LSTM-MSNet: Leveraging Forecasts on Sets of Related Time Series with Multiple Seasonal Patterns

Generating forecasts for time series with multiple seasonal cycles is an important use-case for many industries nowadays. Accounting for the multi-seasonal patterns becomes necessary to generate more accurate and meaningful forecasts in these context…

Authors: Kasun B, ara, Christoph Bergmeir

LSTM-MSNet: Leveraging Forecasts on Sets of Related Time Series with   Multiple Seasonal Patterns
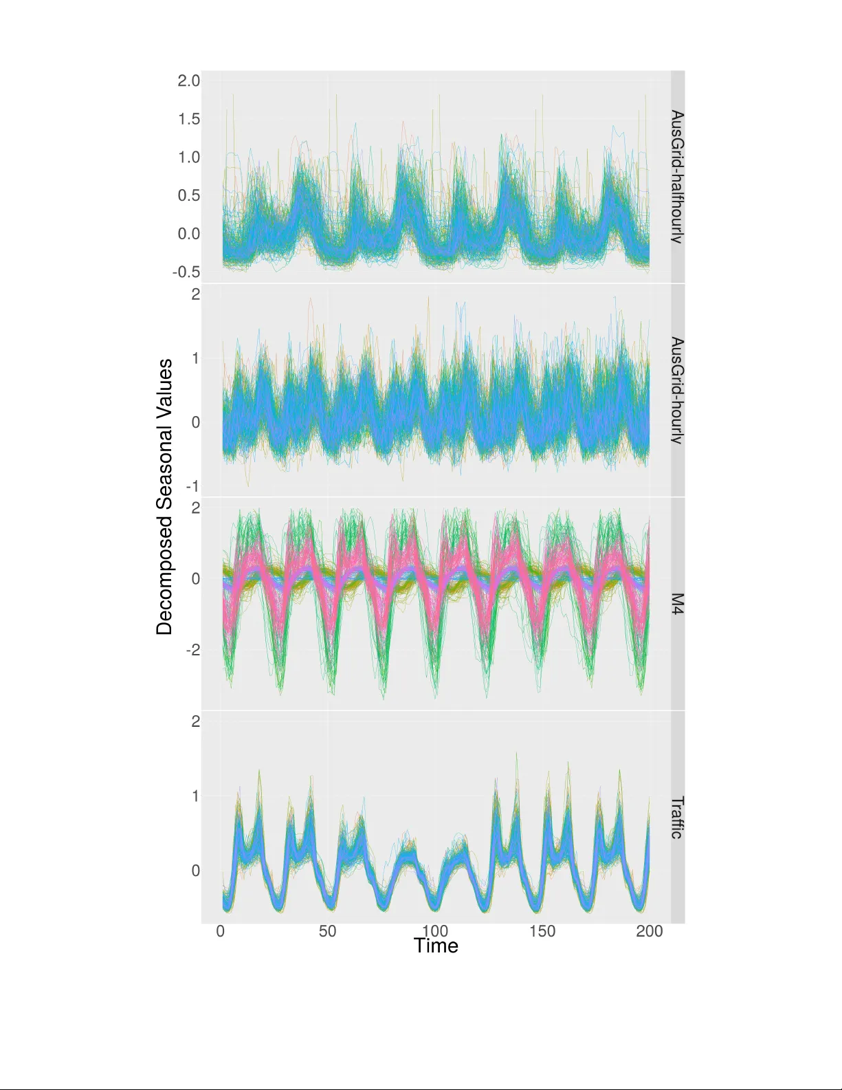
LSTM-MSNet: Le v eraging Forecasts on Sets of Related T ime Series with Multiple Seasonal P atterns Kasun Bandara, Christoph Bergmeir , Hansika He wamalage Faculty of Information T echnology Monash University , Melbourne, Australia. herath.bandara@monash.edu, christoph.bergmeir@monash.edu, hansika.hewamalage@monash.edu ©2020 IEEE. Personal use of this material is permitted. Permission from IEEE must be obtained for all other uses, in any current or future media, including reprinting/republishing this material for advertising or promotional purposes, creating new collecti ve works, for resale or redistribution to servers or lists, or reuse of any copyrighted component of this work in other works. Published in: IEEE Transactions on Neural Networks and Learning Systems; DOI: 10.1109/TNNLS.2020.2985720 Abstract —Generating for ecasts for time series with multiple seasonal cycles is an important use-case for many industries nowadays. Accounting f or the multi-seasonal patterns becomes necessary to generate more accurate and meaningful for ecasts in these contexts. In this paper , we propose Long Short-T erm Memory Multi-Seasonal Net (LSTM-MSNet), a decomposition- based, unified prediction framework to for ecast time series with multiple seasonal patterns. The current state of the art in this space are typically univ ariate methods, in which the model parameters of each time series are estimated independently . Consequently , these models are unable to include key patterns and structures that may be shared by a collection of time series. In contrast, LSTM-MSNet is a globally trained Long Short-T erm Memory network (LSTM), where a single prediction model is built across all the a vailable time series to exploit the cross- series knowledge in a group of related time series. Furthermore, our methodology combines a series of state-of-the-art multi- seasonal decomposition techniques to supplement the LSTM learning procedure. In our experiments, we are able to show that on datasets from disparate data sources, like e.g. the popular M4 for ecasting competition, a decomposition step is beneficial, whereas in the common r eal-world situation of homogeneous series from a single application, exogenous seasonal variables or no seasonal preprocessing at all are better choices. All options are r eadily included in the framework and allow us to achieve competitive results for both cases, outperforming many state-of- the-art multi-seasonal for ecasting methods. Index T erms —Time Series For ecasting, Multiple Seasonality , Neural Networks, RNN, LSTM I . I N T R O D U C T I O N T ime series forecasting has become a key-enabler of mod- ern day business planning by landscaping the short-term, medium-term and long-term goals in an organisation. As such, generating accurate and reliable forecasts is becoming a perpetual endeavour for many organisations, leading to significant savings and cost reductions. The complex nature of the properties present in a time series, such as seasonality , trend, and lev el, may bring numerous challenges to produce accurate forecasts. In terms of seasonality , a time series may exhibit complex behaviour such as multiple seasonal patterns, non-integer seasonality , calendar effects, etc. As sensors and data storage capabilities advance, time series with higher sampling rates (sub-hourly , hourly , daily) are becoming more common in many industries, e.g. in the utility demand industry (electricity and water usage). Fig. 1 illustrates an example of half-hourly energy consumption of an Australian household that exhibits both daily (period = 48) and weekly (period = 336) seasonal patterns. A longer version of this time series may ev en exhibit a yearly seasonality (period = 17532), representing seasonal effects such as summer and winter . Particularly in the energy industry , accurate short-term and long-term load forecasting may lead to better demand planning and ef ficient resource management. In addition to the utility demand industry , the demand variations in the transportation, tourist, and healthcare industries can also be largely influenced by multiple seasonal c ycles. 0 1 2 3 Sun Mon T ue Wed Thu Fri Sat Sun Mon T ue Wed Thu Fri Sat Sun Day of the W eek Energy Consumption (kWh) Fig. 1. Half-hourly energy consumption of a household over a two weeks period of time, extracted from the AusGrid-Energy Dataset [1], displaying the inter-day (daily) and intra-day (weekly) seasonal patterns. The current methods to handle multiple seasonal patterns are mostly statistical forecasting techniques [2], [3] that are univ ariate. Thus, they treat each time series as an independent sequence of observations, and forecast it in isolation. The univ ariate time series forecasting is not able to exploit any cross series information av ailable in a set of time series that may be correlated and share a lar ge amount of common fea- tures. This is a common characteristic observed in the realm of “Big Data, ” where often large collections of related time series are av ailable. Examples for these are sales demand of related product assortments in retail, server performance measures in computer centres, household smart meter data, etc. This can be applied to the time series sho wn in Fig. 2, in which these energy consumption patterns of v arious households can be similar and may share key properties in common. As a result, efforts to build global models across multiple related time series is becoming increasingly popular , and these methods hav e achie ved state-of-the-art performance in recent studies [4]–[9]. The recent success is mainly around Recurrent Neural Networks (RNN) and Long Short-T erm Memory Networks (LSTM) that are naturally suited in modelling sequence data. HS1 HS2 HS3 0 1 2 3 0 1 2 3 0 1 2 3 Energy Consumption (kWh) Fig. 2. Half-hourly energy consumption fluctuations of three different households in Australia [1] over a time period of one week. Although sev eral unified models ha ve been proposed to learn better under these circumstances, ho w to handle multiple- seasonal patterns in a set of time series has not yet been thoroughly studied. Moreover , the competitiveness of such global models highly rely on the characteristics of the time series. T o this end, in this paper , we propose LSTM-MSNet, a novel forecasting framew ork using LSTMs that effecti vely accounts for the multiple seasonal periods present in a time series. Follo wing the recent success, our model borrows the strength across a set of related time series to improv e the fore- cast accuracy . This enables our model to untap the common seasonality structures and behaviours available in a collection of time series. As a part of the LSTM-MSNet architecture, we introduce a host of decomposition techniques to supplement the LSTM learning procedure, following the recommendations of [7], [10]–[12]. Nev ertheless, competitiveness of such global models can be affected by the homogeneous characteristics present in the collection of time series [7]. Therefore, LSTM- MSNet introduces two training paradigms to accommodate both homogeneous and inhomogeneous groups of time series. Our model is ev aluated using sev eral time series databases, including a competition dataset and real-world datasets, which contain multiple seasonal patterns, exhibiting different lev- els of seasonal homogeneity . The source code relev ant to LSTM-MSNet framework is available at https:// github .com/ kasungayan/ LSTMMSNet The rest of the paper is organised as follows. In Section II, we discuss the dev elopments of statistical approaches and neural networks in the multi-seasonal time series forecasting field. Next in Section III, we explore the proposed LSTM- MSNet forecasting framew ork in detail, and outline the key learning paradigms employed in our architecture. Our experi- mental setup is presented in Section IV, where we demonstrate the results obtained by applying LSTM-MSNet to a variety of time series datasets with multiple-seasonal c ycles. Finally , Section V concludes the paper . I I . B AC K G RO U N D A N D R E L AT E D W O R K The traditional approaches to model time series with sea- sonal c ycles are mostly state-of-the-art univ ariate statistical forecasting methods such as exponential smoothing methods [13] and autoregressi ve integrated moving-a verage (ARIMA) models [3]. The basic forms of these algorithms are only suited in modelling a single seasonality , and unable to account for multiple seasonal patterns. Nonetheless, ov er the past decade, numerous studies have been conducted to extend the traditional statistical forecasting models to accommodate multiple seasonal patterns [14]–[18]. An early study dev eloped by Harvey et al. [14] introduces a model to suit time series with tw o seasonal periods. Later, T aylor [15] adapts the simple Holt-W inters method to capture seasonalities by introducing multiple seasonal components to the linear v ersion of the model. Gould et al. [16] propose an in- nov ation state space approach to model multiple seasonalities, in which various forms of seasonal patterns can be incorpo- rated, i.e., additi ve seasonality and multiplicati ve seasonality . Later , T aylor and Snyder [17] overcome the limitations of Gould et al. [16] by introducing a parsimonious version of the seasonal exponential smoothing approach. Howe ver , the majority of these techniques suf fer from o ver-parameterisation, optimisation