Distributed MIMO Systems with Oblivious Antennas

A scenario in which a single source communicates with a single destination via a distributed MIMO transceiver is considered. The source operates each of the transmit antennas via finite-capacity links, and likewise the destination is connected to the…

Authors: Osvaldo Simeone, Oren Somekh, H. Vincent Poor

Distributed MIMO Systems with Oblivious Antennas
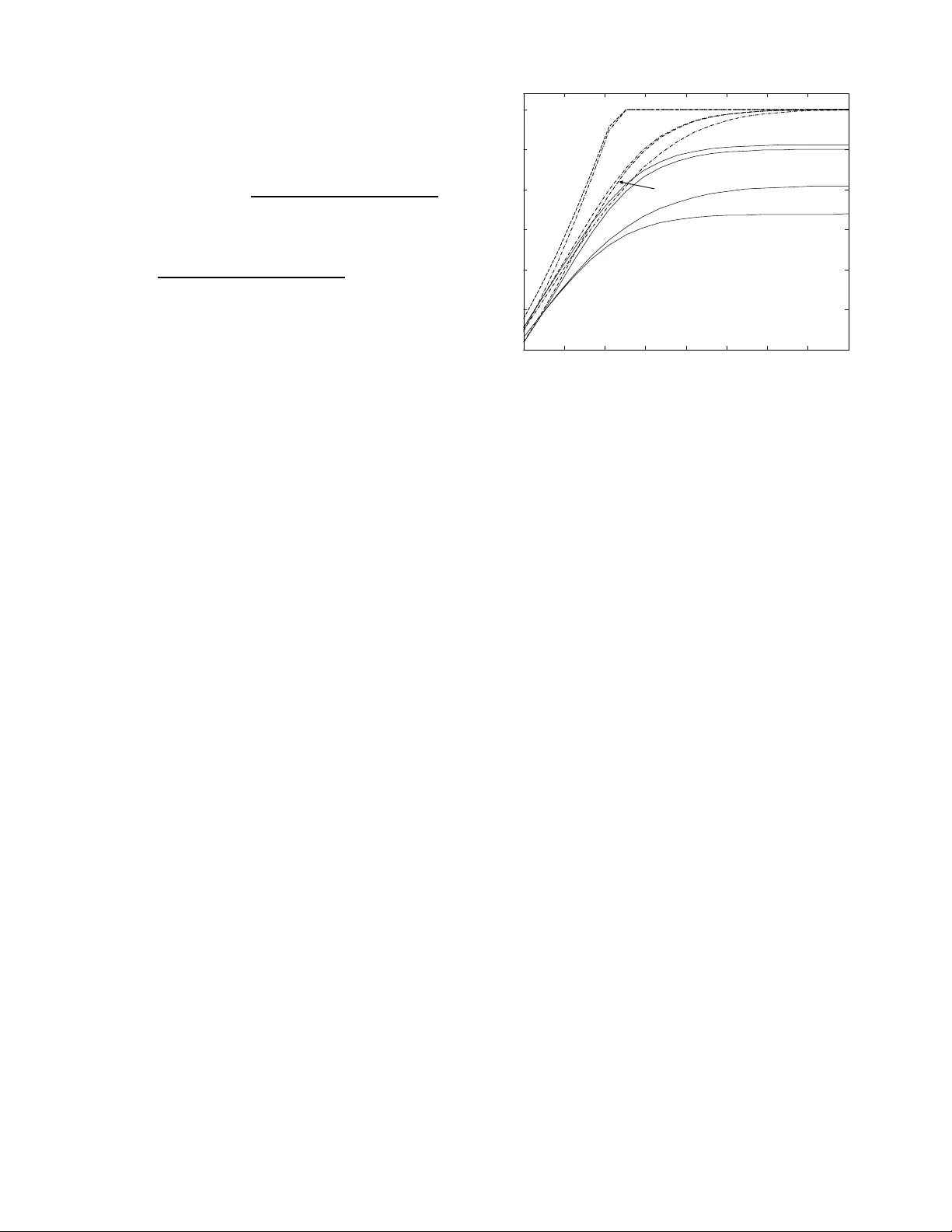
Distrib uted MIMO Systems with Obli vious Antennas Osvaldo Simeone CWCSPR, ECE Department New Jersey Institute o f T echnolog y New ar k, NJ 0710 2 osvaldo.simeone@njit.edu Oren Somekh a nd H. V ince nt Poor Departmen t of E lectrical Eng ineering Princeton University Princeton, NJ 085 44 { orens, p oor } @prin ceton.edu Shlomo Shamai (Shitz) Departmen t of Electrical Enginee ring T echnion Haifa, 3 2000, Israel sshlomo@ee.techn ion.ac.il Abstract — A scenario in which a single source communicates with a single destination via a distributed MIMO transceiv er i s considered. The source operates each of the transmit antennas via finite-capacity links, and l ikewise the destination is conn ected to the receiving antennas through capacity-constrained channels. T argeting a nomadic communication scenario, i n which the distributed MIMO transceiver is designed to serve d ifferent standards or services, transmitters and receiv ers are assumed to be obl ivious to the encoding functions shared by source and destination. Adopting a Gaussian symmetric interfer ence netw ork as th e chann el model (as for regularly placed transmitters and recei vers), achiev able rates are inv estigated and compared wit h an upper bound . It is concluded that in certain asymptotic and non-asymptotic regimes obliviousness of transmitters and recei vers d oes not cause any loss of optimality . I . I N T R O D U C T I O N MIMO systems implemen ted via distributed an tennas , co n- nected via a wireless o r wir ed backbo ne, have been recently advocated as a viable solutio n to provide multiplexing, array and micr o- or macro-d i versity gain s in infrastru cture or mesh/ ad hoc n etworks (see, e.g., [1]-[3] and referen ces therein) . In such sy stems with non- colocated anten nas, the m ain ch allenge in realizing the fu ll gains of M IMO systems is the efficient use of the chan nel resour ces needed to coo rdinate the pa rticipating antennas at the transmit and / o r re ceiv e sides into effective multi-anten na a rrays. The se channel r esources can be either in-ban d, that is, in the same time and frequen cy band of th e main end-to -end transmission [1] [3], or ou t-of-ban d , i.e., over orthog onal channe ls, possibly realized via wired con nections or different wire less r adio inter faces [2] [4]. Mor eover , the feasibility of different transmission schemes d epends on the amount of information that the a vailable transcei vers ha ve regarding the en coding functio ns shared b y the sources and destinations o f the tr ansmitted data. For exam ple, d ecode-an d- forward-typ e schem es require full knowledge of the codeboo ks used to encode the received data, while compr ess-and-for ward or amp lify-and -forward strategies do n ot have this r equire- ment. Basic 2 × 2 distributed M IMO systems with full co deboo k informa tion and with in-band sig nalling b etween tran smit antennas, at one end, an d receive antennas, at the othe r , were considered in [1] an d [ 5] for