A Reliability-based Framework for Multi-path Routing Analysis in Mobile Ad-Hoc Networks

Unlike traditional routing procedures that, at the best, single out a unique route, multi-path routing protocols discover proactively several alternative routes. It has been recognized that multi-path routing can be more efficient than traditional on…

Authors: Marcello Caleffi, Giancarlo Ferraiuolo, Luigi Paura

A Reliability-based Framework for Multi-path Routing Analysis in Mobile   Ad-Hoc Networks
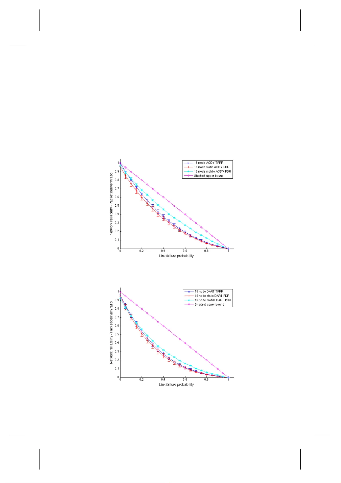
Int. J. , Vol . x, No. x , xx xx 1 Cop yright © 20 0x Ind ersci ence En terpri ses L td. A Reliabilit y-base d Frame work f or Multi- path Ro uting Analysis i n Mobile A d-Hoc Netw orks Marcello Cal effi †, Gi ancarl o Ferrai uolo *, Lui gi Paura †• † Dipar timen to di In gegn eria Elet tronic a e d elle Teleco mun i cazioni (DI ET) - Un ivers ità d egl i Stud i d i Napo li F ederi co II – Napo li, ITA LY • Labo ra torio N azion ale d i Comu ni cazion i Mult imedia li ( CN IT) – Napo li, ITA LY * Au torità p er le Gar anzi e nel le Co mun icazio ni ( AGC O M) - Cen tro Dire ziona le Isol a B5 Tor re Fr ance sco - 801 43 Napol i, ITAL Y E-ma il addr esses : {n am e.surna me} @u nina .it Abstra ct: Unl ike tradi tional ro utin g p rocedu res that, at the b es t, singl e ou t a uniq ue route, mu lti -path ro ut ing pro tocols di s cover p roactiv ely sev eral alternativ e routes. It h as been re cogniz ed that m ul ti-path rou ting can be mor e efficient th an tradition al one mainly f o r mobile ad hoc netwo rks, w here route failure ev ent s are frequ ent. Most studi es in the area of mu lti-path ro uting focus on heuristic metho ds, and the p erform ances of th ese s trategi es are comm only evaluat ed by n umerical simul ation s. The ne ed of a theoreti cal analy sis motiva tes such a p aper, wh ich p ropo ses to resor t to the t ermin al-p air routing reliabil ity as per formanc e metr ic. This m etri c allows on e to as sess the performan ce gain du e to the a vailabili ty of route diversity. By resortin g to graph th eory , we p ropo se an an alyt ical fr amewo rk to evalua te the tolerance o f multi-path rou te d iscov ery p ro cesses again st rou te failu res for mo bile ad ho c networks . Mo reov er, w e d erive a us eful bo un d to easily esti mate the performan ce imp rovem ent s ac h iev ed by multi-path r ou ting with re spect to any traditio nal routing proto col. F inally, n umeric al simul ation result s sho w th e effectiven ess of this p erform anc e analy sis. Keywo rds : MAN ET; r eli ability; mu lti-p ath; ro uting; ad-h oc; g raph theory; overlay g raph , Biogra phical notes: Marcel lo C aleff i wa s bo rn in B ond eno, It aly, on O ctob er 1 1, 197 8. He r eceived the Dr . E ng. degr ee summa cum laud e in compu ter scien ce en gine ering in 200 5 from the Un iversity of Le cce, I taly. H e is cu rrently p ur suing th e P h .D. deg ree in elect ronic and telecommu ni cations engin eering wi th the D ep art m ent of Electro nic and Telecomm uni cations E ngin eering (DIET) , Un iversi ty o f Napoli Federico II, Italy. Hi s rese arch activ ities lie i n the area of ad-h oc wireless networks protoco l design . I n parti cular, his curren t interest s are focused on routing for mob ile ad-h oc n etwo rks. Gian carlo F erraiuo lo r eceived the L aure a deg ree ( summ a c u m l aude) in electroni c eng ineering fr om th e S econd U nive rsity of N apl es, Italy, in 2 00 0, and the Ph .D. d egre e from th e Un ivers ity of Napl es Fede rico II, in 20 04. In 200 3, he spent a p eriod as a Visit ing Research er in the Dep artment o f E lectrical Eng ineering of S tanford Un iversity. In the p er iod Decemb er 20 04 - June 2 00 7, he ha s been a res earcher at the Depa rtment of E lec tronic and Telecommu ni cation E ngin eering of the U niv ersity of Napl es F eder ico II. No w he is with AGC O M, th e Italian Na tiona l Regul atory Autho rity for Autho r Comm unication s. His main scientific interests are i n t he fields of statistica l image fo rm ati on and of wir eless netwo rk proto col an d algo rithm d esign. Luig i P aura w a s b orn in Napoli, Italy, o n Febru ary 20, 1950 . H e re ceived the Dr. En g. d egre e ( summ a cum laude) in electron ic eng ineer ing in 1 9 74 from the Univer sity o f Napol i Fed erico II. F rom 19 79 to 19 84 he was w ith th e Departm ent o f E lect ronic and T el ecommu nicat ion E ng ineering, U niv ersity o f Napoli, Ita ly, f irst a s an A ssist ant Pro fe ssor and then as an A sso ciate Prof essor. Since 19 94 , h e ha s be en a Full P rofes sor of T elecommu ni cations: fi rst, w ith the Departm ent of Mathem atics, Univ ersity o f L ec ce, It aly; the n, with th e Departm ent of Inform ation Engin eering, Secon d Univer sity of Nap oli; and, finally, from 1998 he h as been with the Dep artmen t o f E lectron ic and Telecommu ni cation Eng ineer ing, Univ ersi ty of Napo li Federi co II. He also held t eaching po sitions a t th e Univ er sity o f S alerno, It aly, at th