Competing contact processes on homogeneous networks with tunable clusterization

We investigate two homogeneous networks: the Watts-Strogatz network and the random Erdos-Renyi network, the latter with tunable clustering coefficient $C$. The network is an area of two competing cont

Competing contact processes on homogeneous networks with tunable   clusterization

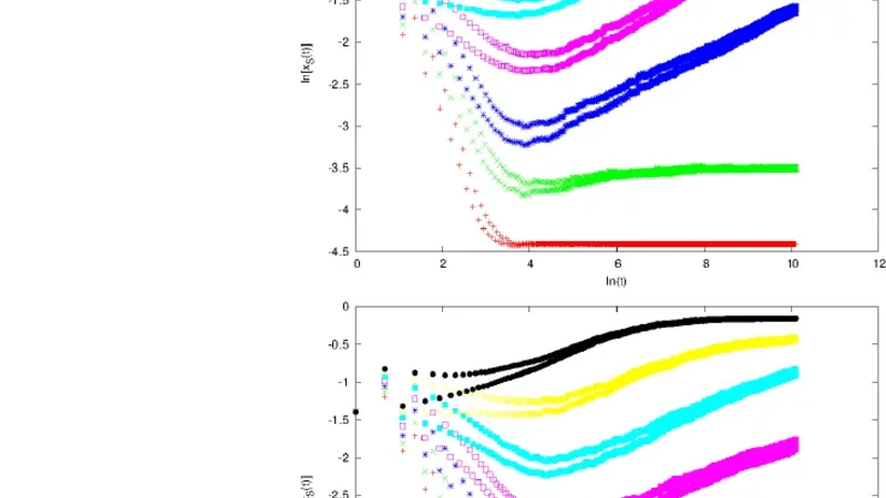
We investigate two homogeneous networks: the Watts-Strogatz network and the random Erdos-Renyi network, the latter with tunable clustering coefficient $C$. The network is an area of two competing contact processes, where nodes can be in two states, S or D. A node S becomes D with probability 1 if at least two its mutually linked neighbours are D. A node D becomes S with a given probability $p$ if at least one of its neighbours is S. The competition between the processes is described by a phase diagram, where the critical probability $p_c$ depends on the clustering coefficient $C$. For $p>p_c$ the rate of state S increases in time, seemingly to dominate in the whole system. Below $p_c$, the contribution of D-nodes remains finite. The numerical results, supported by mean field approach, indicate that the transition is discontinuous.


📜 Original Paper Content

🚀 Synchronizing high-quality layout from 1TB storage...