜ ρ p θ 1 pB p qq´ 1 q ¨ ź p Pp P,θ 1 q ˆ ż ˇ ˇ e 2 β ℜ e i ˆ θ 1 rB p s p e iθ rB p sq ´ 1 q ´ 1 ˇ ˇ a m ź e P C 1 p B N q ` e 2 κ ℜ ρ p θ p e qq b 0 ,k dµ p θ q ˙ 1 { a m . In p articular, if we let |p P , θ 1 q| : “ | P Y p supp θ 1 q ` | , then for any κ ą 0 we have sup p P,θ 1 q ˇ ˇ ϕ γ p P , θ 1 q ˇ ˇ 1 {|p P,θ 1 q| ď C β ,κ Œ 0 as β Ñ 0 . and for any β ą 0 we have sup p P,θ 1 q ˇ ˇ ϕ γ p P , θ 1 q ˇ ˇ 1 {|p P,θ 1 q| ď C 1 β ,κ Œ 0 as κ Ñ 8 . 14 Pr o of. Let P Ď C 2 p B N q ` and θ 1 P Ω 1 p B N , Z k q . Then ˇ ˇ ϕ p P , θ 1 q ˇ ˇ ď p b 0 ,k { b j,k q |t e P γ : e „p P,θ 1 qu| ź p Pp supp θ 1 q ` e 2 β p ℜ ρ p θ 1 pB p qq´ 1 q ¨ ź p Pp P,θ 1 q ˆ ż ˇ ˇ e 2 β ℜ e i ˆ θ 1 rB p s p e iθ rB p sq ´ 1 q ´ 1 ˇ ˇ a m ź e P C 1 p B N q ` e 2 κ ℜ ρ p θ p e qq b 0 ,k dµ p θ q ˙ |p P,θ 1 q{ a m . Next, note that there is an absolute constan t a m (that dep ends only on the dimension of the lattice Z m ) suc h that C 2 p B N q ` can be partitioned in to disjoin t sets P 1 , . . . , P a m suc h that for eac h set, no t w o plaquettes ha ve a common edge in their b oundary . Hence, b y Hölders inequality , applied with the probability measure ś e P C 1 p B N q ` e 2 κ ℜ ρ p θ p e qq b 0 ,k dµ p θ q , w e hav e ż ź p Pp P,θ 1 q ˇ ˇ e 2 β ℜ ρ p θ 1 pB p qqp ρ p θ pB p qq´ 1 q ´ 1 ˇ ˇ ź e P C 1 p B N q ` e 2 κ ℜ ρ p θ p e qq b 0 ,k dµ p θ q ď a m ź i “ 1 ˆ ż ź p P P i Xp P,θ 1 q ˇ ˇ e 2 β ℜ e i ˆ θ 1 rB p s p e iθ rB p sq ´ 1 q ´ 1 ˇ ˇ a m ź e P C 1 p B N q ` e 2 κ ℜ ρ p θ p e qq b 0 ,k dµ p θ q ˙ 1 { a m “ a m ź i “ 1 ź p P P i Xp P,θ 1 q ˆ ż ˇ ˇ e 2 β ℜ e i ˆ θ 1 rB p s p e iθ rB p sq ´ 1 q ´ 1 ˇ ˇ a m ź e P C 1 p B N q ` e 2 κ ℜ ρ p θ p e qq b 0 ,k dµ p θ q ˙ 1 { a m “ ź p Pp P,θ 1 q ˆ ż ˇ ˇ e 2 β ℜ e i ˆ θ 1 rB p s p e iθ rB p sq ´ 1 q ´ 1 ˇ ˇ a m ź e P C 1 p B N q ` e 2 κ ℜ ρ p θ p e qq b 0 ,k dµ p θ q ˙ 1 { a m . This concludes the pro of. □ 15 4. Pr oof of main resul ts In this section, w e give pro ofs of our main results, Theorem 1.3 and Theorem 1.4, of which Theorem 1.1 follows as a sp ecial case. The pro ofs of these theorems will b e divided into sev eral prop ositions throughout this section, which are finally summarized in Section 4.3. 4.1. Upp er and lo w er b ounds of Wilson lines and Wilson lo ops. In this section, w e obtain upp er and low er b ounds of Wilson lines and lo ops, which together give a basic under- standing of how the abelian lattice Higgs mo del b eha v es for different charges. The main to ols in this section are the current expansion from Section 3.1 and the Griffiths-Hurst-Sherman in- equalit y . The first result of this section is Lemma 4.1 b elo w, which shows that for an y path γ , W j γ has p ositiv e exp ected v alue if any only if the charge k satisfies k | j. Lemma 4.1. L et β , κ ą 0 , let γ b e an op en p ath, let j ě 1 , and let k ě 0 . Then E N ,β ,κ,k r W j γ s ě 0 . Mor e over, E N ,β ,κ,k r W j γ s ą 0 if and only if k ě 1 and k | j. Pr o of. The first claim of the lemma is a direct consequence of the Griffiths-Hurst-Sherman inequalit y , or alternativ ely , of Prop osition 3.2. F or the second claim of the lemma, note that b y Prop osition 3.2, we hav e E N ,β ,κ,k r W j γ s ą 0 if an y only if C j γ ,k