e Un iversity of Sannio , Italy, and the Un iversity Parth enop e, N apoli, Italy. In 1 985 -86 and 199 1 he was a Visiting Resear cher at the Sign al and Imag e Process ing Labora tory, Un iv ersity of C alifo rnia, D avis . At the pr esent time, h is rese arch activiti es are main ly conc erned wi th statis tical sign al proc essing , digital commun ication sy stems and m edium a ccess con trol in wi reless ne tw orks. 1. Introd ucti o n In the last ten y e ars, Mob il e A d ho c N ETwork ( MANE T) techno log ies h ave b een tremen dou sly gr owin g. A MAN ET i s an autono mou s sys tem of mob ile no des con ne cted by w ireless links , with out any static infras tructur e su ch as access po ints . Such k ind of networ ks was introd uced m anly fo r mili tary and em erg ency applicat ions, bu t re cen tly, thanks t o th e mesh p arad igm, it c an guar an tee u biqu itous communi cation s ervices , an d it is mand ator y wh en no ce llul ar or oth er fix ed inf rastru cture s a re av ailab le. To reach a des tinat ion nod e l oc ated ou t o f the cov erag e ran ge of the sender nod e, a multi-h op co mmun ica tion str ategy m ust be explo it ed; in su ch a case, each nod e has to coop erate w ith the o ther o n es and acts as relay fo r pa cke t tr ansm ission . In t h is s cenar io, the ins tab ility of the top olog y ( link and n ode f ailures) d u e to n od e mob ility and /or chang es in w irele ss p rop aga tion cond itions can fr equen tly g ive r ise to d is conn ected rou tes. For such reason s , the d es ign of an effec tive r out ing pro tocol fo r ad ho c scen arios is a challeng ing pr ob lem, and much res earch activ itiy h ad been carried on in the las t years , pro du cing a plethora o f d ifferen t ap pro ach es and solut ions. Th e pr opo sals in [ 1] focu s on discover ing the sh ort est avail able r out e, a ccord ing to some metric s, an d all the tr aff ic is rou ted over tha t path. This appro ach e xh ibit s l ow toler ance against route failur e even ts, since in such case it i s ne cess ary to s top the da ta t ransm iss io ns u ntil a n ew rou te wil l be discover ed [2]. An interes ting ap pro ach to g ain toler ance ag ainst unrel iable wireless links and node mob ility is b ased on multi-p ath rout ing , in w hi ch mult iple rou tes ar e proac tively fou nd . In order to e ffectively explo it th e adv antag es of multi-pa th app roaches , it is n ecess ary t o assess the p erfor m ance g ain reached by th ese str ategi es an d, mor eover, to ev alua te the trade o ff be twe en adv antag es and cos ts in ado pt ing mor e co mp lex mu lt i-path solu tions. Differen t s tudies an d pr opo sals o n mu lt i-pa th rou ting ha ve focu sed on h euris tic methods t o estab lish h ow many ro ut es are n eed ed an d h ow to s elect the m. Th e on- demand mu lti-p ath ro uting pro tocol in [3] , wh ich is an exten sio n o f th e well-kno wn DSR Title pro tocol [ 4], tak es adv an tages of ma int aining al tern ative disj o int r out es to b e ut ilized when th e pri mary on e fa ils. H owev er, the p er form ance b ene fits ar e ev alu ated o nly in f ew particu lar cases, reg ardle ss the to leran ce aga ins t rout e fai lure s. Th e AO DV- BR [6], wh ich is an extension o f AOD V [5] , i s an alyz ed by a nu mer ical simu lation an alys is, wh ich adop ts the pa cke t d elivery ratio a s p erfo rmanc e metri c. Th e s am e ap pro ach for perfo rmance ev aluat ion i s ado pted in s ever al wo rks on mu lti- path ro ut ing, as in [7- 11 ]. Some wor ks hav e addr essed the p ro blem to analy tica lly ass ess th e mu lt i-path b enef its by resorting t o graph t heor y, fo r bo th w ireless senso r networ ks a nd MANETs. M or e spec ifically, in [12 ,13] the st udy is fo cused on a p articul ar ro uting pro toco l, wh ereas in [14 ,15] the toler anc e ag ains t r out e f ailures is ev alua ted with r efer ence to th e p hy sica l layer, name ly in ter ms of networ k conn ectivi ty. In [ 16- 17] the evalu ation is perf ormed fo r wire less senso r networ ks and, therefor e, it assu mes a h ierarch ic al s tru ctur e and the presenc e o f a sink nod e. Finally, in [1 8-2 0] an analytic al ev aluat ion o f m ulti-p ath ro uting is carr ied ou t by reso rting to d ivers ity co ding. The aim of th is p aper i s to p rop ose an ana lytic al f ram ewor k to ev alu ate the tol eranc e of mu lti-path ro ut e disco very pro cesses aga inst rou te fa ilur es, r ather than to s ingl e o ut new mu lti-path rou ting d iscov er pr oces ses. Mor e spe cific all y, wi th r ef erenc e to MAN ET paradigm , w e pr opo se to r esor t to a theo re tical app roach b as ed o n grap h th eo ry. W e firs t introd uce a n an alyt ical fra mewo rk b ased o n the termina l-pa ir ro utin g relia bili ty ( TP RR) [21 ] as measure o f th e to leran ce of rou ting pro tocol s agai nst ro ute fa ilures. Un like the packe t del ivery ratio , su ch a me tric allows on e to eva lua te th e ro bustness ag ains t th e link failur es, w ith r esp ect to the n umb er and t