problems, and are also unable to model complex seasonal patterns in a time series. For more detailed discus- sions of these weaknesses, we refer to De Li vera et al. [18]. A more flexible and parsimonious version of an innovation state space modelling framework was dev eloped by De Liv era et al. [18], aiming to address v arious challenges associated with seasonal time series, such as modelling multiple seasonal periods, non-integer seasonality , and calendar effects. T oday , these proposed seasonal models, i.e., B A TS and TB A TS, are considered state-of-the-art statistical techniques to model time series with multiple seasonal patterns. T ime series decomposition is another popular strategy to handle time series with complex seasonal patterns [2], [19]. Here, the time series is decomposed into a trend, seasonal, and residual component. Each component is modelled separately , so that the model complexity is less than forecasting the original time series as a whole. For example, this approach is applied by Nowicka-Zagrajek and W eron [19], where those authors initially decompose time series using a mo ving av erage technique. The seasonally adjusted time series is then modelled separately using an ARMA process. Moreover , Lee and Ko [2] use a lifting scheme, a dif ferent decomposition technique, to separate the original time series at different load frequency lev els. Afterwards, individual ARIMA models are built to forecast each decomposed sub series separately . In parallel to these dev elopments, neural networks (NNs) hav e been advocated as a strong alternati ve to traditional statistical forecasting methods in forecasting seasonal time series. The fav ourable properties towards forecasting, such as univ ersal function approximation [20], [21], in theory position NNs as a competiti ve machine learning approach to model underlying seasonality in a time series. Though early studies postulate the suitability of NNs in modelling seasonal patterns [22], [23], more recent studies advise that deseasonalising the time series prior to modelling is useful to achieve better forecasting accuracy from NNs [10]–[12], [24], [25]. Here, deseasonalisation refers to the process of removing the sea- sonal component from a time series. More specifically , Nelson et al. [10] and Ben T aieb et al. [12] empirically sho w the accuracy gains by including a deseasonalisation process with NNs. Furthermore, Zhang and Qi [11] highlight that NNs are unable to model trend or seasonality directly , thus detrending or deseasonalisation is necessary to produce accurate forecasts with NNs. Meanwhile, Dudek [26] de velops a local learning based approach to deal with multiple seasonal cycles. Though this obviates the need of time series decomposition, the local learning procedure that matches similar seasonal patterns in a time series tends to weaken the global generalisability of the model. More recently , deep neural networks have drawn significant attention among forecasting practitioners. In particular , RNNs and con volutional neural networks (CNN) ha ve exhibited promising results, outperforming many state-of-the-art statis- tical forecasting methods [4]–[8], [27], [28]. Nev ertheless, in spite of the substantial literature av ailable on deep learning in time series forecasting, only few attempts have been un- dertaken to explicitly handle multiple seasonal patterns in a time series [8], [29]. Lai et al. in [8] introduce a combination of CNN and RNN architectures to model short and long term dependencies in a time series, and employ a skipped connection architecture to model different seasonal periods. Bianchi et al. [29] implement a seasonal differencing strategy to select the most significant seasonal pattern, i.e., single seasonality present in a time series to forecast the short-term energy load. In order to capture temporal dependencies across both short and long term periods, Fernando et al. [27] develop a recursive memory network architecture that jointly models both long term and short term relationships. Here, the proposed hierarchical memory structure attempts to jointly model both long term and short term relationships in sequence-to-sequence mapping problems. Moreover , the winning submission of the recently concluded M4 forecasting competition [30], Exponen- tial Smoothing-Recurrent Neural Network (ES-RNN), uses a hybrid approach to forecast the hourly time series category with tw o seasonalities. Howe ver , the original implementation of ES-RNN restricts the number of seasonalities to two, and also due to the limitations of the underlying models (Holt- W inters) that operate in this approach, the ES-RNN is not suitable to handle long term seasonalities in a time series (e.g., yearly seasonality in an hourly time series) [31]. I I I . L S T M - M S N E T F R A M E W O R K In this section, we first formally define the problem of forecasting with multiple seasonal patterns, and then discuss the components of the proposed LSTM-MSNet architecture. A. Pr oblem Statement Let i ∈ { 1 , 2 , ..., n } be the i th time series from n time series in our database. The past observations of the time series i are giv en by X i = { x 1 , x 2 , ..., x K } ∈ R K i , where K i represents the length of the time series i . W e introduce the seasonality periods of time series i as S i = { s 1 , s 2 , ..., s P } ∈ R P , where P is the highest seasonal period present in the time series i . The primary objective of this study is to dev elop a global prediction model f , which uses pre vious observations of all the time series, i.e., X = { X 1 , X 2 , ..., X n } to forecast M number of future data points i , i.e., X M i = { x t , x t +1 , ..., x t + M } , while accounting for all the av ailable seasonal periods S = { S 1 , S 2 , ..., S P } ∈ R n × P present in the time series. Here, M is the intended forecasting horizon of time series i . The model f can be defined as follo ws: X M i = f ( X, S, θ ) (1) Here, θ are the model parameters of our LSTM-MSNet prediction model. LSTM-MSNet is a forecasting framework designed to fore- cast time series with multiple seasonal patterns. The architec- ture of LSTM-MSNet is a fusion of statistical decomposition techniques and recurrent neural networks. The LSTM-MSNet has three layers, namely: 1) the pre-processing layer, which consists of a normalisation and variance stabilising phase, and a seasonal decomposition phase, 2) the recurrent layer, which consists of an LSTM based stacking architecture to train the network, and 3) a post-processing layer to denormalise and reseasonalise the time series to derive the final forecasts. The proposed framework can be used with any RNN variant such as LSTMs, Gated Recurrent Units (GR Us), and others. In this paper , we select LSTMs, a promising RNN v ariant, as our primary network training module. In the following sections, we discuss each layer of the LSTM-MSNet in detail. B. Normalisation and V ariance Stabilisation Layer The proposed LSTM-MSNet is a global model that is built across a group of time series. Therefore, performing a data normalisation strategy becomes necessary as in a collection of time series, each time series may contain observations with dif ferent value ranges. Hence, we use the mean-scale transformation strategy , which uses the mean of a time series as the scaling factor . This scaling strategy can be defined as follows: x i,normal ised = x i 1 k P k t =1 x i,t (2) Here, x i,normal ised represents the normalised observation, and k represents the number of observ ations of time series i . After normalising the time series, we stabilise the v ariance in the group of time series by transforming each time series to a logarithmic scale. Apart from the variance stabilisation, the log transformation also enables the con version of the seasonality form in a giv en time series to an additiv e form. This is a necessary requirement for additiv e time series de- composition techniques employed in our decomposition layer . The transformation can be defined in the follo wing w ay: X i,log scaled = ( log( X i ) , min ( X ) > 0; log( X i + 1) , min ( X ) = 0; (3) Here, X denotes a time series, and X i,log scaled is the corresponding log transformed time series i . C. Seasonal Decomposition As highlighted in Section II, when modelling seasonal time series with NNs, man y studies suggest applying a prior seasonal adjustment, i.e., deseasonalisation to the time series [10]–[12]. The main intention of this approach is to minimise the comple xity of the original time series, and thereby re- ducing the subsequent ef fort of the NN’ s learning process. In line with these recommendations, LSTM-MSNet initially uses a deseasonalisation strategy to detach the multi-seasonal components from a time series. Here, seasonal components refer to the repeating patterns that exist in a time series and that may change slowly over time [32]. T o accommodate this, we use a series of statistical decomposition techniques that support separating multi-seasonal patterns in a time series. W e also configure these methods to extract v arious forms of sea- sonality , i.e., deterministic and stochastic seasonality to assess their sensitivity to wards the forecast accuracy . Next, we briefly describe the different types of decomposition techniques used in our study . An overvie w of the methods is giv en in T able I. 1) Multiple STL Decomposition (MSTL): MSTL extends the original version of Seasonal-T rend Decomposition (STL) [33], to allow for decomposition of a time series with multiple seasonal c ycles. The STL method additively decomposes a time series into trend, seasonal, and remainder components. In other words, the original series can be reconstructed by summing the decomposed parts of the time series. The additi ve decomposition can be formulated as follows: x t = ˆ S t + ˆ T t + ˆ R t (4) Here, x t represents the observation at time t , and ˆ S t , ˆ T t , ˆ R t refers to the seasonal, trend, and the remainder components of the observation, respectiv ely . In MSTL, the STL procedure is used iteratively to estimate the multiple seasonal components in a time series. So, the original version of Equation 4 can be extended to reflect the decomposition of MSTL as follo ws: x t = ˆ S 1 t + ˆ S 2 t + ... + ˆ S n t + ˆ T t + ˆ R t (5) Here, n denotes the number of distinct seasonal patterns decomposed by the MSTL. In our study , we use the R [34] implementation of the MSTL algorithm, mstl , from the forecast package [35], [36]. MSTL also supports control- ling the smoothness of the change of seasonal components extracted from the time series, i.e., configuring the s.window parameter . F or example, by adjusting the s.window param- eter to “periodic”, the MSTL decomposition limits the change in the seasonal components to zero. This enables us to separate the deterministic seasonality from a time series. In T able I, we give the two s.window parameter v alues used in our experiments. 