Internally heated porous convection: an idealised model for Enceladus' hydrothermal activity

Internally heated porous convection: an idealised model for Enceladus' hydrothermal activity
Notice: This research summary and analysis were automatically generated using AI technology. For absolute accuracy, please refer to the [Original Paper Viewer] below or the Original ArXiv Source.

💡 Research Summary

This paper presents an idealised two‑dimensional Cartesian model of internally heated porous convection intended to capture the essential physics of hydrothermal activity in the porous, water‑saturated rocky core of Saturn’s moon Enceladus. The authors focus on two fundamental ingredients: volumetric heating generated by tidal deformation and an open top boundary that allows mass exchange with the overlying subsurface ocean. By simplifying the full spherical geometry to a planar layer of uniform permeability (k) and fluid viscosity (μ), and by assuming constant gravity, the model retains the core processes while remaining tractable for analytical and numerical investigation.

The governing equations combine Darcy’s law for flow in a porous medium with the Boussinesq approximation for buoyancy‑driven motion. The fluid velocity U is related to pressure gradients and the temperature anomaly Θ through
U = (k/μ)(–∇P + ρ₀gαΘ e_z).
Mass conservation imposes ∇·U = 0, while the temperature field obeys an advection‑diffusion equation with a source term q representing tidal heat production:
ϕ ∂ₜΘ + U·∇Θ = κ∇²Θ + q.
Two types of thermal boundary conditions at the top (z = h) are examined: (i) fixed temperature (Θ = 0) and (ii) fixed upward heat flux (∂Θ/∂z = 1 when w > 0, otherwise Θ = 0). The bottom boundary is impermeable and insulated.

Non‑dimensionalisation uses the layer height h as the length scale, and defines characteristic velocity U* and temperature Θ* via the balances of buoyancy, viscous resistance, and heat production. The resulting dimensionless system is governed by a single Rayleigh‑like number:

Ra = (k α g q h⁴) / (κ μ ϕ).

All other parameters collapse into this number, which measures the relative strength of advective transport to diffusive dissipation.

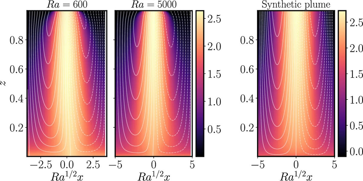
Linear stability analysis identifies a critical Rayleigh number above which convection sets in. Numerical simulations are performed with a spectral‑finite‑difference scheme: Fourier transforms resolve the horizontal direction, while a second‑order finite‑difference discretisation treats the vertical direction; time integration uses an alternating‑direction implicit (ADI) method. The simulations confirm that the choice of top thermal boundary condition has only a minor effect on the interior flow pattern.

In the fully nonlinear regime, the authors discover robust scaling laws. The horizontal extent ℓ of thermal anomalies (hot‑spots) scales as ℓ ∝ Ra⁻¹ᐟ², reflecting a balance between advection, heat production, and diffusion. The associated buoyancy‑driven plume flux into the ocean scales as Φ ∝ Ra³ᐟ². These relationships are derived both from asymptotic analysis and from systematic parameter sweeps in the simulations.

To connect the model with Enceladus, plausible physical parameters are adopted: core radius ≈ 250 km, permeability in the range 10⁻¹⁴–10⁻¹² m², volumetric heating 10⁻⁸–10⁻⁶ W m⁻³, porosity 0.2–0.3, and effective thermal diffusivity ≈ 10⁻⁶ m² s⁻¹. Substituting these values yields Rayleigh numbers between 10³ and 10⁶. The resulting Darcy fluxes are at most a few centimetres per year, corresponding to fluid velocities of order 10⁻⁸ m s⁻¹ within the core. However, when the upwelling fluid reaches the ocean, the buoyancy‑driven plume velocity is predicted to be ≈ 1 cm s⁻¹, consistent with the observed speeds of Enceladus’ plumes. The hot‑spot size is estimated to be a few kilometres, matching the localized nature of the plume sources inferred from Cassini data.

The paper’s principal contributions are: (1) the derivation of simple, universal scaling laws for internally heated porous convection, (2) a demonstration that the dynamics are controlled by a single Rayleigh‑type parameter despite the complexity of tidal heating, and (3) quantitative predictions for Enceladus that reconcile the slow interior Darcy flow with the relatively fast plume eruptions. These results provide a valuable benchmark for more sophisticated three‑dimensional or spherical models and for interpreting future observations of icy moons with suspected subsurface oceans.


Comments & Academic Discussion

Loading comments...

Leave a Comment