he r el iabili ty o f th e di scover ed rou tes. I n or der to d eriv e the a na lytic al express ion o f t he TP RR, w e reso rt to the co nc ept o f o verla y gra ph , namely the l ogi cal struc ture b u ilt b y the ro u te discove ry pro cess (RDP) of a rou ting pro tocol up on the ph ys ical n etwo rk. In this way , th e incomp lete kn owl edg e abou t the ne twork topo logy t ha t each n ode p osses ses i s taken into accoun t. Th en, it is introd uced an u pp er bo un d o n the TPR R of any sh or test-p ath RDP. This allow s on e to easily co m pare the perf orman ces gain of a mu lti-pa th RDP w ith resp ec t to w ha tever sho rtest-p ath one. A n algo rithm for exac t evalua tion of routing re liab ility, bo th in num erica l and symbo lic f orm, is a lso pro vid ed. The o ut line of the p aper is the fo llow ing : Se ction 2 in tro du ces th e n etwo rk mod el and the as sump tion s, w her eas S ec tion 3 p resen ts th e analy tical f r amewor k. S ec tion 4 pro vides the rel iab ility ana lys is and , fin ally, Sec tion 5 gives th e con clusio ns. 2. Net wor k mo del a nd a ss u mptio ns In the fo llow ing w e intro duc e th e ne twork represen ta tion by r esorting to the g raph theory and pr esen t the ma in assump tions ut ilized in ou r an aly sis. The n odes in the network are assu med to be reli able, w hile the links are failure- pro ne [22 ]. This assu mpt ion is r easo nabl e f or b oth stat ic and m o bile net wor ks. In f act , in a static n etwo rk , as in a sen sor on e, the f ailure of a link i s d ue to the instabi lity of wir eless pro pagation con di tions an d to the cap aci ty co nstra ints, where as in a mob ile n etwork, as in a MAN ET, the f ailur e of a link i s also d ue to the no de m ob ility. I n the fol lowing , w e assum e that th e no de mob ility d oes no t af fec t the re liab ility perfo rmance . Clearly , thi s assump tion is r ea listic o nly wh en the n od e mob ility is r ela tively low , sin ce in su ch a c ase the pa cke t d elivery times are common ly s ma ller th an tho se a s socia ted w ith t opo logy Autho r chang es [ 23] . The resu lts o f n umer ical s imulat ions rep orte d in Section 4.3 co nfirm the validity of such assu mpt ion fo r s cenar ios w ith mod er ate no d e mob ility . We mo del the ne twor k w ith a pr obab il istic dir ec t gr aph: G = ( V , E , P ) (1) in wh ich a v ertex v i ! V deno tes a n ode b elon ging to the n etwo rk and an edg e e ij ! E represen ts a comm un icat ion link fro m nod e v i to n ode v j . Each li nk is char acter ized b y a failur e p ro babi lity p ij ! P (with P denoting th e link -failur e probab ility matrix) , whi ch measu res th e pr obab ility tha t, at the tr ansm iss ion attemp t tim e, the l ink is do wn. The edge failur e even ts ar e assu med sta tistic ally indepen d ent of each o ther. Given a pro babi listic graph G , we def ine an ov er lay gr aph as : G O = ( V , E O , P O ) (2) where E o ! E and P o is the link- failur e pr obab ility m atr ix asso cia ted w ith E o . Sinc e a nod e s d iscovers (b y means of the R DP) only a subset E s , t ! E of the availab le links to reach a d est ination t , w e can d efine the o v erlay g raph bu ilt by the RDP upo n the ph ysi cal n etwork top olog y as: G s , t = ( V , E s , t , P s , t ) (3) In the f ollow ing , we r efer to the grap h defin ed in ( 1) as the p hysi cal g rap h , w hi ch is a represen ta tion of the ph ysi cal top ology , wh ile w e refer t o the graph def ined in ( 3) as th e over lay grap h , to wh ich w e resor t to measure th e toleranc e of a ro utin g p rotoco l ag ains t path f ailur es. As exa mple , in F ig. 1 b oth the p hy sica l g raph o f a ne two rk an d a r elated o verl ay grap h for the flow (2 ,8) are d epicted. Cle arly , fo r each ro utin g pro tocol an d for each flow, the RDP def ines a d ifferen t over lay gr ap h, whi ch accoun ts for the f eatures of the particu lar RDP as w ell a s th e n e twork topolo gy. Then , th e overlay g r aph allows u s to measu re the eff ect ivene ss of the RDP ado pt ed by any tab le b ased r ou ting p ro tocol. In fact, it a llows on e to a ssess the n umb er of mu ltipl e pa ths f o r each flow , an d mor eover their d isjo intne ss d egree ( i.e. the nu mb er of disjoin t links a m ong a set of r outes), enab ling so to analy tical ly ev aluat e the toleran ce again st pa th f ailur es. Figure 1 - Physical an d ove rlay g raphs Title 3. Perfor ma nce anal ys is fra me wor k In this s ection, w e pres ent the p rop osed analy tica l fra mew ork for asses sing th e toleran ce of RDP s che mes to link f ai lures, as we ll as the b oun d on the r eli ability f or sho rtest-p ath RD P s trateg ies. 3.1 Preli minar ies With r eferen ce to a un icas t r outing scen ario, let us ado pt as RD P perfo rm ance measu re the t erm inal-p air r ou ting reliabi lity (TP RR) [21 ], n amely the prob ability tha t at least o ne rou te fro m the no de s to th e nod e t exists . Consid ering the flow fro m the n ode s t o the n od e t an