2) Seasonal-T r end decomposition by Re gression (STR): STR is a regression based decomposition technique introduced by Dokumentov et al. [37]. The division is additiv e, hence the decomposition accords with Equation 5. In contrast to STL, STR is capable of incorporating multiple external regressors to the decomposition procedure, while allowing to account for external f actors that may influence the seasonal patterns in a time series. Ho wev er , to make our comparisons unbiased, we use STR in the default mode, without including any exogenous regressors. In R, the STR algorithm is available through the AutoSTR function from the stR package [32]. 3) T rigonometric, Box-Cox, ARMA, T rend, Seasonal (TBA TS): As highlighted in Section II, the TB A TS model was developed to handle complex seasonal patterns present in a time series [18]. This method is currently established as a state-of-the-art technique to forecast time series with multiple seasonal cycles. Particularly , the inclusion of trigonometric expression terms has enabled TB A TS to identify sophisticated seasonal terms in a time series (for details see Li vera et al. [18])). In our seasonal decomposition step, we use TBA TS as a deseasonalisation technique to extract the relev ant seasonal components of a time series. W e perform the seasonal extrac- tion after fitting the TB A TS model using the tbats function provided by the forecast package [35], [36] in R. 4) Pr ophet: Prophet is an automated forecasting framework dev eloped by T aylor and Letham [38]. The main aim of this framew ork is to address the challenges inv olved in forecasting at F acebook, the employer of those authors at that time. The challenges include the task of forecasting time series with multiple seasonal cycles. The underlying model of Prophet uses an additiv e decomposition layer similar to Equation 5. Howe ver , this division introduces an additional term to model holidays as seasonal cov ariates. After including the holiday terms, Equation 5 can be rewritten as follo ws: x t = ˆ S 1 t + ˆ S 2 t + ... + ˆ S n t + ˆ T t + ˆ R t + ˆ H t (6) Here, ˆ H t denotes the holiday covariates in the model that represent the effects of holidays. Like wise in TB A TS, we use Prophet in the Decomposition layer to obtain the multiple seasonal components present in a time series. W e achieve this by applying the Prophet algorithm av ailable through the prophet package in R [39]. 5) F ourier T ransformation: Fourier terms are a flexible approach to model periodic effects in a time series [40]. For example, let x t be an observation of time series X at time t . The seasonal terms rele vant to x t can be approximated by Fourier terms as follo ws: T ABLE I S U MM A RY O F T E C HN I Q UE S U SE D F O R M ULT I - S E A S ON AL D E C OM P O SI T I O N T echnique Package Deterministic Stochastic MSTL (s.window = “periodic”) forecast [35] X 7 MSTL (s.window = “7”) forecast [35] X X AutoSTR stR [32] X X TB A TS forecast [35] X X Prophet prophet [39] X X sin  2 π kt s 1  , cos  2 π kt s 1  , ..., sin  2 π kt s n  , cos  2 π kt s n  (7) Here, s n refers to the n th seasonal periodicity in the time series. Thereby , we can define an amount of n seasonal periodicities av ailable in a time series. The parameter k in Equation 7 is the number of sin , cos pairs used for the trans- formation process. This essentially controls the momentum of the seasonality , where a higher k allows to represent a seasonal pattern that changes more quickly , compared to a lower k . In our case, for each seasonal periodicity in the time series, a separate k must be introduced. W e generate these Fourier terms using the fourier function av ailable in the forecast package. In our experiments, we use a parameter grid, which ranges from k = 1 to k = s/ 2 , to determine the optimal k v alues in Fourier terms. Moreov er , we consider k = 1 (with least number of k ) as a special use case in Fourier terms and report separately as a variant of LSTM-MSNet. The overall summary of the aforementioned methods is shown in T able I. Here, the P acka ge column provides a reference to the software implementation used in our experi- ments. The table furthermore indicates the type of seasonalities extracted by each method. D. Recurr ent Layer The second layer , the Recurrent Layer , is the primary prediction module of LSTM-MSNet, equipped with LSTMs. RNNs, and in particular LSTMs, hav e been embraced by many fields that in volv e sequence modelling tasks, such as Natural Language Processing [41], speech recognition [42], image generation [43], and more recently hav e receiv ed a great amount of attention in time series research [5]–[7], [25], [44]. In the LSTM, the gating mechanism together with the self- contained memory cell enables the network to capture non- linear long-term temporal dependencies in a sequence. W e configure the input and forget gates of the LSTM network to include the previous state of the memory cell ( C t − 1 ). This configuration is also kno wn as “LSTM with peephole connections”, in which the hidden state ( h t ) at time t can be computed from the following equations: i t = σ ( W i · h t − 1 + U i · x t + P i · C t − 1 + b i ) (8) f t = σ ( W f · h t − 1 + U f · x t + P f · C t − 1 + b f ) (9) ˜ C t = tanh( W c · h t − 1 + U c · x t + b c ) (10) C t = f t  C t − 1 + i t  ˜ C t (11) o t = σ ( W o · h t − 1 + U o · x t + P o · C t + b o ) (12) h t = o t  φ ( C t ) (13) Here, W i , W f , W o , and W c represent the weight matrices of input gate, forget gate, output gate, and memory cell g ates respectiv ely , while x t is the input at time t . Also, U i , U f , U o , and U c denote the corresponding input weight matrices, and P i , P f , P o are the respectiv e peephole weight matrices. The biases of the g ates are represented by b i , b f , b o , and b c . ˜ C t refers to the candidate cell state, which is used to update the state of the original memory cell C t (see Equation 11). In these equations,  represents the element-wise multiplication operation, σ represents the logistic sigmoid acti vation function, and φ stands for the hyperbolic tangent function, i.e., tanh . Furthermore, we use tanh as our hidden update activ ation function in Equation 10. 1) Moving W indow T ransformation: As a preprocessing step, we transform the past observations of time series ( X i ) into multiple pairs of input and output frames using a Moving W indow (MW) strategy . Later , these frames are used as the primary training source of LSTM-MSNet. In summary , the MW strate gy con verts a time series X i of length K into ( K − n − m ) records, where each record has an amount of ( m + n ) observations. Here, m refers to the length of the output window , and n is the length of the input window . These frames are generated according to the Multi-Input Multi-Output (MIMO) principle used in multi-step forecasting, which directly predicts all the future observations up to the intended forecasting horizon X M i . T raining the NNs in this way has the advantage of av oiding the potential error accumulation at each forecasting step [6], [12], [45]. Therefore, we choose the size of the output window m equiv alent to the length of the intended forecast horizon M ( m = M , the list of M values used for the benchmark datasets are summarised in T able II, under column M ). Fig. 3 illustrates an example of applying the MW approach to the hourly time series T48 of the M4 dataset. T o train the LSTM-MSNet, we use ( K − m ) many observa- tions from time series X i and reserve the last output window for network validation and model hyper -parameter tuning. 