is non-empt y , i.e., if there is n P C such that p n r ˆ B e s ´ n r´ ˆ B e sq ` k p n r e s ´ n r´ e sq ` j γ r e s “ 0 , @ e P C 1 p B N q . (4.1) No w assume that n P C satisfies (4.1). F or e P C 1 p B N q , define σ p e q : “ n r e s ´ n r´ e s , and for p P C 2 p B N q , define ω p p q : “ n r p s ´ n r´ p s . Then σ P Ω 1 p B N , Z q and ω P Ω 2 p B N , Z q . Since n sat- isfies (4.1), with this notation, we ha v e δ ω ` k σ ` j γ “ 0 , implying in particular that k δ σ ` j B γ “ 0 . Since γ is an op en path, j B γ is a non-trivial 0 -form, taking v alues in t´ j, 0 , j u , and hence w e m ust hav e k ě 1 and k | j. W e no w sho w that k ě 1 and k | j. , then C j γ ,k is non-empt y . T o this end, assume that k ě 1 and k | j. Define n P C b y letting n r p s “ 0 for all p P C 2 p B N q , and for e P C 1 p B N q , letting n r e s “ # p j { k q γ r´ e s if γ r´ e s ě 0 0 otherwise. Then, by definition, for any e P C 1 p B N q we ha v e p n r ˆ B e s ´ n r´ ˆ B e sq “ 0 and k p n r e s ´ n r´ e sq “ ´ j γ r e s , and hence p n r ˆ B e s ´ n r´ ˆ B e sq ` k p n r e s ´ n r´ e sq ` j γ r e s “ 0 , implying in particular that n P C j γ ,k . This completes the pro of. □ The follo wing result, Prop osition 4.2, shows that if k | j, then Wilson lo op observ ables alw a ys ob ey a p erimeter law. 16 Prop osition 4.2. L et β , κ ą 0 , let γ b e a p ath, and let j , k ě 1 b e such that k | j. Then x W j γ y β ,κ,k ą x W e 0 y j | γ | β ,κ,k ą 0 . Henc e, if γ is a lo op, the Wilson lo op observable W j γ has p erimeter law for al l β , κ ą 0 . Pr o of. By the Griffiths-Hurst-Sherman inequality , we ha v e E N ,β ,κ,k r W j γ s ě ź e P γ E N ,β ,κ,k r W j e s . Letting N Ñ 8 and using Lemma 4.1, the desired conclusion immediately follows. □ Motiv ated b y Prop osition 4.2, we no w turn to the case k ∤ j, and sho w that in this case, the ab elian lattice Higgs mo del has a phase transition b etw een a region with area law and a region with p erimeter la w. T o this end, w e first prov e that for any j and k , there is alw ays a region in the parameter space where the mo del has a p erimeter law. Prop osition 4.3. L et β c b e so that pur e lattic e gauge the ory with β ą β c has p erimeter law. L et β ą β c and κ ą 0 , let γ b e a lo op, and let j ě 1 and k ě 0 . Then ther e is C, c ą 0 such that x W j γ y β ,κ,k ě C e ´ c | γ | for every n. Pr o of. By the Griffiths-Hurst-Sherman inequality , we ha v e E N ,β ,κ,k r W j,γ s ě E N ,β , 0 ,k r W j,γ s “ E N ,β r W j,γ s ě E N ,β r W γ s j . Since pure lattice gauge theory has p erimeter law for all sufficiently large β (see, e.g., [ 12 ]), the desired conclusion follo ws. □ W e next sho w that if k ∤ j, then there exists a region in the parameter space where the ab elian lattice Higgs mo del exhibits an area law. Prop osition 4.4. L et j ě 1 and k ě 0 , let γ b e a r e ctangular lo op, and let j, k ě 1 b e such that k ∤ j. Then ther e is β 1 c ą 0 , C “ C p β , κ q ą 0 , and c “ c p β , κ q ą 0 such that if β P p 0 , β 1 c q and κ ě 0 then E N ,β ,κ,k r W j γ s ď C e ´ c area p γ q . Pr o of. Recall first that n P C j γ ,k . if and only if p n r ˆ B e s ´ n r´ ˆ B e sq ` k p n r e s ´ n r´ e sq ` j γ r e s “ 0 , Let C 0 j γ ,k b e the set of n P C j γ ,k that are minimal in the sense that there is no m ď n such that m P C 0 j γ ,k . This allo ws us to write ÿ n P C j γ ,k w p n q ď ÿ m P C 0 j γ ,k ÿ n P C j γ ,k : m ď n w p n q “ ÿ m P C 0 j γ ,k ÿ m 1 P C 0 ,k w p m ` m 1 q ď ÿ m P C 0 j γ ,k w p m q ÿ m 1 P C 0 ,k w p m 1 q , whic h implies, in particular, that E N ,β ,κ,k r W j γ s ď ÿ m 1 P C 0 ,k w p m 1 q . No w note that b y definition, the supp ort of an y n P C 0 j γ ,k is connected, and moreov er, this is still true if w e restrict the supp ort to C 2 p B N q . Moreo ver, since k ∤ j, the supp ort of an y n P C 0 j γ ,k m ust contain at least area p γ q plaquettes. The desired conclusion now follo ws from standard en umeration arguments. □ 4.2. The Marcu–F redenhagen ratio. In this section, w e state and prov e our main results ab out the Marcu–F redenhagen ratio for the case k | j ě 1 . Note that if k ∤ j, then, by Lemma 4.1, the Marcu–F redenhagen ratio is identically zero. 17 4.2.1. The fr e e phase. In this section, we consider the free phase, corresp onding roughly to the part of the phase diagram where β is large and κ is small. Prop osition 4.5. L et j , k ě 1 and assume that k | j. L et β 0 b e the phase tr ansition b etwe en p erimeter law and ar e a law in the pur e mo del. Then for every β ą β 0 and κ sufficiently smal l c omp ar e d to β , we have lim n Ñ8 r n,k,j “ 0 . R emark 4.6 . The pro of of Prop osition 4.5 b elo w closely follo ws the pro of of for the case j “ k “ 1 in [ 20 ], and can also b e found in [ 4 , Section 1.2]. Pr o of of Pr op osition 4.5. W e first give an upp er b ound on the numerator of r n,k,j . T o this end, note first that by the Griffiths-Hurst-Sherman inequalit y , we ha v e E N ,β ,κ,k r W j γ n s E N ,β ,κ,k r W j γ 1 n s “ E N ,β ,κ,k r W j γ n s 2 ď E N , 8 ,κ,k r W j γ n s 2 “ E N , 8 ,κ, 1 r W p j { k q γ n s 2 . Note that when β “ 8 , then σ „ µ N , 8 ,κ, 1 has the same distribution as dη , where η is the XY-mo del on Ω 0 p B N , U p 1 qq . Consequen tly , ff κ is sufficien tly small, then the probabilit y on the righ t-hand side of the previous equation decays lik e e ´ c κ | y n ´ x n | , where c κ can b e made arbitrarily large by c ho osing κ small. W e now giv e a lo w er b ound on the denominator of r n,k,j . T o this end, note that b y the Griffiths- Hurst-Sherman inequality , we ha v e E N ,β ,κ,k r W j p γ n ` γ 1 n q s ě E N ,β , 0 ,k r W j p γ n ` γ 1 n q s ě E N ,β , 0 ,k r W γ n ` γ 1 n s j Note that when κ “ 0 , we get the pure U p 1 q lattice gauge theory . Consequently , if β is sufficiently large, then E r W γ n ` γ 1 n s deca ys like e ´ c 1 β | γ | , where c 1 β can be made arbitrarily small b y choosing β large (see, e.g., [ 23 ]). Com bining the upp er and low er b ounds giv en ab ov e, the desired conclusion immediately follows. □ 4.2.2. The c onfinement r e gime. In this section, w e consider the confinemen t regime, which roughly corresp onds to the part of the phase diagram where β is small. The primary to ol w e employ in this regime is the current expansion, as describ ed in Section 3.1, which enables us to map the ab elian lattice Higgs model to a discrete