d d en oting w ith ! s , t the set of rou tes foun d by the RDP , we def ine th e TPR R as : R s , t ( G s , t ) = P ( ! s , t " # ) (4) where G s , t is th e over lay gr aph bui lt by the RDP fo r the flow ( s ,t ). The TP RR (4) c an be re-wr itten as : R s , t ( G s , t ) = 1 ! C s , t ( i ) p i ( 1 ! p ) m ! i i = c m " (5) where m = E s , t is the c ardina lity o f the edge s et E s , t , p ! p i , j is the l ink-f ailure pro bability ( assum ed for simp licity the same for each pa ir of nodes), c is the mini mum edge cut se t 1 dimen sion of the ov erlay g raph b etween s and t , and C s , t ( i ) is the numb er of cut se ts be tw een s an d t in the o v erlay grap h co mpo sed e xactly b y i ed ges. Th en, the mean TPR R is : R = z s , t t ! V , t " s # R s , t s ! V # n ( n $ 1 ) (6) where n = V , and z s , t is the prob ability that a dat a flo w oc curs b etw een nod es s and t . Accoun ting for the r esu lts in [24], we derive th e symbo lic exp ress ion of TPRR as a fun ction o f the link- fa ilure pr obab ility p . M ore spe cific all y, the L isting 1 sh ow s h ow exactly to co mpu te the TPR R (5) using the o ver lay graph . The algor ithm is inv ok ed by initial izing G to th e ov erlay g raph G s,t , the set SS to emp ty, a nd n to s . Th en, the no de n is includ ed in the se t SS as well as the redu ndan t nod es, in o rder to en sure th at the set o f a ll emit ting ed g es fro m a p articu lar S S is a m inim al cut se t. A n od e is r edun dan t if it is adjacen t to SS and h as no w ay to r ea ch t witho ut ex plo iting any n ode in S S . I f the sing led out set S S is already in the hash tabl e HAS H , n oth ing needs t o b e do ne. D iffer ent ly, SS is a m inima l cut se t and it h as to be ad ded to the hash tabl e. Th en, the p ro cedu re comp ut es the un reliab ility ( the pr ob ability tha t all th e links fa il) for the cut set and recu rsive ly ca lls itself f or e ach nod e ad ja cent to the cut set SS . Listing 1 – Rec ursiv e(G,HASH, SS,s,t, notRel,sym bNotRel) // Reliability = 1 – Recu rsive(…) o utpu t // G is the ad jacen cy matrix related to the ov erlay graph // HASH is a collec tion of min imal cut set, initializ ed to em pty // SS is the u nde r analy sis minima l cut set, initialize d to emp ty // n is initialized to s if (n == t) re turn; 1 An edg e cu t set for the flow ( s,t ) is a se t of edg es who se rem ova l disconnects s and t . Autho r merg e(G, SS, n); // Merging no de n in SS abso rb(G, SS, t); // Absorb ing red unda nt nodes in SS if (HASH.is Presen t(SS)) return ; HASH.insert( SS); find a cu tset C of SS; symb Temp NotRel = “(1 -p)^” + C.size.toSt ring; tem pNotRe l = 1.0; symb Temp NotRel = sy mbTem pNotRel + " + p * (“ + symb Temp NotRel; for eac h ed ge in C tempNotRe l = p Failed * temp NotRel; end for eac h no de adjac ent to S S Recursive (G,HASH ,SS,n,t,temp NotRe l,symbN otRel); tempNotRe l = p Succes s * temp NotRel; end symb Temp NotRel = sy mbTem pNotRel + “)”; notRe l = notRel + temp NotRe l; 3.2 Polyn o mial bou nd on sh or test -pa th r elia bi lit y In t his sub -se ction, th e p erfo rmanc e ga in ach iev ed b y a mu lti-pa th RD P w ith r espe ct to any sh ort est-p ath o n e is es tima ted by resor ting to an up pe r b ou nd wh ich ho lds fo r any sho rtest-p ath sch em e. The RDP o f a sho rtest-p ath p ro toco l, a t bes t, s ing les o ut a u niqu e rou te P s,t fo r the flow ( s,t ) . L et u s d ef ine w ith h o ( s , t ) the o verl ay d istan ce b etw een ( s,t ), i. e. th e length o f P s,t measur ed in num ber o f hop s on the ov erlay g raph. Deno ting wi th h ( s , t ) the p hy sical distan ce be tween ( s ,t ), na me ly the ho p d istan ce m easu red on the p hys ical grap h, w e hav e: h ( s , t ) ! h o ( s , t ) " s , t # V (7) since th e link s et E s , t of the ov erlay gr aph i s a su b-se t of t he link set E of the ph ysical grap h and so the ov erlay d ist ance h o ( s , t ) can no t be l ess th en h ( s , t ) . So, th e TP RR fo r a shorte st pa th ro uting pr otocol can b e up per b oun ded as : R s , t ( G s , t ) = ( 1 ! p ) h o ( s , t ) " ( 1 ! p ) h ( s , t ) (8) To estimat e th e d istanc e h ( s , t ) which clearly depen ds on the n et wo rk topo logy , w e make som e r eason abl e assu mp tions . Mor e sp ec ifica lly, we assume , ac cordin g to [ 25] , that th e no de d ens ity δ is u nifo rm ( accor ding to the f irst interf erence p rinc iple) as we ll as the tr ansm iss ions rang e r , and the ph ysi cal network area A is a cir cle. Mor eover , we assum e the traff ic pat tern ran dom as [ 25 ], nam ely each des tinat ion no de is cho sen with equal pr obab ility ( z s , t ! z ), and the no de s is a t th e centre o f th e n etwo rk (to neglect the bou nd ary effec t). Und er th ese condi tio ns, the nu mber o f nod es in the cir cle of r ad ius x is: n ( x ) = ! x 2 " , 0 # x # A ! (9) The pro babi lity tha t th e no de s co mmun ica tes w i th a n ode b elonging to a c ircu lar neighb orh oo d of radius x can b e wr itten as : P ( X ! x ) = " x 2 A , 0 ! x ! A " (10 ) where X is the r ando m v ariabl e rep res enting the p a th length between ( s,t ). From (1 0), th e pro bability d en sity fu nc tion is : f X ( x ) = 2 ! x A , 0 " x " A ! (11 ) Title Consequ en tially, the aver age p ath length L , me asured in d istan ce un its, is : L = E X [ ] = xf X ( x ) 0 A / ! " dx = 2 A 3 ! (12) and the av erage phy sica l dist ance, measu red in num b er of h o ps, is: h = L r ! " " # $ $ = 2 A 3 % r ! " " # $ $ = 2 n / & 3 % r ! " " # $ $ (13 ) where n is the total num b er of n odes in the ne twor k and ! " # $ rou nds to the h igher int eger. Thus, the upp er bou nd on the TPR R for any shor test p ath RD P is: R s , t ( G s , t ) ! ( 1 " p ) 2 n / # 3 $ r % & & & ' ( ( ( (14 ) 4 Reliabi li ty a nal ys is The ai m of this sec tion is twofo ld : i. to sho w the eff ect ivenes s of the pro po sed ana lytic al fr amewo rk to assess t he toleran ce agains t lin k fa ilures fo r any R DP s trategy ; ii. to s tate per for man ce comp ar isons among th em. At th is en d, thr ee sho rtest-p ath ro uting pro toco ls, O LS R [ 26 ], D ART [2 7] and AO DV [29 ], and two multi-p ath ones , A TR [2 8] and A O MDV [ 30] , are consid ered . More spec ifically, O LSR and DART ar e both pro active p rotoco ls, and D ART, unlike O LS R, is hierar chica l, i. e. it gr oup s th e no des b elon ging t o the n etwo rk in zones, n amely sib lings, and stores a uniqu e ro ute tow ards e ach zone f or scalab ility p urp oses. AO DV is a rea ctive rou ting pro toco l, wh ile AO MD V gen er alizes AOD V to exp loit mu ltipl e p aths wi th disjo int links betw een the sou rce and the des tinat ion. Analog ously, A TR gen erali zes DART , loo king for mu lt iple rou tes toward s the s ame zon e. 4.1 Over la y gra ph g ener ati on The overl ay grap hs needed to compu te th e mean TPR R have been gener ated by simu lation us ing Ne twor k Simu lator 2 (n s-2 ) [ 31 ]. F ig. 2 sh ow s the gener atin g pro cess of the over lay grap hs. Figure 2 - Ov erlay gra ph generating proc ess For each ne twor k topolog y, we run a ns- 2 bas ed simulat ion in order to popu late the rou ting ta bl e o f each n od e. The paths infor mation e mb edd ed i n the r outing t ab le i s t hen used to g ener ate the ov erlay gr aph fo r ea ch par ticul ar f low ( s,t). Th e cho ice of u sing n s-2 to gener ate the routing tab les h as th e fo llow ing two adv an tag es: Autho r i. the ov er lay gr aphs are s traigh t gen era ted b y the RDP u til ize d by the sp ec ific r ou ting pro tocol; ii. the analysis c an be easily ext ended to d iffer ent rou ting pr ot ocols w ith a ligh t effo rt , simp ly pr ovid ing to th e pro tocol code a fun ction which p ri nts ou t the nod e ro uting table. 4.2 Relia bi lit y ass ess ment The m ain char act erist ics of t he re l iability ass essm ent s e tup ar e brief ly summ ari zed in the fo llow ing . W e ado pt th e s tand ard n s-2 valu es fo r b oth t h e ph ysi cal an d the l ink layer to si mu late an IEEE 802.11 a Lucen t network interf ace wit h Two- Ray Grou nd as pro pagation model. Th e dur ation of simu lat ion i s s et to 5 00 sec ond s to al low the r outing tables to b eco me cons is ten t with resp ect to th e ne two rk topolog y. Th e s izes o f th e scen ario ar eas are cho sen to keep the nod e d ens ity equa l to 6 4 n od es/Km2, wh ich avoids the presen ce of isol ated no des [32] by assur ing a m ean no d e c on ne ctivity degre e o f 12. The networ k topo logi es are ran dom ly g enera ted b y indep endent ly and u nifor mly distr ibuting the nod es in the sc enar io ar ea. We have p erfo rm ed mea sures f or 1 00 topo logies fo r each net wor k siz e. More spec ifically, we h ave report ed th e T PR R f or the sh orte st-pa th RDPs (O LS R, DART and AOD V), th e sho rtest-p ath up per bo und o n TP RR, and the TP RR f or the mu lti-p ath RDP s (AO MDV and AT R). Eac h f igure sh ow s t he aver age an d th e v ariance o f TP R R f or ea ch pro tocol as fu nc tion of th e link- fa ilure p rob abili ty. Figure 3 – 4 nodes full mesh network Fig. 3 r efers to a 4 nod es full-me sh n etwork . In t his c ase, th e averag e TP RR re ach ed by the shor test-path pr otocol s ag re es wi th the sh orte st-pa th u pper b oun d. This means th at, for v ery sma ll n etwo rks, their RDP is o ft en ab le to f ind th e o ptimal r oute ( one- hop r oute) betwe en each p air o f no des . W e not e th at D AR T RDP re a ches lo wer va lue s of TP R R with respec t t o oth er shortes t-pa th RDPs, althou gh the diff er ences canno t b e r ecogni zed in the figure . Regar ding mu lti-p ath RDPs, b oth AO MDV and ATR ou tperfor m the sho rtest-p ath pr otocol s also in such a s mall n etwo rk. Title Figure 4 – 8 nodes network Fig. 4 ref ers to a n etwo rk with 8 n odes. I n t his case, t h e sh orte st-pa th p rotoco ls experi ence low er va lues o f TP RR with r espe ct to the shor tes t-p ath upp er bou nd . Sinc e the nod e connec tivity degr ee is 12 , every pa ir of no des is p hy sically linked and