Iterative PDE-Constrained Optimization for Seismic Full-Waveform Inversion

Iterative PDE-Constrained Optimization for Seismic Full-Waveform Inversion
Notice: This research summary and analysis were automatically generated using AI technology. For absolute accuracy, please refer to the [Original Paper Viewer] below or the Original ArXiv Source.

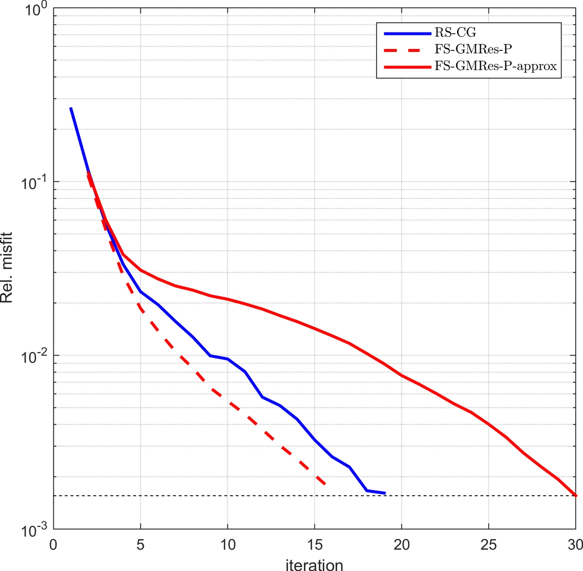
This paper presents a novel numerical method for the Newton seismic full-waveform inversion (FWI). The method is based on the full-space approach, where the state, adjoint state, and control variables are optimized simultaneously. Each Newton step is formulated as a PDE-constrained optimization problem, which is cast in the form of the Karush–Kuhn–Tucker (KKT) system of linear algebraic equitations. The KKT system is solved inexactly with a preconditioned Krylov solver. We introduced two preconditioners: the one based on the block-triangular factorization and its variant with an inexact block solver. The method was benchmarked against the standard truncated Newton FWI scheme on a part of the Marmousi velocity model. The algorithm demonstrated a considerable runtime reduction compared to the standard FWI. Moreover, the presented approach has a great potential for further acceleration. The central result of this paper is that it establishes the feasibility of Newton-type optimization of the KKT system in application to the seismic FWI.


💡 Research Summary

The paper introduces a novel numerical framework for seismic full‑waveform inversion (FWI) that leverages a full‑space Newton method together with an efficient preconditioned Krylov solver for the resulting Karush‑Kuhn‑Tucker (KKT) system. Traditional FWI formulations adopt a reduced‑space approach, where only the material parameters (e.g., squared slowness γ) are treated as optimization variables and the forward wave equation is solved repeatedly as an external operator. In such schemes the Gauss‑Newton or quasi‑Newton Hessian is dense and ill‑conditioned, requiring hundreds of forward and adjoint simulations per Newton iteration, which makes large‑scale 3‑D applications computationally prohibitive.

In contrast, the authors formulate the inversion as a PDE‑constrained optimization problem in which the state (acoustic pressure field u), the adjoint state λ, and the control γ are optimized simultaneously. Each Newton step leads to a linear KKT system of the form

\


Comments & Academic Discussion

Loading comments...

Leave a Comment