mo del. W e then use disagreement p er- colation (see, e.g., [ 5 ]) to lo wer b ound the Marcu–F redenhagen ratio. An alternative route for pro ving this result w ould be to instead first use either the current expansion or the expansion describ ed in Section 3.2, and then proceed b y using a cluster expansion of log Z r γ s (see, e.g., [ 22 , Chapter 5]). Ho w ever, the pro of presen ted here, using disagreemen t p ercolation, requires the expansion to assign p ositive weigh t to clusters and thus cannot b e used in conjunction with the signed expansion of Section 3.2. Prop osition 4.7 (MF ratio in the confinemen t regime) . L et β , κ ą 0 , and let j, k ě 1 b e such that k | j. Then, if ` 1 ` 16 p d ´ 1 q ˘ 2 p e j β { k ´ 1 q e 4 κ is sufficiently smal l, we have lim inf n Ñ8 r n,k,j ą 0 . W e illustrate the region where Prop osition 4.7 applies in Figure 3. In the pro of of Prop osition 4.7, we will use the curren t expansion describ ed in Section 3.1. In addition, we will use the following notation. When n P C , we let G p n q b e the graph with vertex set supp n , an edge b et w een tw o plaquettes p 1 , p 2 P supp n X C 2 p B N q if supp B p 1 X supp B p 2 ‰ H , and an edge betw een p P supp n X C 2 p B N q and e P supp n X C 1 p B N q if e P ˘ supp B p. Whenev er m , n P C , we write m ď n if the following holds. (1) n r c s “ m r c s for all c P supp m , and 18 0.2 0.4 0.6 0.8 1.0 β 0.2 0.4 0.6 0.8 1.0 κ Figure 3. The figure ab ov e shows the lev el sets of the function on the right hand side of the function p e β ´ 1 q e 4 κ , which equiv alently is the lev el sets of the upp er b ound in Prop osition 4.7. (2) supp m is a connected comp onent of G p n q . W e no w pro ceed to the pro of of Prop osition 4.7. Pr o of of Pr op osition 4.7. First, w e note that for any path γ , by Prop osition 3.2, we ha v e E N ,β ,κ,k r W j γ s “ ř n P C j γ ,k w β ,κ p n q ř n P C 0 ,k w β ,κ p n q , where we recall from Prop osition 3.2 that C j γ ,k : “ ␣ n P C : p n r ˆ B e s ´ n r´ ˆ B e sq ` k p n r e s ´ n r´ e sq ` j γ r e s “ 0 , @ e P C 1 p B N q ( . W e will prov e the statement b y defining a bijective map φ b et w een a set ˜ C j γ n ,j γ 1 n Ď C j γ n ,k ˆ C j γ 1 n ,k and a set ˜ C j p γ n ` γ 1 n q , 0 Ď C j p γ n ` γ 1 n q ,k ˆ C 0 ,k whic h preserv es w β ,κ , and then show that ˜ C j p γ n ` γ 1 n q , 0 ha v e p ositive densit y α with resp ect to P j p γ n ` γ 1 n q ,k ˆ P 0 ,k . Since this implies that E N ,β ,κ,k r W j γ n s E N ,β ,κ,k r W j γ 1 n s E N ,β ,κ,k r W j p γ n ` γ 1 n q s “ w β ,κ p C j γ n ,k q w β ,κ p C j γ 1 n ,k q w β ,κ p C j p γ n ` γ 1 n q ,k q w β ,κ p C 0 ,k q ě w β ,κ p ˜ C j γ n ,j γ 1 n q w β ,κ p C j p γ n ` γ 1 n q ,k q w β ,κ p C 0 ,k q “ w β ,κ p ˜ C γ ` γ 1 , 0 q w β ,κ p C γ ` γ 1 ,k q w β ,κ p C 0 ,k q “ αw β ,κ p C j p γ ` γ 1 q ,k q w β ,κ p C 0 ,k q w β ,κ p C j p γ n ` γ 1 n q ,k q q w β ,κ p C 0 ,k q “ α ą 0 , this implies the desired conclusion. W e now define φ, ˜ C j γ n ,j γ 1 n and ˜ C j p γ n ` γ 1 n q , 0 . Given n 1 P C j γ n ,k , n 2 P C j γ 1 n ,k , and a path ˜ γ , let A ˜ γ p n 1 , n 2 q b e the set of all plaquettes that are in some connected component of G p n 1 ` n 2 q that is adjacent to at least one of the edges in ˜ γ . F urther, let Λ ˜ γ p n 1 , n 2 q : “ A ˜ γ p n 1 , n 2 q Y t e Ď C 1 p B N q : ˘ supp ˆ B e X A ˜ γ p n 1 , n 2 q ‰ Hu , ˜ C j γ n ,j γ 1 n : “ ␣ p n 1 , n 2 q P C j γ n ,k ˆ C j γ 1 n ,k : A j γ n p n 1 , n 2 q X A j γ 1 n p n 1 , n 2 q “ H ( and, similarly , let ˜ C j p γ n ` γ 1 n q , 0 : “ ␣ p n 1 , n 2 q P C j p γ n ` γ 1 n q ,k ˆ C 0 ,k : A j γ n p n 1 , n 2 q X A j γ 1 n p n 1 , n 2 q “ H ( . 