2) T raining P aradigms: In this study , we propose to use the output of the decomposition layer in two dif ferent ways. These paradigms can be distinguished by the time series components used in the MW process, and later in the LSTM- MSNet training procedure. In the follo wing, we provide a short ov erview of these two paradigms shown in Fig. 4 . a) Deseasonalised Appr oach (DS): This approach uses seasonally adjusted time series as MW patches to train the LSTM-MSNet. Since the seasonal components are not in- cluded in DS for the training procedure, a reseasonalisation technique is later introduced in the Post-processing layer of LSTM-MSNet to ascertain the corresponding multiple sea- sonal components of the time series. b) Seasonal Exogenous Appr oach (SE): This second approach uses the output of the pre-processing layer , to- gether with the seasonal components extracted from the multi- Fig. 3. An example of applying the moving window approach to a prepro- cessed and seasonally adjusted time series X i , i.e., after the normalisation & variance stabilisation and decomposition layers. Here, { x 1 , x 2 , ..., x n } represents the input window , and { y 1 , y 2 , ..., y m } corresponds to the output window . seasonal decomposition as external variables. Here, in addition to the normalised time series (without the deseasonalisation phase), the seasonal components relev ant to the last observa- tion of the input windo w are used as exogenous v ariables in each input window . As the original components of the time series are used in the training phase of SE, the LSTM-MSNet is expected to forecast all the components of a time series, including the relev ant multi-seasonal patterns. Therefore, a reseasonalisation stage is not required by SE. In summary , DS supplements the LSTM-MSNet by ex- cluding the seasonal factors in the LSTM-MSNet training procedure. This essentially minimises the overall training complexity of the LSTM-MSNet. In contrast, SE supplements LSTM-MSNet in the form of exogenous v ariables that assist modelling the seasonal trajectories of a time series. The DS paradigm can be seen as a boosting ensemble technique [46], where the deseasonalisation process is a weak base learner that is subsequently supplemented by the LSTM, which is trained on the remainder of the base learner . Here, the complexity of the base learner , i.e., the different deseason- alisation techniques, can affect the subsequent LSTM training procedure and may lead to different results. Thereby , the suit- ability of the base learner as a good pre-processing technique is more important than its overall forecasting accuracy . This is a conclusion that can also be drawn from the poor performance of our submission to the M4 competition [47], where we used ETS [13] and TBA TS [18], which can be considered strong base learners, to fit the time series. Subsequently , an LSTM was trained on the residuals of those models. Therefore, in the DS approach, the equilibrium between the base learner and the LSTM determines the final performance of the models, so that it seems w orthwhile to test different such base learners. On the other hand, the SE paradigm can be seen as an encompassing version of the DS case, where as a special case the LSTM could “learn” to subtract the exogenous input from the time series. Howe ver , during the LSTM learning phase, the LSTM only sees a particular input window at a time. This input, depending on how long a seasonal period is and where in the period of seasonality the current input comes from, may look dramatically different. So, learning such seemingly simple relationships from a limited set of input data may be in fact a difficult task for the LSTM. Consequently , our work empirically examines the capacity of the LSTM to learn in different practical situations. 3) LSTM Learning Scheme: As highlighted earlier , we use the past observ ations of time series X i , in the form of input and output windo ws to train the LSTM-MSNet. In our w ork, we follo w the LSTM design guidelines recommended by Hew amalage et al. [25]. Fig. 5 illustrates the primary LSTM learning architecture of LSTM-MSNet. This consists of four components, namely: Training input windo w layer, LSTM stacking layer , Dense layer and T raining output window layer . Here, W t ∈ R n represents the input window at time step t . Also, the projected cell output of the LSTM at time step t is represented by ˆ Y t ∈ R m . Here m represents the size of the output window , which is identical to the forecasting horizon M . Moreover , the hidden and the cell states of the LSTM are denoted by h t and C t . Here, h t along with the C t cell state provides a notion of memory to our learning scheme, while accounting for the dependencies that are longer than a giv en training input window . W e use an affine neural layer (a fully connected layer; D t ), excluding the bias component to map each LSTM cell output h t to the dimension of the output window m . Before feeding these windo ws to the network for training, each input and output window is subjected to a local normal- isation process to a void possible network saturation ef fects caused by the bounds of the network activ ation functions [7]. In the DS approach, we use the trend component of the last value of the input window as a local normalisation factor , whereas in SE we use the mean value of each input window as the normalisation f actor . Afterwards, these f actors are subtracted from each data point in the corresponding input and output window . The above LSTM learning scheme is implemented using T ensorFlow [48]. 4) Loss Function: W e use the L1-norm, as the primary learning objectiv e function, which essentially minimises the absolute dif ferences between the target values and the esti- mated values. This has the advantage of being more robust to anomalies in the time series. The L1-loss is gi ven by: L 1 = X tε Ω T r ain    Y t − ˆ Y t    + ψ p X i =1 w 2 i | {z } L2 regularisation (14) Here, Y t ∈ R m refers to the actual observations of values in the output window at time step t . The cell output of the LSTM at time step t is defined by ˆ Y t . Also, Ω T rain is the set of time steps used for training. W e include an L2-regularisation term to minimise possible o verfitting of the network. In Equation 14, g De s e a s on a l is a ti o n g P re pro ce s s e d T i m e S e ri e s g LS TM -MS Ne t T ra i n i n g g Tre nd + R e s i d ua ls M o de l Ou tpu t g R e s e a s on a l i s a ti o n & R e no rma li s a ti o n g F i n a l F ore ca s ts (a) The proposed DS training paradigm used to train the LSTM-MSNet g De s e a s on a l is a ti o n g P re pro ce s s e d T i m e S e ri e s g LS TM -MS Ne t T ra i n i n g g S e a s o na l C om po n e nts (As R e g re s s o rs ) O ri g i n a l Ti m e S e ri e s M o de l Ou tpu t g R e no rma li s a ti o n g F i n a l F ore ca s ts (b) The proposed SE training paradigm used to train the LSTM-MSNet Fig. 4. An overvie w of the proposed LSTM-MSNet training paradigms. In the DS approach, deseasonalised time series are used to train the LSTM-MSNet. Here, a reseasonalisation phase is required as the target MW patches are seasonally adjusted. Whereas in the SE approach, the seasonal values extracted from the deseasonalisation phase are employed as exogenous variables, along with the original time series to train the LSTM-MSNet. Here a reseasonalisation phase is not required as the target MW patches contain the original distribution of the time series. Tra i n i n g I n p u t Wind o ws L S TM S ta c ki n g L a ye rs De ns e L a ye r Tra i n i n g Ou tpu t Wind o ws Fig. 5. The unrolled representation of a peephole connected LSTM in time, with the hidden state ( h t ) and memory cell ( C t ). In this architecture, h t expects to capture the short-term dependencies in a sequence, while C t accounts for the long-term dependencies. Here, the input window , dense layer, and projected LSTM output at time step t are denoted by W t , D t , and ˆ Y t respectiv ely . ψ is the regularisation parameter , w i refers to the network weights and p is the number of weights in the netw ork. E. P ost-pr ocessing Layer The reseasonalisation and renormalisation is the main com- ponent of the post processing layer in LSTM-MSNet. Here, in the reseasonalisation stage, the rele vant seasonal components of the time series are added to the forecasts generated by the LSTM. This is computed by repeating the last seasonal components of the time series to the intended forecast horizon. As outlined in Section III-D2, SE does not require this phase. Next, in the renormalisation phase, the generated forecasts are back-transformed to their original scale by adding back the corresponding local normalisation factor , and taking the exponent of the values. The final forecasts are obtained by multiplying this vector by the scaling factor used for the normalisation process. I V . E X P E R I M E N T S In this section, we e v aluate the proposed variants of the LSTM-MSNet framew ork on three time series dataset s. First, we describe the datasets, error metrics, hyper-parameter selec- tion method, and benchmarks used in our experimental setup. Then, we pro vide a detailed analysis of the results obtained. A. Datasets W e use three benchmark time series datasets which present multiple seasonal cycles. F ollowing is a brief ov ervie w of these datasets: • M4-Hourly Dataset [30]: Hourly dataset from the M4 forecasting competition. • AusGrid-Energy Dataset [1]: Half-hourly dataset, repre- senting energy consumption of 300 households in Aus- tralia. W e select general consumption (GC letter code in the dataset) as the primary measure of energy con- sumption in households. Firstly , we extract a subset of 3 months of half-hourly data (2012 July - 2012 October). Then, to ev aluate LSTM-MSNet on multiple seasonal patterns, we aggregate the original half-hourly time series to hourly time series and extend the extraction to 2 years T ABLE II DAT A S E T S T A T I ST I C S Data set N K T S M M4-Hourly Dataset 414 700 hourly (24, 168) 48 AusGrid-Energy Dataset (3 Months) 300 4704 half-hourly (48, 336) 96 AusGrid-Energy Dataset (2 Y ears) 300 17600 hourly (24, 168, 8766) 24 Traf fic 963 700 hourly (24, 168) 24 (2010 July - 2012 July), considering three seasonalities: daily , weekly , and yearly . • T raf fic Dataset [49]: A collection of hourly time series, representing the traffic occupancy rate of different car lanes of San Francisco bay area freeways. T able II summarises statistics of the datasets used in our experiments. Here, N denotes the number of time series, K denotes the length of each time series, T denotes the sampling rate of the time series, S represents the different seasonal cycles present in the time series, and M is the rele vant forecast horizon. Moreov er , we choose the size of the input window n equiv alent to M ∗ 1 . 