half and full-d uplex tran sceiv e rs, respectively . Refer ence [6] studies a general MIMO sys- . . C C C C . . ' C ' C ' C ' C 1 X 1 Y 2 X 3 X M X 2 Y 3 Y M Y D D D D S D Fig. 1. System model: a nomadic s ingle source S communicate s to a single destina tion D over a symm etric interfe rence channe l where transmitt ers and recei vers are obli vious to the encoding functions employed by S and D. tem with infinite- capacity o ut-of-b and links connecting the transmit-side antenn as an d finite-capacity link s at the receiv e side, whe re anten nas are assum ed to be eith er codeb ook- unaware ( i.e., oblivious ) or informed. Another line of work that is of interest here deals with distributed-antenna transmitters or receivers in a cellular scenario in th e presence of non-ideal out- of-ban d links co nnecting the c ooperatin g (transm it or receive) antennas (b ase station s), which c an be either o blivious or not [4]. In this pap er , we consid er the scena rio d epicted in Fig. 1 in which a single sou rce S has da ta to com municate to a remo te destination D . Communication takes place via a distributed M × M MIMO system co nstructed by conn ecting the sour ce to the M transmitting antenn as throu gh (eq ual) finite-c apacity links and like wise the M receiving antennas to the d estination. The finite-cap acity links ar e assumed to b e orth ogonal among themselves and ou t-of-ban d. This is th e c ase w hen th e source and destina tion are conn ected to the tran smitters and re ceiv e rs, respectively , via a wired backbon e or via o rthogo nal wir eless interfaces. T argeting a scenario wh ere the infrastruc ture of transmitting and receiving an tennas is meant to serve d ifferent commun ication standard s, we assume tha t transmitters and receivers ar e o blivious to the enco ding f unction shared by source S an d destination D as in [4] [6]. Our interest is in obtaining analytica l insights into the ro le of finite cap acities C and C ′ at the transmit and r eceiv e sides, respectively , on the performan ce of the distributed MIMO system (see Fig. 1). T o this en d, we adop t a simplified channel mod el for the MIMO chan nel between transmitters and receivers tha t correspo nds to a Gaussian interferen ce network describ ed by a sing le pa rameter α , as shown in Fig. 1. Beside allowing analytical tra ctability , this chann el is a variant of the W yner model for in frastructure networks [8] that has bee n studied in a n umber of works (see [2] and [4] for a r evie w). An upper bo und and achiev ab le rates are derived. It is sh own that, in c ertain asymptotic and n on-asymp totic regimes, no loss o f op timality is incu rred in designing the sy stem for nomadic applications (i.e., assuming obli v ious transmitters and receivers). I I . S Y S T E M M O D E L A source S is conn ected via finite-cap acity (erro r-free) links of capacity C [bit/ sym bol] to M distributed transmitters. Each tran smitter has power constrain t P . The source aim s at co mmunicatin g with a remote destinatio n D, which is in turn connecte d to M distributed r eceiv ers v ia links of capacity C ′ . T argetin g n omadic application s, transmitter s an d receivers are assumed to be o blivious to the enc oding f unction shared b y sourc e S and destination D. More specifically: ( i ) Each transmitter is equip ped with an in depend ently gen erated standard co mplex Gaussian co debook of size 2 nC ( n