19 Then φ : p n 1 , n 2 q ÞÑ p n 1 | Λ j γ n ` n 2 | Λ c j γ n , n 2 | Λ j γ n ` n 1 | Λ c j γ n q is a bijective map from ˜ C j γ n ,j γ 1 n to ˜ C j p γ n ` γ 1 n q , 0 . Moreov er, since for ev ery c P C 1 p B N q Y C 2 p B N q w e hav e ␣ n 1 p c q , n 2 p c q ( “ ␣ φ p n 1 , n 2 q 1 p c q , φ p n 1 , n 2 q 2 p c q ( , it follows that w β ,κ ` φ p n 1 , n 2 q 1 ˘ ` w β ,κ ` φ p n 1 , n 2 q 2 ˘ “ w β ,κ p n 1 q ` w β ,κ p n 2 q . It now only remains to show that if β and κ are b oth sufficiently small, then α “ p P j p γ n ` γ 1 n q ,k ˆ P 0 ,k q ` ˜ C j p γ n ` γ 1 n q , 0 ˘ ą 0 . T o this end, note first that by definition, we ha v e p P j p γ n ` γ 1 n q ,k ˆ P 0 ,k qp ˜ C j p γ n ` γ 1 n q , 0 q “ p P j p γ n ` γ 1 n q ,k ˆ P 0 ,k q ` A j γ n p n 1 , n 2 q X A j γ 1 n p n 1 , n 2 q “ H ˘ On the even t A j γ n p n 1 , n 2 q X A j γ 1 n p n 1 , n 2 q “ H , there must exist a connected comp onen t in G p n 1 ` n 2 q that is adjacent to b oth γ n and γ 1 n . T o upp er b ound the probabilit y of this ev ent, for an edge e P γ n , let C e p n 1 , n 2 q b e the connected component in G p n 1 ` n 2 q that is adjacent to e. Then p P j p γ n ` γ 1 n q ,k ˆ P 0 ,k q ` A j γ n p n 1 , n 2 q X A j γ 1 n p n 1 , n 2 q ‰ H ˘ ď ÿ e P γ n p P j p γ n ` γ 1 n q ,k ˆ P 0 ,k q ` | C e | ě dist p e, γ 1 n q ˘ . No w assume that m P C 0 ,k is giv en. Then, for any n P C 0 ,k suc h that m ď n we hav e n ´ m P C 0 ,k . Also, since m and n ´ m hav e disjoin t supp orts, it follows that w β ,κ p n q “ w β ,κ p m q w β ,κ p n ´ m qq . Hence P 0 ,k β ,κ p m ď n q “ ř n P C 0 ,k : m ď n w β ,κ p n q ř n P C 0 ,k w β ,κ p n q ď ř n P C 0 ,k : m ď n w β ,κ p n q ř n P C 0 ,k : m “ n w β ,κ p n ´ m q ď w β ,κ p m q . Next, assume m P C is such that m ď n P C j p γ ` γ 1 q ,k . Let γ 2 b e the restriction of γ ` γ 1 set of edges in γ ` γ 1 that are adjacen t to e . Let m 0 b e defined by m 0 r c s “ # j γ r e s{ k if c P γ 2 0 else. Then n ´ m ` m 0 P C j p γ ` γ 1 q ,k . Moreo v er, we note that since the supp ort of n ´ m is disjoin t form the supp ort of b oth m and m 0 , we ha v e b oth w β ,κ p n q “ w β ,κ p n ´ m q w β ,κ p m q and w β ,κ p m ´ m ` m 0 q “ w β ,κ p m ´ m q w β ,κ p m 0 q . Com bining these observ ations, we obtain P j p γ ` γ 1 q ,k β ,κ p m ď n q “ ř n P C j p γ ` γ 1 q ,k : m ď n w β ,κ p n q ř n P C j p γ ` γ 1 q ,k w β ,κ p n q ď ř n P C j p γ ` γ 1 q ,k : m ď n w β ,κ p n q ř n P C j p γ ` γ 1 q ,k : m ď n w β ,κ p n ´ m ` m 0 q “ ř n P C j p γ ` γ 1 q ,k : m ď n w β ,κ p n ´ m q w β ,κ p m q ř n P C j p γ ` γ 1 q ,k : m ď n w β ,κ p n ´ m q w β ,κ p m 0 q “ w β ,κ p m q{ w β ,κ p m 0 q . W e no w claim that there is ε ą 0 suc h that w β ,κ p m q{ w β ,κ p m 0 q ď w β ` ε n ,κ p m q . T o see this, note first that m 0 r p s “ 0 for all p P C 2 p B N q . 