Game Theoretic Analysis for Joint Sponsored and Edge Caching Content Service Market

Game Theoretic Analysis for Joint Sponsored and Edge Caching Content   Service Market
Notice: This research summary and analysis were automatically generated using AI technology. For absolute accuracy, please refer to the [Original Paper Viewer] below or the Original ArXiv Source.

With a sponsored content scheme in a wireless network, a sponsored content service provider can pay to a network operator on behalf of the mobile users/subscribers to lower down the network subscription fees at the reasonable cost in terms of receiving some amount of advertisements. As such, content providers, network operators and mobile users are all actively motivated to participate in the sponsored content ecosystem. Meanwhile, in 5G cellular networks, caching technique is employed to improve content service quality, which stores potentially popular contents on edge networks nodes to serve mobile users. In this work, we propose the joint sponsored and edge caching content service market model. We investigate an interplay between the sponsored content service provider and the edge caching content service provider under the non-cooperative game framework. Furthermore, a three-stage Stackelberg game is formulated to model the interactions among the network operator, content service provider, and mobile users. Sub-game perfect equilibrium in each stage is analyzed by backward induction. The existence of Stackelberg equilibrium is validated by employing the bilevel optimization programming. Based on the game properties, we propose a sub-gradient based iterative algorithm, which ensures to converge to the Stackelberg equilibrium.


💡 Research Summary

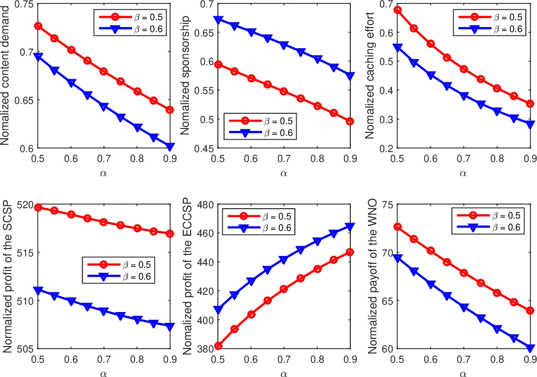
The paper investigates a novel content‑service market that simultaneously incorporates sponsored data schemes and edge‑caching techniques, both of which are emerging as key enablers for 5G networks. In a sponsored‑data model, a content provider (the Sponsored Content Service Provider, SCSP) pays part or all of a mobile user’s (MU’s) data fees to the Wireless Network Operator (WNO) in exchange for delivering advertisements. Edge‑caching, performed by an Edge Caching Service Provider (ECCSP), stores popular contents on small base‑station caches so that users can retrieve them locally (e.g., via Wi‑Fi) without incurring cellular traffic. The coexistence of these two mechanisms creates a competitive‑cooperative environment that the authors model using game theory.

System Model
Four actors are considered:

  1. WNO – sets a per‑unit price (p) for data transmission and incurs a quadratic cost (w x^{2}) that reflects congestion as total demand (x) grows.
  2. SCSP – earns advertising revenue proportional to a concave function (h(x)= (1-\gamma x)^{1/(1-\gamma)}) with coefficient (\gamma), while sponsoring a fraction (\theta\in

Comments & Academic Discussion

Loading comments...

Leave a Comment