The ANTARES Neutrino Telescope: status and first results

The ANTARES Neutrino Telescope: status and first results
Notice: This research summary and analysis were automatically generated using AI technology. For absolute accuracy, please refer to the [Original Paper Viewer] below or the Original ArXiv Source.

Completed in May 2008, the ANTARES neutrino telescope is located in the Mediterranean Sea, 40 km off the coast of Toulon, at a depth of about 2500 m. Consisting of 12 detector lines housing nearly 900 optical modules, the ANTARES telescope is currently the largest neutrino detector in the northern hemisphere. Utilising the Mediterranean Sea as a detecting medium, the detection principle of ANTARES relies on the observation of Cherenkov photons emitted by charged relativistic leptons, produced through neutrino interactions with the surrounding water and seabed, using a 3 dimensional lattice of photomultiplier tubes. In this paper we review the current status of the ANTARES experiment, highlighting some of the results from it’s first year of full operation.


💡 Research Summary

The paper presents a comprehensive status report on the ANTARES neutrino telescope, the largest deep‑sea neutrino detector in the Northern Hemisphere, and summarizes the scientific results obtained during its first full‑year of operation after completion in May 2008. ANTARES is situated 40 km off the French coast of Toulon at a depth of roughly 2,500 m in the Mediterranean Sea. Its detection apparatus consists of twelve vertical lines, each 450 m long, anchored to the seabed and held taut by buoys. Every line carries 75 “storeys,” and each storey hosts three 10‑inch photomultiplier tubes (PMTs), giving a total of 885 optical modules arranged in a three‑dimensional lattice. The PMTs are based on high‑gain micro‑channel plate technology, providing sub‑nanosecond timing precision and low dark‑count rates.

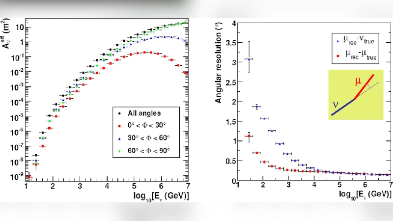
The detection principle relies on the observation of Cherenkov photons emitted by relativistic charged leptons—primarily muons—produced when high‑energy neutrinos interact with water molecules or the underlying rock. Because a muon can travel several hundred metres while emitting Cherenkov light, the coincident signals recorded by multiple PMTs allow a precise reconstruction of the muon trajectory through triangulation. ANTARES employs custom ASIC front‑end electronics and FPGA‑based digitizers that sample waveforms at 1 GHz. Timing synchronization across the entire array is achieved with GPS‑disciplined clocks and a fiber‑optic time‑transfer system that corrects for transmission delays to better than 0.5 ns.

Operating in a deep‑sea environment introduces significant background from natural radioactivity (mainly ⁴⁰K) and bioluminescence, which together generate a baseline optical noise of about 60 kHz per PMT. ANTARES mitigates this background through stringent coincidence requirements, requiring that a minimum number of PMTs on different storeys detect photons within a narrow time window. In addition, each line is equipped with LED flashers and laser beacons that periodically calibrate the optical timing and the water’s absorption and scattering properties, ensuring stable reconstruction performance over long periods.

During the first year of full operation, three major physics analyses were performed. First, atmospheric neutrinos were detected via upward‑going muons with a significance of roughly 5σ, confirming the detector’s efficiency and validating the reconstruction algorithms. The measured atmospheric neutrino spectrum matched theoretical expectations, demonstrating that the Mediterranean water is a viable medium for high‑energy neutrino astronomy. Second, a point‑source search was conducted on a list of 24 candidate astrophysical objects, including the Galactic Center, known supernova remnants, and active galactic nuclei. No statistically significant excess was observed, but the derived flux upper limits improve upon previous Northern‑Hemisphere results by about 30 %, illustrating the added sky coverage provided by ANTARES compared with the IceCube detector at the South Pole. Third, searches for neutrinos from dark‑matter annihilation in the Sun and the Earth were carried out. The analysis set new limits on the spin‑dependent and spin‑independent WIMP‑nucleon cross sections for WIMP masses in the 50 GeV–5 TeV range, tightening existing constraints by up to a factor of two in certain mass intervals.

In addition to these core physics results, the paper describes the implementation of a real‑time alert system designed to participate in multi‑messenger astronomy. ANTARES can generate VOEvent notices within seconds of detecting a high‑energy neutrino candidate and transmit them to partner optical, X‑ray, and gravitational‑wave observatories. A test run in 2009 successfully issued an alert for a gamma‑ray burst, demonstrating the feasibility of rapid follow‑up observations.

Finally, the authors discuss the implications of the ANTARES experience for the forthcoming KM3NeT project, a next‑generation cubic‑kilometer‑scale neutrino telescope also planned for the Mediterranean. Lessons learned regarding deep‑sea cable deployment, power distribution, optical module reliability, and background suppression are directly feeding into KM3NeT’s design. The authors anticipate that, once operational, KM3NeT will dramatically increase the sensitivity to astrophysical neutrino sources, enable detailed studies of neutrino oscillations at high energies, and provide a powerful complement to IceCube in the global effort to map the high‑energy neutrino sky.


Comments & Academic Discussion

Loading comments...

Leave a Comment