20 Next, note that for an y e P γ 2 , we ha v e p m r ˆ B e s ´ m r´ ˆ B e sq ` k p m r e s ´ m r´ e sq “ k m 2 r e s . Also, note that if | γ 2 | ď min p 2 R n , T n q , then ř e P C 1 p B N q m r e s ě ř e P C 1 p B N q m 0 r e s . T ogether, these observ ations imply that if supp 2 m ď min p 2 R n , T n q , then w β ,κ p m q{ w β ,κ p m 0 q ď w j β { k,κ p m q . Similarly , if | γ 2 | ě min p 2 R n , T n q , then w β ,κ p m q{ w β ,κ p m 0 q ď w p j { k ` o n p 1 qq β ,κ p m q . Since ř 8 i “ 1 κ i { i ! ď 1 , by standard arguments (see, e.g., [ 14 , 16 ]), for any edge e P γ n w e hav e p P j p γ n ` γ 1 n q ,k ˆ P 0 ,k q ` | supp 2 C e | ě dist p e, γ 1 n q ˘ ď 8 ÿ i “ dist p e,γ 1 n q p 1 ` 2 ¨ 4 ¨ 2 p d ´ 1 qq 2 i ˆ 8 ÿ ℓ “ 1 pp j { k ` o n p 1 qq β q ℓ ℓ ! ˙ i ˆ 8 ÿ ℓ “ 0 κ ℓ ℓ ! ˙ 4 i “ a dist p e,γ 1 n q 1 ´ a , where a : “ ` 1 ` 16 p d ´ 1 q ˘ 2 p e p j { k ` o n p 1 qq β ´ 1 q e 4 κ . Summing o ver all edges e P γ n , we obtain P j p γ n ` γ 1 n q ,k ˆ P 0 ,k p␣ ˜ C j p γ n ` γ 1 n q , 0 q ď ÿ e P γ n p P j p γ n ` γ 1 n q ,k ˆ P 0 ,k q ` | supp 2 C e | ě dist p e, γ 1 n q ˘ ď 2 8 ÿ i “ 1 a i 1 ´ a ` T n a R n 1 ´ a “ 2 a p 1 ´ a q 2 ` T n a R n 1 ´ a . and hence P j p γ n ` γ 1 n q ,k ˆ P 0 ,k p ˜ C j p γ n ` γ 1 n q , 0 q ą 1 ´ 2 a p 1 ´ a q 2 ´ T n a R n 1 ´ a . F rom this, the desired conclusion immediately follows. □ W e next use the expansion of Section 3.2.2 together with a cluster expansion to pro v e that the Marcu–F redenhagen ratio is non-zero when κ is sufficiently large. W e illustrate the region where Prop osition 4.8 applies in Figure 4. Prop osition 4.8 (MF ratio in the Higgs regime) . L et β , κ ą 0 , and let j, k ě 1 b e such that k | j. Then, if sup | θ 1 ,P | ˇ ˇ ϕ γ p P , θ 1 q ˇ ˇ 1 {|p P,θ 1 q| is sufficiently smal l, we have lim inf n Ñ8 r n,k,j ą 0 . Pr o of. Since the pro of, with the setup from Section 3.2, is almost iden tical to the pro of of [ 14 , Theorem 1.1], we only outline the differences here. The p olymers in the pro of of [ 14 , Theorem 1.1] are replaced with sets P Ď C 2 p B N q corresp onding to connected graphs G p P q , and the weigh t of eac h cluster is giv en b y ϕ γ . , Lemma 3.10 guaran tees that the cluster expansion conv erges. The rest of the pro of then follo ws the pro of of [ 14 , Theorem 1.1], and the conclusion follo ws by noting that b y Lemma 3.10, the w eight assigned to a cluster of size at least T n “ T n go es to zero exp onen tially fast in n. □ R emark 4.9 . In essence, ha ving an expansion of log Z r γ s into a sum o ver products of well separated clusters whose w eigh t deca ys exp onen tially quic kly in the size of their support is exactly what is needed to obtain lim inf r n ą 0 . In a similar vein, as was already p oin ted out in [ 30 ] and [ 19 , App endix A], in the same setting one can also easily obtain analyticit y of Wilson lo op and Wilson line exp ectation, and also exp onen tial decay of correlations. 21 β 0.5 1.0 1.5 2.0 κ Figure 4. The Figure ab ov e sho ws the lev el sets of the function on the right hand side of (3.3), which is an upp er b ound of the quantit y that needs to b e small for Prop osition 4.8 to b e applicable. 