Performance Analysis of Reliable Video Streaming with Strict Playout Deadline in Multi-Hop Wireless Networks

Performance Analysis of Reliable Video Streaming with Strict Playout   Deadline in Multi-Hop Wireless Networks
Notice: This research summary and analysis were automatically generated using AI technology. For absolute accuracy, please refer to the [Original Paper Viewer] below or the Original ArXiv Source.

Motivated by emerging vision-based intelligent services, we consider the problem of rate adaptation for high quality and low delay visual information delivery over wireless networks using scalable video coding. Rate adaptation in this setting is inherently challenging due to the interplay between the variability of the wireless channels, the queuing at the network nodes and the frame-based decoding and playback of the video content at the receiver at very short time scales. To address the problem, we propose a low-complexity, model-based rate adaptation algorithm for scalable video streaming systems, building on a novel performance model based on stochastic network calculus. We validate the model using extensive simulations. We show that it allows fast, near optimal rate adaptation for fixed transmission paths, as well as cross-layer optimized routing and video rate adaptation in mesh networks, with less than $10$% quality degradation compared to the best achievable performance.


💡 Research Summary

**
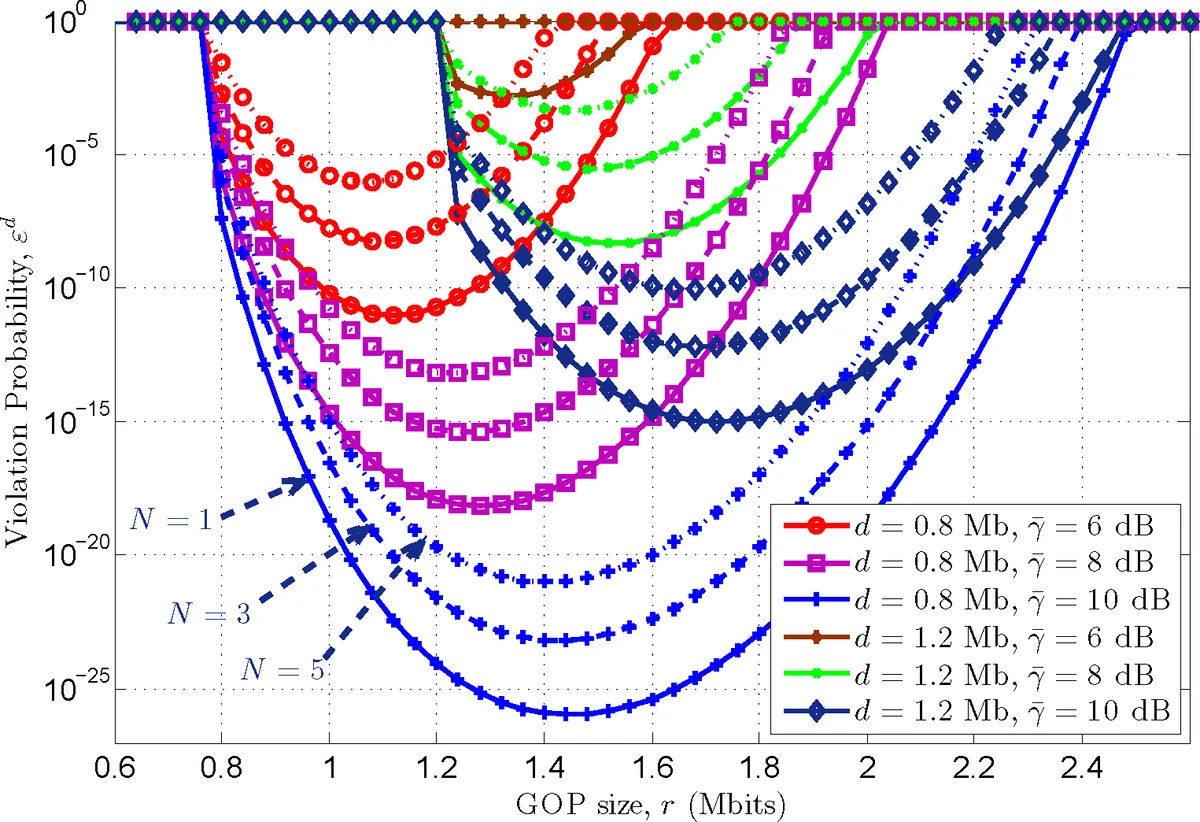
The paper tackles the problem of delivering high‑quality, low‑latency video over multi‑hop wireless networks using scalable video coding (SVC). Emerging vision‑based services such as remote surgery, autonomous driving, and smart factories demand strict end‑to‑end delay (tens of milliseconds) and ultra‑high reliability (99.99 %). Conventional SVC rate‑adaptation schemes, which rely on long‑term average throughput estimates or receiver‑side buffering, cannot satisfy these stringent latency constraints because short‑term wireless channel fluctuations cause queue buildup and deadline violations.

To address this, the authors propose a low‑complexity, model‑based rate‑adaptation algorithm that jointly selects the number of SVC layers to transmit and the routing path through the wireless mesh. The core of the approach is a stochastic network calculus framework built on the (min, ×) dioid algebra. Each wireless link is modeled as a block‑fading Rayleigh channel with known average SNR; its instantaneous service is taken as the Shannon capacity (C_k(t)=W\log_2(1+\gamma_{k,t})). By exponentiating the service process, the authors move to an “SNR domain” where the service of a link becomes (\mathcal{S}k = e^{C_k}). In this domain, the end‑to‑end service of a multi‑hop path is expressed as a (min, ×) convolution of the per‑hop services, which can be collapsed into a single equivalent service process (\mathcal{S}{net}).

Because exact evaluation of (min, ×) convolutions is intractable, the paper employs Mellin transforms. For a non‑negative random variable (Z), the Mellin transform is (M_Z(s)=\mathbb{E}


Comments & Academic Discussion

Loading comments...

Leave a Comment