25 , following the heuristic proposed in [7], [25]. W e plot the seasonal components of our benchmark datasets to in vestigate the diversity of their seasonal distributions. For simplicity , we use MSTL as the primary decomposition technique to extract the multiple seasonal components from a time series. From Fig. 6, it is evident that there exists a high variation of seasonality among the time series in the M4 dataset. This can be attributed to a less homogeneous nature of the time series and different start/end calendar dates. On the other hand, it is clear that the distribution of the seasonal components is similar among the time series in the AusGrid-Energy and T raffic datasets, which shows less variation compared to the M4 dataset, as the time series are homogeneous in the sense that they are all related to household energy consumption, and follow identical calendar dates. This seasonal div ersity present in our benchmark datasets enables us to assess the robustness of the LSTM-MSNet framework under dif ferent seasonality conditions, i.e., inhomogeneous and homogeneous seasonalities. B. Err or Metrics T o assess the accuracy of LSTM-MSNet against the bench- marks, we use two ev aluation metrics commonly found in the forecasting literature, namely the symmetric Mean Absolute Percentage Error (sMAPE) and the Mean Absolute Scaled Error (MASE) [50]. The sMAPE and MASE are defined as follows: sMAPE = 2 m m X t =1  | F t − Y t | | F t | + | Y t |  (15) MASE = 1 m P m t =1 | F t − Y t | 1 n − S P n t = S +1 | Y t − Y t − S | (16) Here, Y t represents the observation at time t , and F t is the generated forecast. Also, m denotes the number of data points in the test set and n is the number of observations in the training set of a time series. W e define S , as the frequency of the highest available seasonality in the giv en time series (e.g., S = 168, S = 336, S = 8766, and S = 168 for the M4- Hourly , AusGrid-Energy , and Traf fic datasets respectively). Furthermore, when calculating the sMAPE values for the energy datasets and the traffic dataset, to a void problems for zero forecasts and actual observations, we add a constant term of  = 1 to the denominator of Equation 15. T o provide a broader ov erview of the error distributions, we compute the mean and median of these primary error measures. This includes, mean of the sMAPEs (Mean sMAPE), median of the sMAPEs (Median sMAPE), mean of the MASEs (Mean MASE), and median MASEs (Median MASE). C. Statistical tests of the r esults W e use the non-parametric Friedman rank-sum test to assess the statistically significant differences within the compared forecasting methods. Also, Hochber g’ s post-hoc procedure is used to further examine these dif ferences [51] 1 . The sMAPE error measure is used to perform the statistical testing, with a significance level of α = 0.05. D. Hyper -parameter T uning and Optimisation The recurrent layer in LSTM-MSNet has various hyper - parameters. This includes LSTM cell dimension, number of epochs, hidden-layers, mini-batch-size and model regularisa- tion terms. In the optimisation framework, we use COntinuous COin Betting [52] as our primary learning algorithm to train the network, which does not require the tuning of learning rate. In this way , we minimise the overall amount of hyper - parameters to be tuned in the network. Furthermore, we automate the hyper -parameter selection process by employing a Bayesian global optimisation method- ology that autonomously discov ers the optimal set of param- eters of an unknown function. Compared to other parameter optimisation selection techniques, such as Random Search and Grid Search, the Bayesian optimisation strategy is considered as a more systematic and/or more efficient approach. This is because, when determining the current pool of potential hyper- parameters for validation, it tak es into account the pre viously visited hyper-parameter values in a non-trivial way [53]. In our experiments, we use the python implementation of the sequential model-based algorithm configuration (SMA C) [54] that implements a version of the Bayesian hyper-parameter optimisation process. T able III summarises the bounds of the hyper-parameter values used throughout the LSTM-MSNet learning process, represented by the respectiv e minimum and maximum values. E. Benchmarks and LSTM-MSNet variants W e compare our dev elopments against a collection of current state-of-the-art techniques in forecasting with multi- ple seasonal cycles. This includes Tbats [18], Pr ophet [38], 1 More information can be found on the thematic web site of SCI2S about Statistical Inference in Computational Intelligence and Data Mining http: // sci2s.ugr .es/ sicidm Fig. 6. The seasonal components’ distributions of the sum of multiple seasonalities extracted from the AusGrid-Energy (half hourly), AusGrid-Energy (hourly), M4 and the Traf fic datasets, by applying the MSTL decomposition technique to the initial 200 data points of each time series. T ABLE III R E CU R R E NT L A Y E R H Y P ER - PAR A M E TE R G R I D Model Parameter Minimum value Maximum value LSTM-cell-dimension 20 50 Mini-batch-size 20 80 Epoch-size 2 10 Maximum-epochs 10 40 Hidden Layers 1 2 Gaussian-noise-injection 10 − 4 8 · 10 − 4 L2-regularisation-weight 10 − 4 8 · 10 − 4 T ABLE IV S U MM A RY O F L S T M- M S N ET V A R I A NT S LSTM V ariant T raining Paradigm Decomposition T echnique LSTM-MSTL-DS DS MSTL ( s.window =periodic) LSTM-MSTL-7-DS DS MSTL ( s.window =7) LSTM-STR-DS DS STR LSTM-Prophet-DS DS Prophet LSTM-TB A TS-DS DS TBA TS LSTM-Prophet-DS DS Prophet LSTM-MSTL-SE SE MSTL ( s.window =periodic) LSTM-MSTL-7-SE SE MSTL ( s.window =7) LSTM-STR-SE SE STR LSTM-Prophet-SE SE Prophet LSTM-TB A TS-SE SE TB A TS LSTM-Prophet-SE SE Prophet LSTM-Fourier -SE SE Fourier Transformation LSTM-Fourier -SE ( k = 1 ) SE Fourier Transformation and FFORMA [55]. W e also use two variants of Dynamic- Harmonic-Re gression [35] as the benchmarks. In our experi- ments, Dynamic-Harmonic-Regression (T) represents the vari- ant that uses the tslm function from the forecast package, whereas the Dynamic-Harmonic-Regression (A) variant uses the auto.arima function from the forecast package. Based on the training paradigms defined in Section III-D2, we introduce variants of the LSTM-MSNet methodology for our comparativ e evaluation. These methods are summarised in T able IV, represented by the corresponding training paradigm and decomposition technique. Moreover , as the baseline, we use LSTM-MSNet, e xcluding the seasonal decomposition phase. In other words, we use original observations of the time series, without using DS or SE, to train the LSTM-MSNet. This is referred to as LSTM-Baseline in our experiments. F . Computational P erformance W e also report the computational costs in execution time of our proposed LSTM-MSNet variants and the benchmark mod- els on the aggregated hourly energy dataset. The experiments are run on an Intel(R) i7 processor (3.2 GHz), with 2 threads per core, 6 cores per socket, and 64GB of main memory (See T able XIV). G. RNN Ar chitectur e Comparison W e perform a set of preliminary experiments to assess the compatibility of our proposed framework with other RNN architectures. T o compare against the LSTM cell, we use popular RNN units, namely the Elman RNN (ERNN) cell [56] and the Gated Recurrent Unit (GR U) cell [57], which are commonly used for sequence modelling tasks. T able V shows the ev aluation summary of these RNN architectures on the benchmark datasets. In our experiments, we use the MSTL-DS and the Fourier-SE ( k = 1 ) variants of each RNN architecture to represent DS and SE training paradigms, respectively . For each dataset, the results of the best performing method(s) are marked in boldface. T ABLE V R N N A R C H IT E C T UR E C O M P A R IS O N M4 AusGrid-Energy (Half-hourly) AusGrid-Energy (Hourly) Traffic sMAPE sMAPE sMAPE sMAPE Method Mean Median Mean Median Mean Median Mean Median LSTM-MSTL-DS 0.1069 0.0652 0.1587 0.1498 0.3481 0.3415 0.0226 0.0188 GRU-MSTL-DS 0.1116 0.0723 0.1635 0.1558 0.3420 0.3371 0.0224 0.0188 ERNN-MSTL-DS 0.1109 0.0719 0.1633 0.1571 0.3421 0.3371 0.0221 0.0184 LSTM-Fourier-SE ( k = 1 ) 0.1387 0.0566 0.1525 0.1428 0.2590 0.2473 0.0151 0.0116 GRU-F ourier-SE ( k = 1 ) 0.1376 0.0582 0.1513 0.1379 0.2608 0.2513 0.0158 0.0121 ERNN-Fourier-SE ( k = 1 ) 0.1381 0.0583 0.1513 0.1392 0.2611 0.2532 0.0182 0.0141 W e observe that the overall p -value of the Friedman rank sum test for M4 dataset is 8 . 57 × 10 − 11 , which is highly significant. The LSTM-MSTL-DS method performs best and achiev es significantly better results than the other methods. The overall p -value for the AusGrid-Energy (Half-hourly) is 2 . 89 × 10 − 6 . Therefore, GR U-Fourier-SE ( k = 1 ) performs significantly better than the rest of the methods. Also, for the AusGrid-Energy (Hourly) dataset, the Friedman rank sum test giv es an overall p -value of 2 . 