so the optim al r out e is on e-ho p lon g, in a ccordan ce w ith the upp er bou nd depicted in F ig. 4 . How ever, th e sho rtest-p ath RDPs re ach low er v alues, i.e . the y discov er lon ger ro utes th an the op tima l on es. DA R T RDP perfor ms w ors t d ue to its hierarchi cal n ature , and the larges t differ en ce is abo ut 0.08 in corr espon dence of the link - failur e prob abili ty p =0.5. Regar ding to AO MDV , for low link-fai lure prob abi lity, it o utperfo rms any sho r test- path protoco l thanks to i ts mu lt i-path ch ar act erist ic, wh erea s, w hen the link-fa ilur e pro bability in creas es, such b ehav iour do es not ap ply. Th is b ehaviou r is r eason ab le, s inc e AOMDV adopts th e s ame r oute d iscov ery of A ODV , so t ha t ne ither it ca n f ind t h e optim al ro utes. Sinc e A TR is a p roa ctive rou ting protoco l, it p ers isten tly br oadcas ts r ou ting pack ets in o rder to dis covery r edun dant r ou tes . Ther efo re, it is able to find mo re p aths than AOMDV . Cle arly, th e A TR ro uting o v erhead is higher than AOMDV o ne. Autho r Figure 5 – Ro ute disco ve ry proc ess The b ehaviou r of shortes t-pa th p roto co ls depi cted in F ig. 4 can be i nt erpret ed by resorting to Fig. 5 , whi ch show s an ex amp le of the r ou tes d isco vered b y differ ent R DPs. The f irst r ow sho ws th e ov erlay grap hs bui lt b y the sho rtest- p ath RD Ps tow ards th e nod e ‘2’ f rom three sour ce no des (‘1 ’, ‘ 3’ and ‘4 ’). In this cas e, an y RDP is n ot able to find o ut the op timal r oute fo r ev ery flow and DART, d ue to its h ier a rchical na ture , find s ou t less optim al rou tes th an o ther o nes. The s econd ro w p resents the rou tes tow ards th e n ode 4 singl ed out by the mu lti-pa th RDPs , wh ich ar e ab le to dis co ver redun dan t paths for the same flow . In Fig. 6 w e sh ow the resu lts f or a 16 n od es n etwo rk. Th is sc enar io conf irms th e consider at ions concern ing Fig . 5. Figure 6 – 1 6 nodes networ k Title Figure 7 – 3 2 nodes networ k Fig. 7 sho ws the resu lts for a 3 2 nod es netwo rk. The AO MDV beh aviour agr ees with the con sid erations con cern ing the pr evious f igur es, s ince AO MDV R DP outp erf orms any sho rtest-p ath ro uting pr oto col only f or low link-f ailure pro ba bility. On t he wh ol e, th e TP R R an alys is evid en ces tha t th e mul ti-p ath appr oa ch, ap art fro m the part icular RD P s chem a, is su itabl e f or scenar ios wi th nea rly rel iable links, wh erea s for nearly u nre liab le link s the mul ti-pa th g ain is negl igib le. Fina lly, we sh ow that th e TP RR can be explo ited to asses s th e tr ade-o ff th at a ro u ting pro tocol experien ces b etw een b en efits d u e to mu ltip le ava il able routes and the ov er head needed to discov er the m. I n the fo llow ing , w e resor t to TP RR to evalua te this tr ade-of f with r espe ct to the A TR RDP s che me . The o rigina l AT R pr otocol looks for ever y av ailable rou te tow ards the sa me zon e. To analy ze the men tion ed trade-o ff, we cons ider two A TR RDPs wh ich intro duc e a limita tion in th e n umb er of discov ered rou tes, in o rd er to keep dow n th e memo ry over head. Spec ifi cally, in the follow ing we analy ze both the 3-lim ited ATR RD P and 5- limited ATR RD P . Fig. 8 s how s t he averag e TPRR f or a n etwork with 1 6 nodes. The F ig. 8 shows that the ex tra over h ead p aid b y origin al A T R RDP d oes n ot pro vid e a s ignifi cant perfo rm ance impro vem ent wi th respe ct to t he 5-lim ited A TR one , wh ich is ab le to exc eed t h e upper bou nd on TPR R for any sh ort est-p ath RDP s f or every value of p . Autho r Figure 8 – ATR RDP ana lysis 4.3 Nu meri cal s i mula tio ns In this sub-sec tion we assess the effe ctivene ss of the p rop osed framework by means of a wid ely us ed rou ting p erf orman ce m etr ic, th e pa cke t d eliv ery ra tio ( PD R). Clear ly, the PD R i s an overa ll m etr ic, which m easur es the perfor man ce of the whole ro uting pro cess, wh er eas th e TPR R me asure s the on ly RDP p erfo rmance s. The PD R me asur es the p ro babi lity tha t a pa cke t is r ece ived by t he dest ination , wh ile TPRR estima tes t he pro babil ity tha t at least on e rou te exists towar d the d es tina tion. I t i s eviden t that th ere exists d epend en ce be tween th e two metr ics. If ther e is n o rou te to w ard the d est ination th e PD R h as to b e z ero, and if a ll p ack ets are co rrec tly re ceived than there exists a t l east a re liable ro u te toward the d estina tion . C lea rly, th e av ailab ility o f go od paths, i.e . high r eliab ility , does n ot imp ly th at th e p ack et f orward ing a lgori thm w ill b e able to u se the m effi cient ly. Th erefore , we hav e rep ort ed on the sam e figu re b oth the TPRR and the P D R, jus t to ver ify the effec tiveness of the pr o po sed fram ewor k. More spec ifica lly, to evalua te th e PDR, we have mod ified both t he physic al and the link layer of ns-2. R egard ing the f ormer , we