is the length of the transmission block ) with average power P , which is known to the so urce S. T hese M code books can be ob tained by S via, e.g ., a loc al pu blic database. Thr ough the fin ite-capacity lin k, the sou rce selects which codeword in the codeboo k should be sent by eac h antenn a in a given transmission block. In other word s, no pr ocessing is carried out at the transmitters, except simp le ma pping between the index r eceived by the sou r ce a nd the codeboo k ; ( ii ) Each rec ei ver is unaware o f th e p rocessing ca rried o ut at the source a nd of the codeboo ks o f the transmitters, and merely per forms quantization of the received sign als, which are then relayed to the d estination; ( iii ) Th e destina tion D is assum ed to be aware of the quan tization scheme used at the re ceiv e rs. Moreover , we consider both cases in which the destinatio n kn ows and d oes not know the co deboo ks of the tran smitters. Fin ally , p erfect block and symbo l synchr onization is a ssumed. The complex Ga ussian channel between transmitters and receivers is descr ibed by a Gaussian in terference network as in Fig. 1 , which is furth er describe d by an interf erence parame ter α ∈ [0 , 1] . This chann el cor responds to th e circulan t version of the W yn er model [8] for cellular networks considered in various works (see [2] [4] for reviews). Accordin gly , the received sig nal a t any g iv e n tim e in stant by the m th re ceiv e r is given by Y m = X m + αX [ m − 1] + Z m , (1) where X m is the comp lex symbo l transmitted by the m th transmitter, [ m − 1] rep resents the modulo- M operation , and Z m is com plex Gaussian noise with unit power ( Z m ∼ C N (0 , 1) ). The p er-transmitter input power constrain t req uires E [ | X m | 2 ] = P . Parameters α, C and C ′ are assumed to be known by all th e inv olved nodes. In ord er to obtain co mpact results, we will f ocus on th e case M → ∞ . Results with finite M can be ea sily infe rred b y u sing the cir cular structu re of the channel mod el at hand an d the cor respond ing circular ity of the channel matrix, based on th e stand ard argu ments (see [2] fo r a review and a discussion o n the validity of this asym ptotic analysis) . Finally , we normalize the achiev able rate from S and D to the numb er o f tra nsmit and receive antennas M and definite it as R [bit/ (symbol × antenna)]. Results will b e stated he re without f ormal pr oof. The r eader is referr ed to [7] for p roofs and furth er discussion. I I I . P R E L I M I NA R I E S In this section, we revie w some basic defin itions an d estab- lish a ref erence result. At first, we recall that fo r M → ∞ and perfectly cooper ating receivers ( C ′ → ∞ ), the sign al (1) received by the destination o f the network in Fig. 1 can be interp reted in the spatial d omain as an inter-symbol- interferen ce channe l wi th impu lse response h m = δ m + αδ m − 1 ( δ m is th e Krone cker d elta fun ction) and frequency response [8] ( see also [2]): | H ( f ) | 2 = 1 + α 2 + 2 α cos(2 πf ) . (2) W e then present two ba sic defin itions and r elated resu lts. Definition 1 : W e define the w aterfilling po wer spectral density with respect to the sum-power constrain t P and the SNR power spectra l density ρ ( f ) as S W F ( f , P, ρ ( f )) =  µ − ρ ( f ) − 1  + with R 1 0 S W F ( f , P, ρ ( f )) d f = P , an d the correspo nding r ate as R W F ( P, ρ ( f )) = Z 1 0 (log 2 ( µρ ( f ))) + d f . (3) For short, we a lso define R W F ( P, | H ( f ) | 2 ) = R W F ( P ) . In [7], the result below is pr oved, following [9]. Lemma 1 : If ρ ( f ) = | H ( f ) | 2 / N , then we h av e: R W F  P, | H ( f ) | 2 N  ≤ log 2  P N + 1 1 − α 2  , (4) where eq uality hold s for P N ≥ 2 α (1 − α ) 2 (1 − α 2 ) . Having set the b asic definitions above, we can now present an up per bo und on the a chiev ab le rate between the sou rce and destination for the network in Fig. 1. The boun d also holds for the case where the transmitters and receiv ers ar e info rmed about the c odeboo ks used by source and destination , and it is a straig htforward consequ ence of cut- set argum ents. Pr oposition 1 : T he achievable rate R is upp er bound ed b y R U B = min { C, C ′ , R W F ( P ) } (5) ≤ min  C, C ′ , log 2  P + 1 1 − α 2  , (6) with equ ality in (6) for P ≥ 2 α/ ((1 − α )(1 − α 2 )) . It sho uld be n oted that wh ile the waterfilling solution (3) is based on the total power constrain t, due to the symm etry of the channel at h and ( see Fig. 1), it also satisfies th e assum ed per-transmitter power c onstraint for any M (see also [2]). Moreover , the result (6) is a c onsequen ce of Lem ma 1. I V . F I N I T E - C A PAC I T Y L I N K S AT T H E T R A N S M I T T E R S I D E O N LY In this section, we co nsider the case in which C is finite a nd C ′ → ∞ , an d d eriv e achiev able r ates under th e assumptions discussed a bove o f ob livious an tennas. It is no ted that, du e to the infinite- capacity links at the receiver side, the assum ption of oblivious re ceiv e rs has no impact on the results of th is section. T wo achiev able rates are derived, one that a ssumes knowledge at the destination of the transmitters’ codeboo ks and o ne that does not r equire such assumption . A. Ind ependen t messages In this section, we co nsider a sim ple scheme that assumes that the destinatio n is aware of th e codeboo ks av a ilable at the transmitters. T he source splits its message (of rate M R ) into M equa l-rate m essages, and deliv e rs each to o ne tra nsmitter via the finite capacity links. Each transmitter then ma ps the rate- R m essage into a co dew o rd, using a mapping which is known at both source and destination. The destina tion perfor ms join t decodin g. It is noted th at here the codebo oks av ailable at th e sources are used d irectly a s channel codes. The fo llowing ra te is achiev able. Pr oposition 2 : Let C ′ → ∞ . Then , the following rate is achiev ab le b y tran smitting inde pendent messages ( IM) f rom each tran smitter R I M = min { C, R N C } , (7) where R N C is th e maximum ra te achiev ab le with no coop - eration (NC) among the transmitters and C ′ → ∞ , whic h is giv en by R N C = Z 1 0 log 2  1 + P | H ( f ) | 2  d f = (8) log 2 1 + (1 + α 2 ) P + p 1 + 2(1 + α 2 ) P + (1 − α 2 ) 2 P 2 2 ! . Remark 1 : I t is easy to see that this schem e is optimal (i.e., it achieves the up per bo und ( 5)) if C ≤ R N C (and thus in particu lar if P → ∞ ) . Instead, when C > R N C , the r ate achievable by this schem e does not achieve the upp er bound (5), su ffering fro m the perf ormance penalty caused b y indepen dent enco ding as compared to the waterfilling so lution (3) [ 10]. B. Quan tized waterfilling Here we conside r an alternative tra nsmission scheme in which the transmitters’ codewords are assumed to be un known to th e destination , and thus are