16 × 10 − 10 , and LSTM-Fourier- SE ( k = 1 ) is used as the control method, which performs best. Finally , the overall p -value for the Traf fic dataset is p < 10 − 10 . Therefore, the differences among the methods are significant. Also, according to T able V we see that the LSTM- Fourier -SE ( k = 1 ) achiev es significantly better results than the other methods. It is also evident that our framew ork can be employed with any other RNN architecture such as the ERNN cell and the GRU cell. Howe ver , according to T able V, overall we see that the LSTM cell based variants achiev e competitiv e results compared to the ERNN and GRU cells. Therefore, we use the LSTM cell as the primary RNN architecture in our experiments. H. Results T able VI summarises the e valuation results of all the LSTM- MSNet v ariants and benchmarks for the 414 hourly series of the M4 competition dataset, ordered by the first column, which is the Mean sMAPE. For each column, the results of the best performing method(s) are marked in boldface. According to T able VI, the proposed LSTM-MSTL-DS v ariant obtains the best Mean SMAPE, while FFORMA achieves the best Median SMAPE. W e see that regarding the mean MASE, Dynamic- Harmonic-Regression with the auto.arima variant performs better than the rest of the benchmarks, whereas FFORMA outperforms the proposed LSTM variants, in terms of the me- dian MASE. Also, on a verage, the LSTM-MSNet v ariants with the DS training paradigm achieve better accuracies compared to those of SE. Furthermore, the proposed LSTM-MSTL- DS variant consistently outperforms many state-of-the-art methods, such as TB A TS, Prophet, and Dynamic-Harmonic- Regression v ariants in terms of Mean sMAPE. It is also T ABLE VI M 4 DAT A S ET R E SU LT S Method Mean sMAPE Median sMAPE Mean MASE Median MASE LSTM-MSTL-DS 0.1069 0.0652 0.7131 0.6340 LSTM-STR-DS 0.1099 0.0734 0.7528 0.6554 LSTM-Prophet-DS 0.1131 0.0623 0.8032 0.6511 FFORMA 0.1151 0.0404 0.7131 0.4750 LSTM-MSTL-7-DS 0.1187 0.0795 0.7840 0.7092 LSTM-TBA TS-DS 0.1241 0.0589 0.8734 0.7036 Dynamic-Harmonic-Regression (A) 0.1253 0.0524 0.6937 0.5732 LSTM-MSTL-SE 0.1275 0.0518 0.9642 0.6986 LSTM-STR-SE 0.1285 0.0559 0.9308 0.6581 TBA TS 0.1309 0.0477 0.7781 0.5390 Prophet 0.1334 0.0689 0.9685 0.7415 LSTM-Fourier-SE 0.1345 0.0555 0.9541 0.6606 LSTM-TBA TS-SE 0.1368 0.0568 0.9675 0.6492 LSTM-MSTL-7-SE 0.1388 0.0631 0.9796 0.7334 LSTM-Prophet-SE 0.1393 0.0591 0.9737 0.6732 LSTM-Fourier-SE ( k = 1 ) 0.1387 0.0566 1.0176 0.6581 LSTM-Baseline 0.1427 0.0569 1.0675 0.7243 Dynamic-Harmonic-Regression (T) 0.1611 0.1456 0.7821 0.6439 T ABLE VII S I GN I FI C AN C E T E S TI N G F O R M 4 DAT A S ET Method p H och FFORMA - LSTM-MSTL-DS 8.74 × 10 − 6 LSTM-STR-DS 8.74 × 10 − 6 Dynamic-Harmonic-Regression (A) 7.07 × 10 − 7 TB A TS 2.75 × 10 − 8 LSTM-MSTL-7-DS 1.01 × 10 − 9 LSTM-Prophet-DS 3.32 × 10 − 13 LSTM-STR-SE 2.41 × 10 − 21 LSTM-TB A TS-SE 1.23 × 10 − 22 LSTM-TB A TS-DS 1.68 × 10 − 25 LSTM-Fourier -SE 2.80 × 10 − 30 LSTM-Fourier -SE ( k = 1 ) 1.75 × 10 − 35 LSTM-MSTL-SE 1.09 × 10 − 40 LSTM-Prophet-SE 1.53 × 10 − 51 Prophet 5.10 × 10 − 61 LSTM-MSTL-7-SE 6.38 × 10 − 65 Dynamic-Harmonic-Regression (T) 1.64 × 10 − 66 LSTM-Baseline 1.93 × 10 − 79 notew orthy to mention that all the proposed LSTM-MSNet variants outperform our baseline model, LSTM-Baseline, in terms of mean sMAPE and mean MASE. T able VII shows the results of the statistical testing ev alua- tion. Adjusted p -values calculated from the Friedman test with Hochberg’ s post-hoc procedure are presented. A horizontal line is used to separate the methods that perform significantly worse than the best performing method. The ov erall result of the Friedman rank sum test is a p -value of 2 . 91 × 10 − 10 , which is highly significant. The FFORMA method performs best and is used as the control method. Also, according to T able VII, we see that the FFORMA achiev es significantly better results than the other methods. T able VIII shows the ev aluation summary for the 300 half- hourly series of the AusGrid-Energy dataset. The NA values in the table represent models that could not complete the ex ecution within a time frame of 6 days. It can be seen that the proposed LSTM-MSTL-SE variant outperforms all the benchmarks in terms of the Mean sMAPE and Median sMAPE. Meanwhile, the proposed LSTM-Prophet-DS variant achiev es the best accuracy with respect to Mean MASE and Median MASE. Here, in the majority of the cases, the LSTM variants that use SE as the training paradigm obtain better fore- T ABLE VIII A U S G R I D - E N E R G Y ( H A L F - HO U R L Y ) D A TA S ET R E SU LT S Method Mean sMAPE Median sMAPE Mean MASE Median MASE LSTM-MSTL-SE 0.1475 0.1369 0.7461 0.5900 LSTM-Prophet-DS 0.1478 0.1397 0.7350 0.5809 LSTM-TBA TS-SE 0.1479 0.1374 0.7471 0.5984 LSTM-Prophet-SE 0.1511 0.1397 0.7589 0.6071 LSTM-MSTL-7-SE 0.1523 0.1422 0.7651 0.6115 LSTM-Fourier-SE ( k = 1 ) 0.1525 0.1428 0.7694 0.6052 LSTM-Fourier-SE 0.1527 0.1414 0.7676 0.6130 LSTM-Baseline 0.1561 0.1430 0.7838 0.6263 LSTM-MSTL-DS 0.1587 0.1498 0.7729 0.6458 TBA TS 0.1597 0.1467 0.8221 0.6506 LSTM-MSTL-7-DS 0.1620 0.1538 0.7932 0.6599 FFORMA 0.1808 0.1708 0.9615 0.6953 Prophet 0.1848 0.1766 0.8935 0.7346 Dynamic-Harmonic-Regression (A) 0.1919 0.1808 0.9138 0.7599 Dynamic-Harmonic-Regression (T) 0.2059 0.1847 0.9773 0.8567 LSTM-TBA TS-DS 0.3092 0.3014 1.3011 1.0601 LSTM-STR-DS NA NA NA NA LSTM-STR-SE NA NA NA NA T ABLE IX S I GN I FI C AN C E T E S TI N G F O R A U S G R I D - E N E R G Y ( H A L F - HO U R L Y ) DAT A S E T Method p H och LSTM-MSTL-SE - LSTM-TB A TS-SE 0.600 LSTM-Prophet-DS 0.233 LSTM-Prophet-SE 8.89 × 10 − 4 LSTM-MSTL-7-SE 7.62 × 10 − 6 LSTM-Fourier -SE 6.69 × 10 − 7 LSTM-Fourier -SE ( k = 1 ) 4.56 × 10 − 7 TB A TS 7.48 × 10 − 8 LSTM-MSTL-DS 2.76 × 10 − 9 LSTM-Baseline-DS 5.35 × 10 − 15 LSTM-MSTL-7-DS 1.19 × 10 − 22 FFORMA 5.96 × 10 − 55 Prophet 4.65 × 10 − 62 Dynamic-Harmonic-Regression (A) 5.54 × 10 − 64 Dynamic-Harmonic-Regression (T) 3.32 × 10 − 64 LSTM-TB A TS-DS 1.94 × 10 − 91 casts, which is contrary to our pre vious findings from the M4 competition dataset. Also, sev eral LSTM-MSNet variants with the DS training paradigm display poor performance compared to the LSTM-Baseline. Most importantly , we observe that the proposed LSTM variants LSTM-MSTL-SE and LSTM- Prophet-DS consistently surpass the current state of the art in all performance metrics. The Friedman rank sum test gi ves an overall p -value of p < 10 − 10 . Therefore, the differences among the benchmarks are highly significant. According to T able IX, we see that the LSTM-MSTL-SE performs best and is used as the con- trol method. Moreov er , the LSTM-MSNet variants, LSTM- TB A TS-SE, LSTM-Prophet-DS do not perform significantly worse than the control method. T able X provides the results for the ev aluations on the aggregated hourly time series of the AusGrid-Ener gy dataset. W e see that the proposed LSTM-Fourier-SE ( k = 1 ) variant achiev es the best results on each performance metric, and outperforms the rest of the benchmarks. Also, among the proposed variants, we observe that the LSTM-MSNet variants with the SE training paradigm outperform their counterparts, the LSTM-MSNet v ariants with the DS training paradigm. Furthermore, the LSTM-Baseline method performs better than the LSTM-MSNet variants with DS training paradigm. Never - T ABLE X A U S G R I D - E N E R G Y ( H O U R L Y ) DAT A S E T R E SU LT S Method Mean sMAPE Median sMAPE Mean MASE Median MASE LSTM-Fourier-SE ( k = 1 ) 0.2590 0.2473 0.7189 0.6455 LSTM-MSTL-SE 0.2638 0.2626 0.7286 0.6652 LSTM-Prophet-SE 0.2653 0.2575 0.7332 0.6819 LSTM-TBA TS-SE 0.2665 0.2676 0.7346 0.6753 LSTM-Fourier-SE 0.2672 0.2572 0.7399 0.6790 LSTM-Baseline 0.2685 0.2660 0.7408 0.6852 FFORMA 0.2692 0.2613 0.7360 0.6573 LSTM-Prophet-DS 0.2749 0.2761 0.7526 0.6913 LSTM-MSTL-7-SE 0.2884 0.2785 0.7930 0.7219 LSTM-MSTL-7-DS 0.3172 0.3059 0.8250 0.7790 TBA TS 0.3177 0.3072 0.8179 0.7861 Prophet 0.3390 0.3369 0.8757 0.8156 LSTM-TBA TS-DS 0.3414 0.2971 1.0640 0.7458 LSTM-MSTL-DS 0.3480 0.3415 0.9123 0.8550 Dynamic-Harmonic-Regression (T) 0.3530 0.3460 0.9015 0.8692 Dynamic-Harmonic-Regression (A) NA NA NA NA LSTM-STR-DS NA NA NA NA LSTM-STR-SE NA NA NA NA T ABLE XI S I GN I FI C AN C E T E S TI N G F O R A U S G R I D - E N E R G Y ( H O U R L Y ) DAT A S E T Method p H och LSTM-Fourier -SE ( k = 1 ) - LSTM-MSTL-SE 0.265 LSTM-TB A TS-SE 0.128 LSTM-Prophet-SE 0.128 LSTM-Fourier -SE 0.128 FFORMA 0.084 LSTM-Prophet-DS 0.041 LSTM-Baseline 0.016 LSTM-TB A TS-DS 2.70 × 10 − 9 LSTM-MSTL-7-SE 2.99 × 10 − 15 TB A TS 3.27 × 10 − 23 LSTM-MSTL-7-DS 2.25 × 10 − 23 Prophet 1.98 × 10 − 44 Dynamic-Harmonic-Regression (T) 3.46 × 10 − 45 LSTM-MSTL-DS 1.40 × 10 − 57 T ABLE XII T R AFFI C D A TA SE T R ES U LTS Method Mean sMAPE Median sMAPE Mean MASE Median MASE LSTM-Fourier-SE ( k = 1 ) 0.0151 0.0116 0.6102 0.5035 LSTM-Fourier-SE 0.0179 0.0143 0.7213 0.6178 LSTM-MSTL-SE 0.0177 0.0142 0.7107 0.6159 LSTM-TBA TS-SE 0.0186 0.0151 0.7467 0.6495 LSTM-Prophet-SE 0.0194 0.0157 0.7828 0.6744 LSTM-Baseline 0.0193 0.0158 0.7853 0.6777 LSTM-MSTL-7-SE 0.0213 0.0179 0.8760 0.7801 LSTM-Prophet-DS 0.0219 0.0191 0.8951 0.7928 LSTM-MSTL-DS 0.0232 0.0196 0.9529 0.8321 FFORMA 0.0245 0.0190 0.9177 0.7582 LSTM-STR-DS 0.0249 0.0209 0.9918 0.8710 LSTM-MSTL-7-DS 0.0303 0.0273 1.2619 1.1576 TBA TS 0.0247 0.0215 1.0412 0.8861 LSTM-STR-SE 0.0251 0.0217 1.0377 0.9334 Dynamic-Harmonic-Regression (A) 0.0303 0.0259 1.1987 1.0555 Prophet 0.0332 0.0298 1.3248 1.2061 Dynamic-Harmonic-Regression (T) 0.0335 0.0286 1.1570 1.1812 LSTM-TBA TS-DS 0.0789 0.0773 3.1593 2.9352 theless, consistent with our previous findings from T able VIII, the proposed LSTM-MSNet variants outperform the current state-of-the-art techniques; FFORMA, TBA TS, and Prophet. The overall result of the Friedman rank sum test is a p - value of 2 . 