Algorithms and parameters for improved accuracy in physics data libraries

Recent efforts for the improvement of the accuracy of physics data libraries used in particle transport are summarized. Results are reported about a large scale validation analysis of atomic parameter

Algorithms and parameters for improved accuracy in physics data   libraries

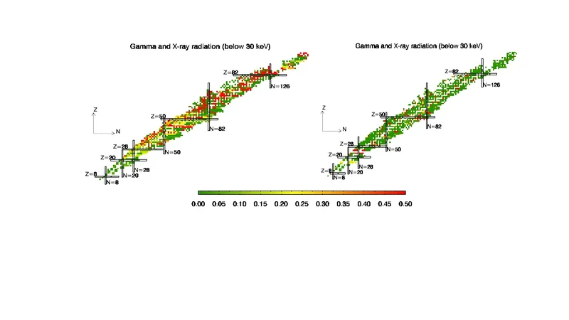
Recent efforts for the improvement of the accuracy of physics data libraries used in particle transport are summarized. Results are reported about a large scale validation analysis of atomic parameters used by major Monte Carlo systems (Geant4, EGS, MCNP, Penelope etc.); their contribution to the accuracy of simulation observables is documented. The results of this study motivated the development of a new atomic data management software package, which optimizes the provision of state-of-the-art atomic parameters to physics models. The effect of atomic parameters on the simulation of radioactive decay is illustrated. Ideas and methods to deal with physics models applicable to different energy ranges in the production of data libraries, rather than at runtime, are discussed.


📜 Original Paper Content

🚀 Synchronizing high-quality layout from 1TB storage...