h ave intro d uced a un ifor m link- failur e pro bability p fo r the d at a pa ckets; c learly, thi s mod ifi catio n does n ot affec t the r ou ting and MA C packe ts, pr eserv ing so the RDP beh av iour. Re gard ing the latt er, we have disab led the MAC retran sm ission f or the data packe ts. Th e du ration o f simulat ion is se t to 150 0 secon ds. The da ta traff ic is mo de lled as a CBR f low o ver UD P pro tocol w ith a packe t ra te of 1 p ack et/s. Th e s tar t-tim e is at 5 00s end t he d ata tr affi c s tops at the en d o f the simu lat ion. The n od e num ber is 1 6 and the stat ic ne twork topo logies are the s ame o f Section 4 .2. To gen erat e the mo b ile ne twor k top ologi es, w e have adop ted, as mo bili ty mod el, the Ran do m W ay -Po int to s imu late a m odera t e m o bility: th e sp eed valu es are unifo rmly taken in the [0 .5m /s; 5m /s] r ange and th e paus e on es in [0 s, 10 0s] . We hav e perfo rm ed 1 00 tr ials for each pr otocol and fo r each v alue of p . Th e followin g f igu res rep ort the aver ag e TP RR, t he shortes t-pa th up per b oun d o n TP RR and the aver ag e PDR fo r both s tat ic and mob ile topo logi es, as well as th e var iances . Title In Fig. 9 w e sh ow the resu lts fo r AOD V. The PDR m easu red o n static top olog ies agrees v ery well wi th the TPRR . Su ch a beh av iour c an b e ju stif ied b y recogn izing that, in this case , the RDP is the one relevan t in the ov era ll pack et delivery pro cess. In case of mob ile topolog ies , t h e behav iour is l ess mark ed . When a packe t does not r each the destin ation, the sen der star ts a n ew ro ute d iscov ery . I f the to p ology is st atic , th e new and the prev ious r out es w ill b e th e same , givin g ris e po or perfo rmance s, wh er eas, th e RD P can g et the advant age b y n od e mobi lity, sin ce in such a c ase b e tter ro ute s c an b e discover ed and us ed fo r long time inter vals. The r esu lts o f Fig . 1 0, w hich ref ers t o D A RT, co nfirm th e c on sidera tions con cer ning Fig. 9 . Figure 9 – AO DV PDR analysis Figure 10 – DART PDR analys is Autho r Fig. 11 refers to AT R; in th is case, the PD R measured on stati c top olog ies does no t perfec tly agree with the TPR R, ev en if the t wo m etr ics pr esent t h e s am e tr end. We assum e tha t th e A TR p ack et for ward ing p roce ss , wh ich is liable for choo sing o ne o f the availab le p aths , does n ot pi ck every tim e the be st rou te, s ince i t us es only lo cal infor mation for the s elec tion pr oc ess. Th e beh avio ur o f the PDR in presen ce of mob ility conf irms the cons idera t ions con cern ing Fig. 9. Figure 11 – ATR PD R analysis 5 Concl usi on a nd futu re wo rk In t his paper , we pr opo se an an alyt ical fram ewo rk to evalu ate th e tol erance of multi- path rou te dis covery proce sses agains t route failure s, b ased on graph theory and on termina l p air ro uting re liabi lity (TPR R) as perfo rm ance mea s ure. More sp ec ifi cally, it has been carr ied o ut a reliab ili ty analys is of both shor test-path an d mu lti-pa th ro uting pro tocols. R esor ting to nu m erica l simul ation s bas ed o n a wid ely ad opted r out ing perfo rmance metri c, nam ely t he pack et de liv ery r atio, the p erf orman ce r esults h ave be en validat ed. The simula tion resu lts show the ef fect iven ess of TPR R a s perfor manc e measu re. Ackno wl edg me nt This wo rk is par tially sup por ted by I talian Na tion al p roje ct “Wir eless 8 O2 .16 Mu lti- antenn a mE sh Networ ks (W O MEN) ” un der g rant n umber 2 00 50 932 48 and by “Accesso Intellig ent e all’I nfo rmaz ione in tegr ata dei BEn i Cultur ali in ambi to Region ale ”(AIB ER) . Title Refer en ces [1] E.M. Ro yer, and Chai-Keo ng Toh , "A review of current rou ti ng protoco ls for ad h oc mo bile wireles s network s", IEE E P erson al Comm unic ations, vol. 6 , n. 2 , p p. 46-55 , 199 9. [2] R on B anner, and A riel Orda , “Mu ltip ath ro uting Alg orith ms for Co ngestion Mini mi zation”, IEEE/AC M T rans. On Netwo rking , vo l. 15, n . 2, pp. 413 -424 , 2007. [3] A. Nap isuri, R. C astaneda , a nd S.R. D as , “Pe rforman ce of Mu ltipath Ro uting f or On -Dem and Protocol s in Mo bile Ad Ho c N etwork s”, Mob ile Networks and Ap plication s, v ol. 6 , n . 4, pp . 339 -349 , 200 1. [4] D. J ohn son, and D. M altz, “Dynamic S our ce Ro uting in Ad H oc N etwo rks”, Mobile Comp uting , , pp. 153-1 81, 19 96 . [5] C. P erkin s, and E.M. R oy er, “Ad-Ho c On Deman d D istance V e ctor Rou ting” , in P roc. of IEE E Worksho p Mob ile Comp ut ing S ystems and App licat ion, pp . 90-10 0, 199 9. [6] S. J. L ee, and M . Ge rla, “AODV -BR: B acku p R outing in Ad Hoc W irele ss Ne tworks ”, in Pro c. of IEEE Wire less Co mm. and N etwork ing Co nf., pp . 131 1- 131 6, 20 00. [7] S.J. Lee, and M. G erla, “Split M u ltipath Ro uting w ith Max imal ly Disjoint P aths in Ad Hoc Network s”, in Proc. of ICC , 200 1. [8] W . Xu, P. Y an, a nd D. Xi a, "Simila r n ode-di sjoin t mu lti-p aths rout ing in wir eless ad ho c networks ", in P ro c. of In te rnation al Con feren ce o n Wi reles s Co mmun ications , N etwo rking and Mob ile Comp uting , vo l. 2, pp . 