exploited by the source m erely as quantization co deboo ks (of size 2 nC ) , as explained in the following. The source perfor ms en coding for th e M - antenna tran smitter ac cording to the waterfilling solutio n (3), then it quantizes the obtain ed co dew ords u sing the codebo oks av ailable at the transmitters, and send the correspo nding ind ex to the giv en tran smitter . Any tran smitter simply tran smits the codeword correspon ding to the received indices, fo llowing our assumptions. The pe rforman ce of this sch eme can be proved to correspon d to that of a fu lly cooperative MIMO system with additional (co lored) noise d ue to quantization , as stated in the following propo sition. Pr oposition 3 : Let C ′ → ∞ . Then , the following rate is achiev ab le with qua ntized waterfilling (QW): R QW = R W F  P, (1 − 2 − C ) | H ( f ) | 2 1 + P 2 − C | H ( f ) | 2  , (9) and we have: R QW ≤ log  P + 1 1 − α 2  − R N C ( P 2 − C ) , (10) with equality in the hig h-SNR regime where P ≥ 1 (1 − 2 − C ) 2 α (1 − α )(1 − α 2 ) . Remark 2 : The rate (10) r ev e als th at for extremely large SNR ( P → ∞ ) , the rate o btained with quantized waterfilling achieves the uppe r bo und (5) R U B → C . Moreover , for large capacity C → ∞ , it is ea sy to see from ( 9) that we have R QW → R U B . This contr asts with the case of ind ependen t message transmission stu died above, wh ere the up per bound was not achiev ab le for large C. V . F I N I T E - C A PAC I T Y L I N K S AT T H E R E C E I V E S I D E O N L Y In this section, w e focus o n the scenario cha racterized by finite C ′ and C → ∞ . I t is noted th at, dually to the scenario c onsidered in Sec. IV, here the a ssumption of oblivious transmitters has no impact on th e results. W e r ecall that we assume oblivious receivers in the sense specified in Sec. II. Following [6], we co nsider achievable rates with two quantization stra tegies carried o ut at the rece i vers, in order of complexity . The first is b ased on elemen tary co mpression, whereby correlation between the signa ls re ceiv e d by different antennas is n ot exp loited for compression , and the seco nd is based on d istributed co mpression tech niques. In both cases, we u se Gaussian test channels f or co mpression. A. Elementa ry compression W ith eleme ntary comp ression, cor relation amon g the re- ceiv ed signals is no t exploited in the design of the quantizatio n function s. Pr oposition 4 . Let C → ∞ . Then , the f ollowing rate is achiev ab le with elemen tary comp ression (EC): R E C = R W F  P N E C ( P, C ′ )  , (11) with N E C ( P, C ′ ) = 1 + (1 + α 2 ) P 2 − C ′ 1 − 2 − C ′ . (12) Moreover , we have R E C ≤ log 2  P N E C ( P, C ′ ) + 1 1 − α 2  , (13) with equality if condition s P ≥ 2 α (1+ α ) ( (1+ α 2 )(1 − 2 − C ′ ) − 2 α ) and C ′ > log 2  1+ α 2 (1 − α ) 2  are satisfied. Remark 3 : From (13), it can be seen that for extremely large SNR ( P → ∞ ) (and if the co ndition on C ′ stated ab ove holds) , the rate achieved with elemen tary compr ession is R E C → P →∞ log 2 2 C ′ − 1 1 + α 2 + 1 1 − α 2 ! , (14) which is smaller tha n the up per bound (5 ) R U B → C ′ for P → ∞ . This shows th at there is a pen alty to be p aid for obliviousness at the receiv e side, at least if e lementary compression is employed, even when P → ∞ . M oreover , fo r large cap acity C ′ → ∞ , we clearly have optim al perfor mance R E C → R U B . B. Distributed com pr ession The