76 × 10 − 10 , which means the results are highly significant. According to T able XI, the LSTM-F ourier-SE ( k = 1 ) performs best and is used as the control method. W e see that the LSTM-MSNet v ariants, LSTM-MSTL-SE, LSTM-TB A TS- SE, LSTM-Prophet-SE, LSTM-Fourier-SE and FFORMA do not perform significantly worse than the control method. T able XII provides the results for the ev aluations on the hourly time series of the San Francisco traf fic dataset. W e T ABLE XIII S I GN I FI C AN C E T E S TI N G F O R T R AFFI C D A TA SE T Method p H och LSTM-Fourier -SE ( k = 1 ) - LSTM-MSTL-SE 1.44 × 10 − 15 LSTM-Fourier -SE 4.32 × 10 − 21 LSTM-TB A TS-SE 6.06 × 10 − 42 LSTM-Baseline 6.79 × 10 − 71 LSTM-Prophet-SE 8.77 × 10 − 84 LSTM-MSTL-7-SE p < 10 − 100 FFORMA p < 10 − 100 LSTM-MSTL-DS p < 10 − 100 LSTM-Prophet-DS p < 10 − 100 TB A TS p < 10 − 100 LSTM-STR-DS p < 10 − 100 LSTM-STR-SE p < 10 − 100 Dynamic-Harmonic-Regression (A) p < 10 − 100 Dynamic-Harmonic-Regression (T) p < 10 − 100 LSTM-MSTL-7-DS p < 10 − 100 Prophet p < 10 − 100 LSTM-TB A TS-DS p < 10 − 100 observe that the results are similar to the previous findings from T able X, where the proposed LSTM-Fourier-SE ( k = 1 ) variant outperforms the rest of the benchmarks. Moreover , the LSTM-MSNet variants with the SE training paradigm achiev es better results, compared to the LSTM-MSNet v ariants with the DS training paradigm. Also, consistent with our observations from the AusGrid-Energy datasets, the LSTM- Baseline method performs better than the LSTM-MSNet vari- ants with DS training paradigm. Furthermore, the majority of the LSTM-MSNet variants outperform the statistical bench- marks, FFORMA, TB A TS, and Prophet. The Friedman rank sum test gi ves an overall p -value of p < 10 − 10 , which means the results are highly significant. According to T able XIII, the LSTM-Fourier-SE ( k = 1 ) performs best and is used as the control method. Also, we see that the LSTM-F ourier-SE ( k = 1 ) achiev es significantly better results than the other methods. Also, with respect to computational cost of the proposed variants and benchmarks, according to T able XIV, e xcept for LSTM-TB A TS-DS and LSTM-TBA TS-SE, which use TB A TS as the decomposition technique, we see that the proposed LSTM-MSNet variants have a lower execution time compared to TB A TS and FFORMA. The Dynamic-Harmonic-Regressio- n (T) variant and Prophet are more computationally ef ficient than the LSTM-MSNet variants. Howe ver , we notice that both these methods do not display competitiv e results compared to the LSTM-MSNet variants, according to T ables VI, VIII, and X. In contrary , LSTM-MSNet promises to deliver better performance than TBA TS and FFORMA, with respect to both accuracy and computation time. I. Discussion It can be seen that the LSTM-Baseline results for the M4 and real-world datasets are contradictory . Even though the LSTM-Baseline model cannot outperform both DS and SE learning paradigms of LSTM-MSNet in the M4 dataset, it ob- tains better results than the DS learning paradigm in AusGrid- T ABLE XIV C O MP U TA T I O NA L S U MM A RY - A U S G R ID - E N ER G Y D AT A S ET : H O U RLY ( I N M I NU T E S ) Method Pre-processing Model-Training & Post-processing T otal-time Dynamic-Harmonic-Regression (T) - 4 4 Prophet - 90 90 LSTM-Baseline 10 140 150 LSTM-MSTL-DS 88 120 208 LSTM-MSTL-7-DS 88 120 208 LSTM-Fourier-SE ( k = 1 ) 30 180 210 LSTM-Fourier-SE 34 180 214 LSTM-MSTL-SE 74 180 254 LSTM-MSTL-7-SE 74 180 254 LSTM-Prophet-DS 210 120 330 LSTM-Prophet-SE 200 180 380 TBA TS - 2304 2304 LSTM-TBA TS-DS 2332 120 2452 LSTM-TBA TS-SE 2318 180 2498 FFORMA - 4320 4320 Energy and T raffic datasets. These results can be interpreted by the seasonal characteristics present in these datasets (Fig. 6). As discussed in Section IV -A, the seasonal components of the M4 dataset are less homogeneous. So, in this scenario, learning the seasonality directly from the original time series becomes dif ficult for LSTM-MSNet. Hence, removing the seasonal components prior to training (DS learning paradigm) has positively contributed towards the LSTM-MSNet results in the M4 dataset. This also explains the poor results of the LSTM-Baseline variant, which attempts to learn seasonality directly from the time series, without any assistance of DS and SE. W e also note that lengths of the series are likely to hav e an effect here, in the sense that for longer series, the amount of data is sufficient to learn seasonal patterns directly , whereas for shorter series, deseasonalisation is beneficial. Howe ver , we do not analyse this in our current study . Furthermore, we observe the highly competitive results of FFORMA in the M4 dataset. FFORMA was the second-best performing method in the o verall M4 competition, so it can be arguably seen as optimised for this particular dataset. Also, due to its nature as being an ensemble of simpler uni variate techniques, it is inherently more suitable for this situation of a dataset of inhomogeneous series, whereas on the AusGrid-Energy and Traf fic datasets, it is less performant. There, due to the high presence of homogeneous seasonality , exclusiv e learning of the seasonality becomes viable for LSTM-MSNet. As a result, LSTM-Baseline achieves better results compared to LSTM-MSNet with the DS learning paradigm. Howe ver , in this scenario, we observe that the variants of LSTM-MSNet with the SE learning paradigm, achieve better results than the LSTM-Baseline model. This suggests that the extracted seasonal components hav e supplemented the LSTM-MSNet training procedure, in the form of external variables that assist to determine the trajectory of the multiple seasonal cycles. In terms of decomposition techniques, MSTL, STR, and Prophet are the best performing methods in the M4 dataset. Whereas, on the AusGrid-Energy and Traf fic datasets, we see that the LSTM-MSNet variants with MSTL and Prophet decomposition techniques giv e better results. Also, the STR based LSTM-MSNet variants are unstable on the AusGrid- Energy datasets, which can be attributed to the longer lengths of the time series. Furthermore, according to T able XIV, the MSTL and Prophet methods are computationally ef ficient decomposition techniques compared to TB A TS. These results indicate that our proposed LSTM-MSNet forecasting frame work can be easily adapted, depending on the seasonal characteristics in a group of time series. The LSTM- MSNet with the DS learning paradigm is more suitable for situations where the origins of the time series are unkno wn and time series are inhomogeneous. Whereas its counter part, SE is better if the time series are homogeneous and share similar shapes of the seasonal components. Another important finding from this study is that the RNNs are competitive in situations where groups of time series are highly homogeneous. As discussed in Section I, this is the case in many real-world applications. Howe ver , in situations like in the M4 dataset, where the groups of time series exhibit highly heterogeneous characteristics, better competitiv eness of the RNNs can be achiev ed by applying additional preprocessing steps such as deseasonalisation (DS learning paradigm) that supplements the RNN training procedure. Apart from these observations, we also see that for longer time series, the majority of the LSTM-MSNet v ariants are computationally more ef ficient than the state-of-the-art univ ariate forecasting techniques, such as TB A TS and FFORMA. V . C O N C L U S I O N In this paper, we have presented the LSTM-MSNet method- ology , a novel, three-layered forecasting framew ork that is capable of forecasting a group of related time series with multiple seasonal cycles. Our methodology is based on time series decomposition and LSTM recurrent neural netw orks, to overcome the limitations of the current univ ariate state-of- the-art models by training a unified model that exploits key structures, behaviours, and patterns common within a group of time series. W e have utilised a series of decomposition techniques from the literature to e xtract the various forms of seasonal components in time series. Moreover , we hav e also discussed two training paradigms, the Deseasonalised approach and the Seasonal Exogenous approach, highlighting how these decom- position techniques can be used to supplement the LSTM learning procedure. W e hav e identified that the choice of these learning paradigms can be determined by the characteristics of the time series, where a deseasonalised approach is more suitable for situations where the series have different seasonal patterns, and the start/end dates of the series are dif ferent. Whereas its counter part, the seasonal exogenous approach, is better if the time series are homogeneous and share similar shapes of the seasonal components. In general, MSTL, and Prophet are stable decomposition techniques for both shorter and longer time series, and achieve competitiv e results with a lower computational cost. W e ha ve e valuated the proposed forecasting framework using a competition dataset, two en- ergy consumption time series datasets, and T raffic dataset that contain multiple seasonal patterns. Also, with respect to accuracy and computational time, we observe that our framew ork can be a competitiv e approach among the current state-of-the-art in his research space. Furthermore, somewhat contrary to widespread beliefs, the globally trained LSTM- MSNet can be computationally more efficient than many univ ariate forecasting methods. As a possible future work, a hybrid version of this approach can be introduced to handle seasonalities in longer time series. Here, the deseasonalised approach can be used to model shorter seasonalities, whereas the seasonal exogenous approach can be applied to address the longer seasonalities. V I . A C K N OW L E D G E M E N T S This research was supported by the Australian Research Council under grant DE190100045, by a Facebook Statistics for Improving Insights and Decisions research award, by Monash Institute of Medical Engineering seed funding, and by the MASSIVE - High performance computing facility , Australia. R E F E R E N C E S [1] AusGrid, “Innov ation and research - ausgrid, ” https://www .ausgrid.com. au/Industry/Innov ation- and- research/, 2019, accessed: 2019-5-16. [2] C.-M. Lee and C.-N. K o, “Short-term load forecasting using lifting scheme and ARIMA models, ” Expert Syst. Appl. , v ol. 38, no. 5, pp. 5902–5911, May 2011. [3] G. E. P . Box, G. M. Jenkins, G. C. Reinsel, and G. M. Ljung, T ime Series Analysis: F or ecasting and Control . John Wile y & Sons, 2015. [4] A. Borovykh, S. Bohte, and C. W . Oosterlee, “Conditional time series forecasting with conv olutional neural networks, ” Mar . 2017. [Online]. A vailable: http://arxiv .org/abs/1703.04691 [5] D. Salinas, V . Flunkert, and J. Gasthaus, “DeepAR: Probabilistic forecasting with autoregressiv e recurrent networks, ” Apr . 2017. [Online]. A vailable: http://arxiv .org/abs/1704.04110 [6] R. W en, K. T orkkola, B. Narayanaswamy , and D. Madeka, “ A Multi-Horizon quantile recurrent forecaster, ” Nov . 2017. [Online]. A vailable: http://arxiv .org/abs/1711.11053 [7] K. Bandara, C. Bergmeir , and S. Smyl, “Forecasting across time series databases using recurrent neural networks on groups of similar series: A clustering approach, ” Expert Syst. Appl. , vol. 140, Feb. 2020. [8] G. Lai, W .