Geometrical effects on nonlinear electrodiffusion in cell physiology

Geometrical effects on nonlinear electrodiffusion in cell physiology
Notice: This research summary and analysis were automatically generated using AI technology. For absolute accuracy, please refer to the [Original Paper Viewer] below or the Original ArXiv Source.

We report here new electrical laws, derived from nonlinear electro-diffusion theory, about the effect of the local geometrical structure, such as curvature, on the electrical properties of a cell. We adopt the Poisson-Nernst-Planck (PNP) equations for charge concentration and electric potential as a model of electro-diffusion. In the case at hand, the entire boundary is impermeable to ions and the electric field satisfies the compatibility condition of Poisson’s equation. We construct an asymptotic approximation for certain singular limits to the steady-state solution in a ball with an attached cusp-shaped funnel on its surface. As the number of charge increases, they concentrate at the end of cusp-shaped funnel. These results can be used in the design of nano-pipettes and help to understand the local voltage changes inside dendrites and axons with heterogenous local geometry.


💡 Research Summary

The paper investigates how local geometric features, specifically curvature and cusp‑shaped funnels, influence the steady‑state distribution of electric potential and ionic concentration in a confined electrolyte domain. Using the Poisson‑Nernst‑Planck (PNP) framework, the authors consider a spherical cell whose surface is completely impermeable to ions and imposes a Neumann compatibility condition on the electric field. The domain is perturbed by attaching a narrow, cusp‑shaped funnel of opening ε≪1, creating a singular geometric perturbation.

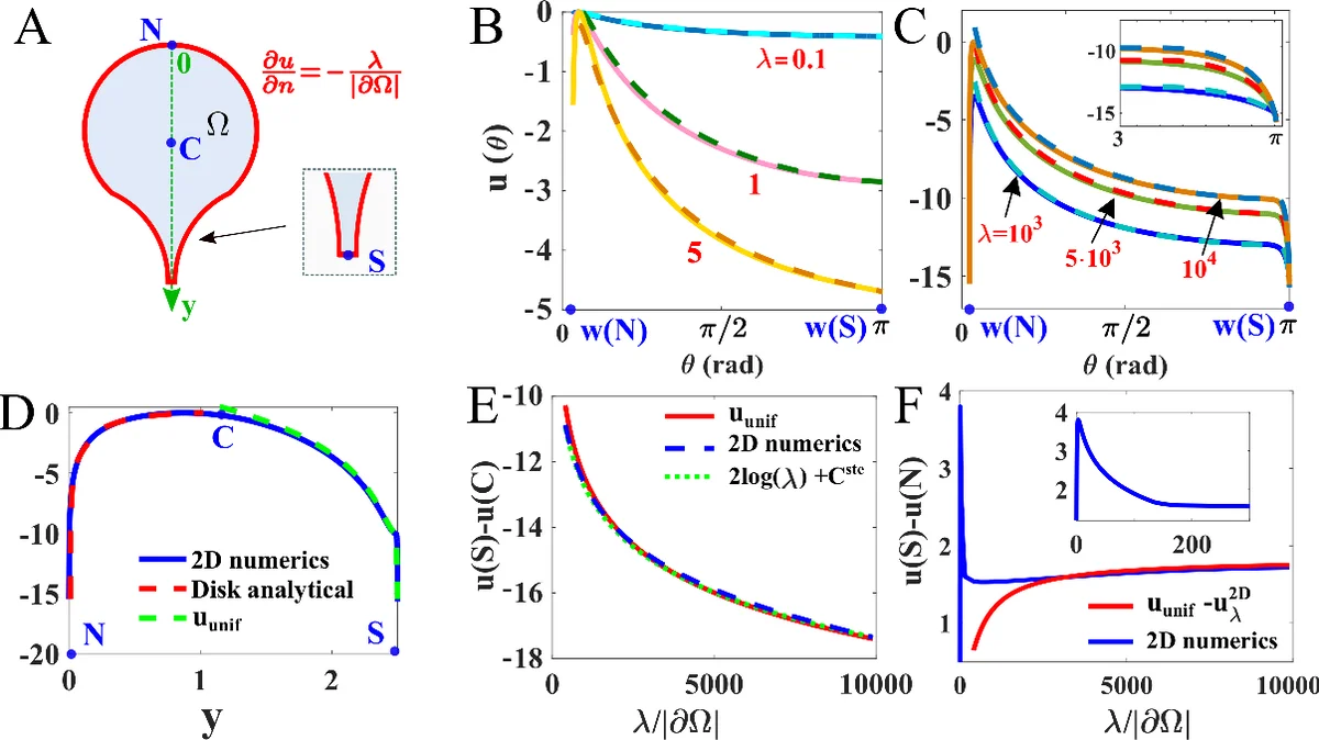
In the non‑electroneutral regime, the total charge N is fixed, and the steady‑state ion density follows a Boltzmann distribution. By scaling the potential u=zeφ/kT and introducing λ=(ze)²N/(ε₀εkT), the nonlinear Poisson equation becomes –Δu = λ exp(–u)/∫_Ω exp(–u) dx. To handle the cusp geometry, the authors apply a Möbius transformation that maps the original domain Ω onto a simpler domain Ω_w consisting of concentric circles and a semi‑annular region. This conformal map preserves the boundary conditions while concentrating the geometric singularity into a small parameter ε.

Within Ω_w, a one‑dimensional circular‑arc approximation is employed. The outer solution is linear in the angular coordinate θ, while a boundary‑layer analysis near the funnel entrance (θ≈0) introduces a stretched variable ξ=θ/√ε. The resulting boundary‑layer ODE, Y″+4(1+ξ²)² exp(–Y)=0, yields an asymptotic form Y(ξ)≈A−2ξ e^{–A} arctan ξ, where A diverges as ε→0. Matching the outer and inner solutions and enforcing the Neumann condition at the funnel tip (θ=π) leads to a transcendental relation involving the Lambert‑W function: Cπ² = W(π⁶|∂Ω|²/(3ε^{3/2})), with C≈e^{–A√ε}. The final uniform approximation for the scaled potential is

u(θ) ≈ ln(1/√ε) − ln


Comments & Academic Discussion

Loading comments...

Leave a Comment