premise o f th e scheme discussed in th is section is the observation that, sin ce de coding of all quan tization cod ew o rds takes p lace at the destination , the co rrelation of the signals ob - served at the receivers can be le veraged in order to d ecrease the equiv a lent quantizatio n noise. Following [6], the quan tization scheme employed here is based on th e distributed compression approa ch used f or the CEO p roblem. Pr oposition 5 : Let C → ∞ . Then, the following rate is achiev ab le with d istributed co mpression (DC): R DC = R W F  P (1 − 2 − r ∗ )  , (15) with r ∗ satisfying th e fixed-po int equ ation R W F  P (1 − 2 − r ∗ )  = C ′ − r ∗ . (16) Moreover , R DC ≤ log 2 P + 1 1 − α 2 1 + P 2 − C ′ ! , (17) with equality if con ditions P ≥ 2 α (1 − α ) ( (1 − α 2 ) − 2 − C ′ ) and C ′ > 2 lo g 2  1 1 − α  are satisfied. Remark 4 : Equation (16) is e asily solved numerica lly since R W F  P (1 − 2 − r ∗ )  is a monotonic function of r ∗ . M oreover , the expression (17) shows that fo r extremely la rge SNR ( P → ∞ ) , the r ate with oblivious transmitters (if the cond ition on C ′ giv en above is satisfied, which requ ires sufficiently small α or large C ′ ) achieves th e upper boun d (5), i.e. , R DC → C ′ . This contrasts with the re sult discussed in Remark 3 f or e lementary compression , wh ich was shown to b e unable to achieve the upper bound. Finally , it can be seen that for large capacity C ′ → ∞ , we have R DC → R U B . V I . F I N I T E - C A PAC I T Y L I N K S A T T H E T R A N S M I T A N D R E C E I V E S I D E S In the two previous sections, we have co nsidered the two limiting cases C ′ → ∞ (Sec. IV) and C → ∞ (Sec. V) , a nd constructed b asic transmission and reception strategies b ased on ob livious antennas, namely , transmission of independ ent messages (IM) versus quantized waterfilling (QW) at the trans- mit side, and elemen tary (EC) versus distributed com pression (DC) at the receive side. Th ese techniques can be combin ed giving rise to f our transmission/ recep tion strategies (IM -EC, IM-DC, QW -EC and QW -DC), as d iscussed below . A. Ind ependen t messages and elementary co mpr e ssion It is recalled that, when u sing transmission of indep endent messages, it is assumed that th e destination is aware o f th e codebo oks available at the transmitters. Pr oposition 6 : The following rate is achiev able by trans- mitting independent messag es (IM) and using elementary compression ( EC) at the r eceiv e side: R I M − E C = min { C , R ′ } , (18) with R ′ = lo g 2  N E C +(1+ α 2 ) P + √ ( N E C +(1+ α 2 ) P ) 2 − 4 α 2 P 2 2 N E C  and N E C ( P, C ′ ) as in (12) (we have drop ped th e dep endence on P , C ′ for th e sake of legibility). Remark 5 : Th e re sult in Propo sition 2 can be fou nd as a special case o f Propo sition 6 for C ′ → ∞ . More over , this scheme is op timal whenever the second term in (18) is larger than C . For P → ∞ , as shown in [7], the sch eme is not optimal and when C, C ′ → ∞ , the we h av e R I M − E C → R N C ≤ R U B , thus suffering fr om th e perform ance loss due to transm ission of indepen dent m essages ( see Remar k 2). B. Ind ependen t messages and distributed compr ession Pr oposition 7 : The following rate is achievable by transmit- ting indepen dent messages (IM) and using distributed co m- pression ( DC) at the receive side: R I M − D C = min { C, R ′ } (19) with R ′ = log 2 1+ AP +2 α 2 2 − C ′ P 2 + q 1+2 AP + ( B 2 +4 α 2 2 − C ′ ) P 2 2(1+2 − C ′ P )(1+ α 2 2 − C ′ P ) ! ( A = (1 + α 2 ) and B = (1 − α 2 )) . Remark 6 : Pro position 2 follows from Proposition 7 wh en C ′ → ∞ . Moreover, as for th e previous scheme, optimality is guaranteed if th e second term in (1 9) is larger than th e capacity C . Howe ver, optimality is also attained with P → ∞ (see also Remark 4), while for C a nd C ′ → ∞ , we have R I M − D C → R N C ≤ R U B . C. Quantized waterfilling and elementa ry compression W e recall that, u nlike the previous two sub sections, th e scheme co nsidered here , based o n q uantized waterfilling, does not r equire the destination to be aware of th e cod ebooks av ailable at th e transmitter s. Pr oposition 8 : Th e following rate is achiev able by u sing quantized waterfilling (QW) at the transmit side and elemen - tary co mpression (EC) at the r eceiv e side: R QW − E C = R W F  P, (1 − 2 − C ) | H ( f ) | 2 N E C ( P, C ′ ) + P 2 − C | H ( f ) | 2  , (20) with N E C ( P, C ′ ) as in (12). An upp er bound a nd large- P closed-for m expr ession for ( 20) can be found in [7]. D. Quan tized waterfilling and distributed com pr ession Pr oposition 9 : Th e following rate is achiev able by u sing quantized w a terfilling (QW) at the transmit side and distributed compression ( DC) at the receive side: R QW − D C = R W F  P, (1 − 2 − r ∗ )(1 − 2 − C ) | H ( f ) | 2 1 + P 2 − C | H ( f ) | 2  (21) with r ∗ satisfying th e fixed-po int equ ation R W F  P, (1 − 2 − r ∗ )(1 − 2 − C ) | H ( f ) | 2 1 + P 2 − C | H ( f ) | 2  = C ′ − r ∗ . (2 2) An upp er b ound and a large- P closed-f orm expre ssion can be found in [7]. Remark 7: While Prop osition 8 sub sumes Propo sitions 3 for C ′ → ∞ an d 4 fo r C → ∞ , Proposition 9 en tails Propo sition 3 for C ′ → ∞ and Propo sition 5 fo r C → ∞ . Mo reover , equation ( 22) is ea sily solved numeric ally since the left-h and side is a monotonic functio n of r ∗ . Finally , reference [7] sho ws that, for bo th QW - DC and QW -DC, for P → ∞ the upp er bound is not attained, while when C and C ′ → ∞ the opp osite is tru e. V I I . N U M E R I C A L R E S U LT S Fig. 2 sh ows the ach ie vable rates o f interest versu s the SNR P for α 2 = 0 . 6 . Starting with the case C → ∞ of Sec. IV an d C ′ = 4 , it is noted tha t in this scenario, exploiting knowledge of th e transmitters’ cod ebooks at the destination via indepe ndent en coding ( R I M ) enables the upp er b ound R U B to be closely appro ached an d attained fo r sufficiently large SNR, her e P & 10 dB (see Remar k 1). The use of quantized w aterfilling, instead, a llows the upper b ound to be achieved only for extrem e SNR; here P & 40 dB (see Remark 2). For the case C ′ → ∞ of Sec. V and C = 4 , it is conclud ed that, wh ile distributed comp ression is able to ach iev e the upper bou nd R U B for P → ∞ , the same is not true for elementary compression ( see Remarks 3 and 4). Similar conclusion s carry over to th e case o f finite C and C ′ ( C = C ′ = 4) : for instance, with large p ower P , the upper boun d can be reach ed only if independ ent messages are transmitted with distributed compression (see Remark 6). Moreover , distributed compression significantly ou tperform s elementary co mpression, especially for high p ower P . V I I I . C O N C L U D I N G R E M A R K S A distributed MIMO scen ario with transmit an d receive antennas that ar e oblivious to the co debook of sour ce