-C. Chang, Y . Y ang, and H. Liu, “Modeling long- and Short-T erm temporal patterns with deep neural networks, ” in The 41st International ACM SIGIR Conference on Resear ch & Development in Information Retrieval , ser . SIGIR ’18. New Y ork, NY , USA: ACM, 2018, pp. 95–104. [9] K. Bandara, P . Shi, C. Bergmeir , H. Hewamalage, Q. Tran, and B. Seaman, “Sales demand forecast in e-commerce using a long Short-T erm memory neural network methodology , ” Jan. 2019. [Online]. A vailable: https://arxiv .org/abs/1901.04028 [10] M. Nelson, T . Hill, W . Remus, and M. O’Connor , “Time series fore- casting using neural networks: should the data be deseasonalized first?” J. F orecast. , vol. 18, no. 5, pp. 359–367, 1999. [11] G. P . Zhang and M. Qi, “Neural network forecasting for seasonal and trend time series, ” Eur . J. Oper . Res. , vol. 160, no. 2, pp. 501–514, 2005. [12] S. Ben T aieb, G. Bontempi, A. F . Atiya, and A. Sorjamaa, “ A revie w and comparison of strategies for multi-step ahead time series forecasting based on the NN5 forecasting competition, ” Expert Syst. Appl. , vol. 39, no. 8, pp. 7067–7083, Jun. 2012. [13] R. Hyndman, A. B. Koehler , J. Keith Ord, and R. D. Snyder , F orecasting with Exponential Smoothing: The State Space Approac h . Springer Science & Business Media, 2008. [14] A. Harvey , S. J. Koopman, and M. Riani, “The modeling and seasonal adjustment of weekly observations, ” J. Bus. Econ. Stat. , vol. 15, no. 3, pp. 354–368, 1997. [15] J. W . T aylor, “Short-term electricity demand forecasti ng using double seasonal exponential smoothing, ” J. Oper . Res. Soc. , vol. 54, no. 8, pp. 799–805, Aug. 2003. [16] P . G. Gould, A. B. Koehler , J. K. Ord, R. Snyder, R. J. Hyndman, and F . V ahid-Araghi, “F orecasting time series with multiple seasonal patterns, ” Eur . J. Oper . Res. , vol. 191, no. 1, pp. 207–222, Nov . 2008. [17] J. W . T aylor and R. Snyder , “Forecasting intraday time series with multi- ple seasonal c ycles using parsimonious seasonal exponential smoothing, ” Ome ga , vol. 40, no. 6, pp. 748–757, Dec. 2012. [18] A. M. De Liv era, R. J. Hyndman, and R. Snyder , “F orecasting time series with complex seasonal patterns using exponential smoothing, ” J. Am. Stat. Assoc. , vol. 106, no. 496, pp. 1513–1527, Dec. 2011. [19] J. Nowicka-Zagrajek and R. W eron, “Modeling electricity loads in california: ARMA models with hyperbolic noise, ” Signal Pr ocessing , vol. 82, no. 12, pp. 1903–1915, Dec. 2002. [20] G. Cybenk o, “Approximation by superpositions of a sigmoidal function, ” Math. Control Signals Systems , vol. 2, no. 4, pp. 303–314, Dec. 1989. [21] K. Hornik, “ Approximation capabilities of multilayer feedforward net- works, ” Neural Netw . , vol. 4, no. 2, pp. 251–257, Jan. 1991. [22] Zaiyong T ang, C. de Almeida, and P . A. Fishwick, “Time series forecast- ing using neural networks vs. box- jenkins methodology , ” Simulation , vol. 57, no. 5, pp. 303–310, 1991. [23] M. Marseguerra, S. Minoggio, A. Rossi, and E. Zio, “Neural networks prediction and fault diagnosis applied to stationary and non stationary ARMA modeled time series, ” Prog . Nuclear Energy , vol. 27, no. 1, pp. 25–36, 1992. [24] W . Y an, “T oward automatic time-series forecasting using neural net- works, ” IEEE T rans Neural Netw Learn Syst , vol. 23, no. 7, pp. 1028– 1039, 2012. [25] H. He wamalage, C. Bergmeir , and K. Bandara, “Recurrent neural networks for time series forecasting: Current status and future directions, ” arXiv [cs.LG] , 2019. [Online]. A vailable: https://arxiv .org/ abs/1909.00590 [26] G. Dudek, “Forecasting time series with multiple seasonal cycles using neural networks with local learning, ” in Artificial Intelligence and Soft Computing . Springer Berlin Heidelberg, 2013, pp. 52–63. [27] T . Fernando, S. Denman, A. McFadyen, S. Sridharan, and C. Fookes, “T ree memory networks for modelling long-term temporal dependen- cies, ” Neur ocomputing , vol. 304, pp. 64–81, Aug. 2018. [28] M. Han and M. Xu, “Laplacian echo state network for multiv ariate time series prediction, ” IEEE T rans Neural Netw Learn Syst , vol. 29, no. 1, pp. 238–244, Jan. 2018. [29] F . M. Bianchi, E. Maiorino, M. C. Kampffmeyer , A. Rizzi, and R. Jenssen, “ An overvie w and comparativ e analysis of recurrent neural networks for short term load forecasting, ” May 2017. [Online]. A vailable: http://arxiv .org/abs/1705.04378 [30] S. Makridakis, E. Spiliotis, and V . Assimakopoulos, “The M4 competi- tion: Results, findings, conclusion and way forward, ” Int. J. F orecast. , vol. 34, no. 4, pp. 802–808, 2018. [31] S. Smyl, “ A hybrid method of exponential smoothing and recurrent neural networks for time series forecasting, ” Int. J. F orecast. , Jul. 2019. [32] A. Dokumentov and R. J. Hyndman, “str: STR decomposition, ” 2018. [33] R. B. Clev eland, W . S. Clev eland, and I. T erpenning, “STL: A seasonal- trend decomposition procedure based on loess, ” J. Of f. Stat. , vol. 6, no. 1, p. 3, 1990. [34] R Core T eam, R: A Language and En vir onment for Statistical Computing , R Foundation for Statistical Computing, V ienna, Austria, 2013. [Online]. A vailable: http://www .R- project.org/ [35] R. J. Hyndman, G. Athanasopoulos, S. Razbash, D. Schmidt, Z. Zhou, Y . Khan, C. Bergmeir , and E. W ang, “forecast: Forecasting functions for time series and linear models, ” R packag e version , vol. 6, no. 6, p. 7, 2015. [36] Y . Khandakar and R. J. Hyndman, “ Automatic time series forecasting: the forecast package for R, ” J. Stat. Softw . , vol. 27, no. 03, 2008. [37] A. Dokumentov , R. J. Hyndman, and Others, “STR: A seasonal-trend decomposition procedure based on regression, ” Monash Univ ersity , Department of Econometrics and Business Statistics, T ech. Rep., 2015. [38] S. J. T aylor and B. Letham, “Forecasting at scale, ” PeerJ Preprints, T ech. Rep. e3190v2, Sep. 2017. [39] S. T aylor and B. Letham, “prophet: Automatic forecasting procedure, ” 2018. [40] A. C. Harvey and N. Shephard, “10 structural time series models, ” in Handbook of Statistics . Elsevier , Jan. 1993, vol. 11, pp. 261–302. [41] T . Mikolov , M. Karafi ´ at, L. Burget, J. Cernock \ ‘y , and S. Khudanpur , “Recurrent neural netw ork based language model, ” in Inter speech , vol. 2. fit.vutbr .cz, 2010, p. 3. [42] A. Grav es, A. r . Mohamed, and G. Hinton, “Speech recognition with deep recurrent neural networks, ” in 2013 IEEE International Confer ence on Acoustics, Speech and Signal Processing . ieeexplore.ieee.org, 2013, pp. 6645–6649. [43] K. Gregor , I. Danihelka, A. Gra ves, D. J. Rezende, and D. W ierstra, “DRA W: A recurrent neural network for image generation, ” Feb . 2015. [44] H.-G. Zimmermann, C. Tietz, and R. Grothmann, “Forecasting with recurrent neural networks: 12 tricks, ” in Neural Networks: Tric ks of the Tr ade , ser . Lecture Notes in Computer Science. Springer , Berlin, Heidelberg, 2012, pp. 687–707. [45] S. Ben T aieb and A. F . Atiya, “A bias and variance analysis for Multistep-Ahead time series forecasting, ” IEEE Tr ans Neural Netw Learn Syst , vol. 27, no. 1, pp. 62–76, Jan. 2016. [46] R. E. Schapire, “The boosting approach to machine learning: An overvie w , ” in Nonlinear Estimation and Classification , D. D. Denison, M. H. Hansen, C. C. Holmes, B. Mallick, and B. Y u, Eds. New Y ork, NY : Springer New Y ork, 2003, pp. 149–171. [47] M4 competition, “M4 submission repository , ” https://bit.ly/2Q1BIW A, 2018, accessed: 2019-11-12. [48] M. Abadi, A. Agarwal, P . Barham, E. Brevdo, Z. Chen, C. Citro, G. S. Corrado, A. Davis, J. Dean, M. Devin, S. Ghema wat, I. Goodfello w , A. Harp, G. Irving, M. Isard, Y . Jia, R. Jozefo wicz, L. Kaiser, M. Kudlur , J. Levenberg, D. Mane, R. Monga, S. Moore, D. Murray , C. Olah, M. Schuster , J. Shlens, B. Steiner , I. Sutskev er, K. T alwar , P . T ucker , V . V anhoucke, V . V asudev an, F . Vie gas, O. V inyals, P . W arden, M. W at- tenberg, M. W icke, Y . Y u, and X. Zheng, “T ensorFlow: Lar ge-Scale machine learning on heterogeneous distributed systems, ” Mar . 2016. [49] California Department of Transportation, “San francisco traffic, ” https: //github .com/rofuyu/exp- trmf- nips16s, 2019, accessed: 2019-11-20. [50] R. J. Hyndman and A. B. Koehler , “ Another look at measures of forecast accuracy , ” Int. J. F orecast. , 2006. [51] S. Garc ´ ıa, A. Fern ´ andez, J. Luengo, and F . Herrera, “ Advanced non- parametric tests for multiple comparisons in the design of experiments in computational intelligence and data mining: Experimental analysis of power , ” Inf. Sci. , vol. 180, no. 10, pp. 2044–2064, May 2010. [52] F . Orabona and T . T ommasi, “Training deep networks without learning rates through coin betting, ” in Proceedings of the 31st International Confer ence on Neural Information Pr ocessing Systems , ser . NIPS’17, USA, 2017, pp. 2157–2167. [53] J. Snoek, H. Larochelle, and R. P . Adams, “Practical bayesian optimiza- tion of machine learning algorithms, ” in Advances in Neural Information Pr ocessing Systems 25 , F . Pereira, C. J. C. Burges, L. Bottou, and K. Q. W einberger , Eds. Curran Associates, Inc., 2012, pp. 2951–2959. [54] F . Hutter, H. H. Hoos, and K. Leyton-Brown, “Sequential model-based optimization for general algorithm configuration, ” in Pr oceedings of the 5th International Conference on Learning and Intelligent Optimization , 2011, pp. 507–523. [55] P . Montero-Manso, G. Athanasopoulos, R. J. Hyndman, and T . S. T alagala, “FFORMA: Feature-based forecast model averaging, ” T ech. Rep. 19/18, 2018. [56] J. L. Elman, “Finding structure in time, ” Cogn. Sci. , vol. 14, no. 2, pp. 179–211, Mar. 1990. [57] K. Cho, B. van Merrienboer, C. Gulcehre, F . Bougares, H. Schwenk, and Y . Bengio, “Learning phrase representations using RNN encoder- decoder for statistical machine translation, ” in Conference on Empirical Methods in Natural Language Processing (EMNLP 2014) , 2014.

Original Paper

Loading high-quality paper...

Comments & Academic Discussion

Loading comments...

Leave a Comment