4.3. Pro ofs of Theorem 1.3 and Theorem 1.4. In this section, we provide proofs of the tw o main results of the paper by pro viding references to earlier results in the pap er that pro v e their constituen t parts. Pr o of of The or em 1.3. The desired conclusion follo ws b y com bining the results of this section. In particular, Theorem 1.3(a) follo ws by Lemma 4.1, Theorem 1.3(b) is exactly Prop osition 4.4, and Theorem 1.3(c) is exactly Prop osition 4.3. □ Pr o of of The or em 1.4. The desired conclusion follo ws directly from com bining the results of this section. In particular, Theorem 1.4(a) is exactly Prop osition 4.2, Theorem 1.4(b) is exactly Prop osition 4.7, Theorem 1.4(d) is exactly Proposition 4.5, and, finally , Theorem 1.4(c) is exactly Prop osition 4.8. □ References [1] A. A dhik ari, Wilson lo op exp ectations for non-ab elian gauge fields coupled to a Higgs b oson at low and high disorder, Commun. Math. Phys. 405, 117 (2024). [2] A. A dhik ari, S. Cao, Correlation decay for finite lattice gauge theories at weak coupling, Ann. Probab. 53(1): 140-174 (2025). [3] T. Balaban, D. Brydges, J. Imbrie, A. Jaffe, The mass gap for Higgs mo dels on a unit lattice, Ann. Ph ys. 158, 281-319 (1984). [4] J. C. A. Barata, On the phase structure of the compact ab elian lattice Higgs mo del, Com- m un. Math. Phys. 129, 511–523 (1990). [5] J. v an den Berg, A uniqueness condition for Gibbs measures, with application to the 2- dimensional Ising an tiferromagnet, Commun. Math. Phys. 152, 161-166 (1993). [6] Borgs, C., Nill, F., The phase diagram of the ab elian lattice Higgs mo del. A Review of Rigorous Results, Journal of Statistical Physics, V ol. 47, Nos. 5/6, (1987). 22 [7] S. Cao, Wilson lo op exp ectations in lattice gauge theories with finite gauge groups. Comm. Math. Phys., 380, 1439–1505, (2020). [8] S. Chatterjee, Y ang-Mills for Probabilists, In: F riz, P ., Konig, W., Mukherjee, C., Olla, S. (eds) Probabilit y and analysis in interacting physical systems. V AR75 2016. Springer Pro ceedings in Mathematics & Statistics, v ol 283. Springer, Cham., (2020), 307–340. [9] S. Chatterjee, O. Y akir, Correlation deca y for U p 1 q lattice Higgs theory: the case of small mass, preprint a v ailable at https://arxiv.org/abs/2509.19176 (2025). [10] P . Duncan, B. Sc h w einhart, A sharp deconfinement transition for P otts lattice gauge theory in co dimension tw o, Comm un. Math. Ph ys. 406, 164 (2025). [11] M. P . F orsström, F. Viklund, A current expansion for Ising lattice gauge theory , preprint a v ailable at https://arxiv.org/abs/2502.19942 (2025). [12] M. P . F orsström, F. Viklund, F ree energy and quark p otential in Ising lattice gauge theory via cluster expansion, Int. Math. Res. Not, 2025(12). [13] M. P . F orsström, Pure p erimeter la ws for Wilson lines observ ables, preprint a v ailable at https://arxiv.org/abs/2409.20085 (2024). [14] M. P . F orsström, The phase transition of the Marcu–F redenhagen ratio in the ab elian lattice Higgs mo del, Electron. J. Probab. 