and destination has been considered . Achiev ab le rates have b een derived based on several proposed techn iques that exploit both channel an d sourc e codin g principles. Refer ring the reader to [7] for a full discussion, he re we point out that the ana lysis has shown that the con sidered design with ob li vious antennas does no t en tail any loss of optimality in spec ific asymp totic and non- asymptotic regimes of SNR and link capac ities. These results are in a ccord with th e conc lusions of recen t work revie wed in [4] for u plink and d ownlink channels with finite- capacity backhau l. 0 5 10 15 20 25 30 35 40 1 1.5 2 2.5 3 3.5 4 UB R IM R QW R DC R EC R QW DC R  QW EC R  [dB] P IM EC R  IM DC R  IM R 2 , ' 4 0.6 C C D Fig. 2. Achie vabl e rates versus SNR P . Rate s R I M and R QW are for C ′ → ∞ and C = 4 , rates R E C and R D C to C → ∞ and C ′ = 4 , while the remaining curves correspond to C = C ′ = 4 ( α 2 = 0 . 6 ). A C K N O W L E D G M E N T This research was su pported in p art by a Ma rie Curie Outgoing Internatio nal Fellowship and th e NEWCOM++ n et- work of excellence b oth with in the 7th Eur opean Com munity Framework Pr ogramm e, b y th e REMON Consortium an d b y the U.S. National Science Foun dation und er Grants CNS-06- 25637 , CNS-06 -2661 1, and ANI-03 -3880 7. R E F E R E N C E S [1] C. T . Ng, N. Jindal, A. J. Goldsmith, and U. Mitra , “Capacit y gain from tw o-transmitt er and two-r ecei ver cooperati on, ” IEEE T rans. Inform. Theory , vol. 53, no. 10, pp. 3822-3833, Oct. 2007. [2] O. Somekh, O. Simeone, Y . Bar-Ness, A. Haimovi ch, U. Spagnolini, and S. Shamai (Shitz), “ An information theoretic vie w of distribute d antenna processing in cellula r systems, ” in Distrib uted Antenna Systems: Open Arc hitectur e for Futur e W ir eless Communicat ions , Auerbach Publica- tions, CRC Press. [3] M. Katz and S. Shamai (Shitz), “Transmit ting to colocated users in wireless ad hoc and sensor networks, ” IE EE T rans. Inform. Theory , vol. 51, no. 10, pp. 3540-3563, Oct. 2005. [4] S. Shamai (Shitz), O. Somekh, O. Simeone, A . Sanderovic h, B.M. Zaidel, and H. V . Poor , “Cooperati ve multi-cel l networks: impact of limited -capac ity backhaul and inter-users links, ” in Proc . Joi nt W orkshop on Coding and Communications , D ¨ urnstein, Austria, Oct. 14 - 16, 2007. [5] A. Host-Madsen, “Capa city bounds for cooperati ve div ersity , ” IEEE T rans. Inform. Theory , vol. 52, no. 4, pp. 1522-1544, Apr . 2006. [6] A. Sanderovich , S. Shamai (Shitz), and Y . Steinberg, “Distrib uted MIMO recei ver - Achie vabl e rate s and upper bounds, ” submitted [arXi v:0710.0116 v1]. [7] O. Simeone, O. Somekh, H. V . Poor and S. Shamai (Shitz), “Distribute d MIMO systems for nomadic application s over a symmetric interfer ence channe l, ” submitted. [8] A. D. W yner , “Shannon-theoret ic approach to a Gaussian cellu lar multiple -acce ss channe l, ” IEEE T rans. Inform. Theory , vol. 40, no. 6, pp. 1713-1727, Nov . 1994. [9] L. H. Ozarow , “Upper bounds on the capacity of Gaussian channels with feedbac k, ” IEEE T rans. Inform. Theory , vol.36, no.1, pp.156-161, Jan. 1990. [10] T . Phi losof and R . Zamir , “The co st of un correla tion and non-cooper ation in MIMO channels, ” in Proc . Internationa l Symposium on Inform. Theory , pp. 770-774, 4-9 Sept. 2005.

Original Paper

Loading high-quality paper...

Comments & Academic Discussion

Loading comments...

Leave a Comment