Wavy-wall-based flow control for the suction side geometry of NACA4412 at Retau = 3000

The paper presents a high Reynolds number experimental study of turbulent boundary layer separation control on a convex plate using the wavy-wall method, which was initially proposed for a flat plate

Wavy-wall-based flow control for the suction side geometry of NACA4412 at Retau = 3000

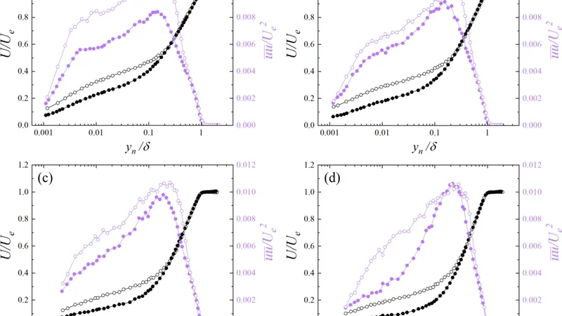
The paper presents a high Reynolds number experimental study of turbulent boundary layer separation control on a convex plate using the wavy-wall method, which was initially proposed for a flat plate by Dróżdż et al. 2021 (Exp Therm Fluid Sci 2021;121:110291). The application of this method increases the friction coefficient by up to 42.3%, resulting in a substantial delay in turbulent separation from the convex wall, while maintaining total momentum, quantified by changes in momentum-loss thickness. Other parameters indicating the high efficiency of the method are the invariant value of the friction Reynolds number along the flow and the thinner boundary layer. The above indicators demonstrate promising aerodynamic improvements in airfoils, similar to those achieved when active suction is applied to the suction side. The new insight into the physical mechanism of the wavy wall suggests that small-scale turbulent activity is the primary determinant of the effectiveness of the wavy wall in enhancing small-scale streamwise convection and the sweeping motion, resulting in superior momentum transport. However, when the wavy wall, due to poorly selected geometry, induces large-scale motions, such as separation in the trough, it counteracts the mechanism. Then this geometry has a detrimental effect on the efficiency of the method.


📜 Original Paper Content

🚀 Synchronizing high-quality layout from 1TB storage...