29: 1–36 (2024). [15] M. P . F orsström, Ornstein-Zernike decay of Wilson line observ ables in the free phase of the Z 2 lattice Higgs model, preprint a v ailable at https://arxiv.org/abs/2504.10909 (2025). [16] M. P . F orsström, Wilson lines in the Ab elian lattice Higgs mo del, Comm. Math. Phys., V olume 405, article n umber 275, (2024). [17] M. P . F orsström, J. Lenells, F. Viklund, Wilson lines in the lattice Higgs mo del at strong coupling, Ann. Appl. Probab. 35(1): 590–634 (2025). [18] M. P . F orsström, J. Lenells, F. Viklund, Wilson lo ops in finite ab elian lattice gauge theories, Ann. Inst. Henri Poincaré, Probab. Stat. V ol. 58, Issue 4, (2022), 2129–2164. [19] E. F radkin, S. Shenker, Phase diagrams of lattice gauge theories with Higgs fields, Ph ys. Rev. D V ol. 19, No. 12 (1979) [20] K. F redenhagen, M. Marcu, Charged states in Z 2 gauge theories Comm un. Math. Phys. 92, 81–119 (1983). [21] K. F redenhagen, M. Marcu, Dual interpretation of order parameters for lattice gauge the- ories with matter fields, Nucl. Phys. B (Pro c. Suppl.) 4 (1988) 352–357. [22] S. F riedli, Y. V elenik, Statistical mec hanics of lattice systems: A Concrete Mathematical In tro duction, Cambridge: Cam bridge Univ ersity Press, (2017), ISBN: 978-1-107-18482-4, DOI: 10.1017/9781316882603 [23] J. F röhlich, T. Sp encer, Massless phases and symmetry restoration in ab elian gauge theories and spin systems, Comm. Math. Phys. 83(3): 411-454 (1982). [24] C. Garban, A. Sup elv eda, Improv ed spin-w a ve estimate for Wilson lo ops in U(1) lattice gauge theory , Int. Math. Res. Not. (2023) 21, 18142–18198. [25] K. Gregor, D. Huse, R. Mo essner, S. L. Sondhi, Diagnosing deconfinement and top ological order, New J. Phys. 13 025009 (2011). [26] A. H. Guth, Existence Pro of of a Nonconfining Phase in F our-Dimensional U(1) Lattice Gauge Theory , Phys. Rev. D 21 (1980) 2291 23 [27] M. Göpfert, G. Mac k, Pro of of confinemen t of static quarks in 3-dimensional U(1) lattice gauge theory for all v alues of the coupling constant, Comm. Math. Ph ys. 82(4): 545-606 (1981-1982). [28] K. Kondo, Order parameter for c harge confinemen t and phase structures in the lattice U(1) gauge-Higgs mo del, Prog. Theor. Phys. 74, 152–169 (1985) [29] K. K ondo, Rigorous analyses on order parameters and c harged states in the lattice ab elian- Higgs mo del, Prog. Theor. Phys. Supplemen t No. 92, (1987), 72–107. [30] K. Osterwalder, E. Seiler, Gauge Field Theories on a Lattice, Ann. Phys. 110, 440–471 (1978). [31] A. M. Somoza, P . Serna, A. Nah um, Self-dual criticalit y in three-dimensional Z 2 gauge theory with matter, Phys. Rev. X 11 (4), (2021). [32] C. Stahl, B. Plack e, V. Khemani, Y. Li, Slo w mixing and emergen t one-form symmetries in three-dimensional Z 2 gauge theory , preprint a v ailable as arXiv:2601.06010 (2026). [33] F. J. W egner, Dualit y in generalized Ising models and phase transitions without lo cal order parameters, J. Math. Phys. 12(10) (1971), 2259–2272. [34] K. Wilson, Confinement of quarks, Phys. Rev. D 10, (1974), 2445–2459. (Malin P . F orsström) Dep ar tment of Ma thema tics, Chalmers University of Technology and Univer- sity of Gothenburg, Sweden Email addr ess : palo@chalmers.se 24

Original Paper

Loading high-quality paper...

Comments & Academic Discussion

Loading comments...

Leave a Comment