731 -734 , 2005 . [9] Son g G uo , Oliver Yang , and Y ant ai S hu, “Impro ving s ou rce Rou ting Rel iability in Mo bi le ad Hoc Netwo rks”, IEE E Tran saction on P arallel and Distribu ited Syst ems, v ol. 1 8, n . 4 , pp . 3 62- 373 , 200 5. [10] A. Arg yrio u, and V. M adise tti, "U sing a new p rotoco l to enh anc e p ath r eliabil ity a nd r ealiz e load ba lancing in mo bile ad hoc n etwork s", Ad Ho c Network s, vol . 4 , n. 1, pp. 60-74 , 200 6. [11] W.K. L ai, S. Y. Hsiao, and Y.C. Lin, "Ad aptiv e backup rou ting for ad-ho c network s", Comp uter Commu ni cation s, vol . 30, n. 2, pp. 45 3-46 4, 200 7. [12] P. Ph am, and S. P erreau, “Perfo rman ce An alysis o f Re activ e S hort est P ath and Mult i-path Rou ting Mechan ism With Lo ad B alanc e”, in Pro c. o f IEE E INFOC OM , pp. 251 -259 , 2003 . [13] A . Agarv al, an d B . Jain, “Ro ut ing reliability analy sis of s egm ented b acku p p aths in mo bil e ad hoc netwo rks ”, in Pro c. o f IEEE ICPWC , pp. 52 -55, 200 5. [14] L. Wei, “Con nect ivity Reli ability of Larg e S cale Rand om Ad Hoc Networks ”, in Pro c. of IEEE MILC O M, 2003 . [15] A .M. A bb as, and B. Jain, “An An alyti cal F ramewo rk for P ath R eliabili ties in Mo bile A d H oc Network s”, in Proc. of IEEE ISCC , 2003 . [16] H.M .F. Ab oE lFotoh , S .S. Iy engar, and K . Ch akrab arty, “Compu ting Rel iability a nd Mess age Delay for Co operativ e Wirele ss Di stribut ed Senso r N etwork s S ubject to Rand om F ailures”, IEEE Tr ans. On R eliability , vol. 54, issu e 1, p p. 145 -155 , 200 5. [17] A. Shrestha, L. Xing, and H. Liu, “I nfra structu re Commu nication Reliabili ty of Wireless Sensor N etwo rks”, in P ro c. of IEE E DAS C, 2 006 . [18] A. Tsirigo s, and Z.J. H aas, “Mul tipath Rou ting in the Pr esen ce o f Frequent Top olog ical Chang es”, IEEE Commu ni cations Mag azine, pp . 132-1 38, 20 01 . [19] A . T sirigos , and Z.J. Haa s, “An alys is o f Mu ltip ath Ro uting – P art I : Th e E ffect o n th e Packe t Delivery Ratio” , IEE E Tr ans. On W irel ess Co mm., v ol. 3 , n. 1, 20 04 . [20] A . T sirigos , and Z. J. Haa s “An aly sis of Mu ltipath Rou ting – Part II: Mitiga tion of the E ff ects of F requen tly Ch anging Ne twork Top olog ies”, IEE E T rans . On W i reless Com m ., vol . 3 , n. 2 , 200 4. [21] M. C al effi, G . F erraiuo lo, and L . Paur a. “On reliab ility of d yn amic addr essing rout ing protocol s in m obi le ad ho c n etwo rks”. in P roc. o f WR ECO M ’07: W ireles s R ur al and Emerg ency Com muni cation s Con feren ce, Rom e, Italy , 200 7. Autho r [22] M.O. Ba ll, “Comp lexity of n etwork s r eliabili ty comp utation s”, N etwo rks, v ol. 10, pp . 153 - 165 , 198 0. [23] F. B ai, N. Sad ago pan, B. Kr ishn amacha ri, and A . H elmy, “Mo deling path d uration distribution s in MA NET s and the ir imp act on reactiv e rou ting p roto cols”, In IEE E Journ al o n Selected A r eas in Co mmun ication , vol. 22, n. 7 , pp. 13 57 -137 2, 200 4. [24] Hun g-Yau L in, S y-Y en Kuo , and Fu-Min Y eh, “M inim al cu tset enu mer ation and network reliabil ity e v aluation by r ecursiv e m erg e and BDD”, in Proc. o f 8 th I EEE Symp. Comp uters and Co mmun ication s (ISCC’0 3), pp . 134 1-13 46, 20 03 . [25] P. Gu pta, and P . R. Ku mar, “The C apaci ty o f Wi reles s N etwork s”, IEE E Tr ansa ctions o n Inform ation T heory, vo l. 46 , n. 2, pp . 3 88– 40 4, 200 0. [26] T. C lau sen, and P . J acquet, “Opt imiz ed Link St ate R outing Protocol (OLSR )”, R FC 3 626 , IETF Ne twork Wo rk ing Grou p, 20 03. [27] J. Eriks son, M. F alou tsos, a nd S.V. K rish namur thy, “DART: Dynamic A ddr ess RouT ing for Scalabl e Ad Ho c and Mesh Net wo rks ”, IEEE /AC M T ransact ions on Networking, vol .15 , issue 1, p p. 119 -132 , 200 7. [28] M. C alef fi, G. Fe rraiu olo, and L. P au ra, “Aug m ented T re e-based Ro uting pro tocol for s cal able ad ho c netwo rks”, in Pro c. of MHW MN ’0 7: 3th IE EE Inte rnation al Worksh op o n Heterogen eou s Mult i-hop Wi rel ess and Mobil e Ne tworks , Pisa, Italy , 2007 . [29] C . Perk ins, and E. Roy er, “Ad h oc o n d emand d istan ce v ecto r routing” , in P roc. of 2n d IE EE Worksho p on Mobil e Compu ting Sy stem and App lications , pp. 90 -1 00, 20 01 . [30] M. M arina, and S . D as, "On -Demand Mul ti P ath D istan ce V ecto r Rou ting in Ad Ho c Network s", in P roc. o f ICNP '01: 9th Int ernat ional Confe rence o n N etwork P rotoco ls, 20 01 . [31] Th e VINT Pro ject, the n s Manu al (form erly n s No tes an d do cument ation), http://ww w.is i.edu /nsnam/n s/do c. [32] C. Bettstett er, “On the minimum n ode degre e and conn ectivity o f a wirel ess multiho p network ”, in Proc . of AC M In ternation al Sym posium on Mobi le Ad Hoc Netwo rking & Comp uting , pp.80 –91 , 200 2.

Original Paper

Loading high-quality paper...

Comments & Academic Discussion

Loading comments...

Leave a Comment