Magnetism in Dense Quark Matter

Magnetism in Dense Quark Matter

We review the mechanisms via which an external magnetic field can affect the ground state of cold and dense quark matter. In the absence of a magnetic field, at asymptotically high densities, cold quark matter is in the Color-Flavor-Locked (CFL) phase of color superconductivity characterized by three scales: the superconducting gap, the gluon Meissner mass, and the baryonic chemical potential. When an applied magnetic field becomes comparable with each of these scales, new phases and/or condensates may emerge. They include the magnetic CFL (MCFL) phase that becomes relevant for fields of the order of the gap scale; the paramagnetic CFL, important when the field is of the order of the Meissner mass, and a spin-one condensate associated to the magnetic moment of the Cooper pairs, significant at fields of the order of the chemical potential. We discuss the equation of state (EoS) of MCFL matter for a large range of field values and consider possible applications of the magnetic effects on dense quark matter to the astrophysics of compact stars.


💡 Research Summary

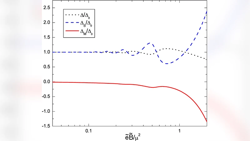
The paper provides a comprehensive review of how an external magnetic field influences the ground state of cold, dense quark matter, focusing on the hierarchy of energy scales that characterize the Color‑Flavor‑Locked (CFL) phase and the novel phases that emerge when the magnetic field strength becomes comparable to each of these scales. In the absence of a magnetic field, asymptotically dense quark matter resides in the CFL superconducting state, characterized by three distinct scales: the superconducting gap Δ (∼10–100 MeV), the Meissner mass of the gluons m_M (∼gΔ, where g is the strong coupling), and the baryonic chemical potential μ (∼500 MeV). The authors argue that when an applied magnetic field B reaches the order of Δ, the system transitions to the magnetic CFL (MCFL) phase. In MCFL, charged quark Cooper pairs reorganize under the Lorentz force, leading to a new pairing pattern that preserves a rotated electromagnetic U(1) symmetry, allowing the magnetic flux to penetrate the superconductor. The paper derives the MCFL free‑energy density, the modified gap equations, and the electromagnetic response tensor, showing that the pressure anisotropy and the equation of state (EoS) acquire a B‑dependent correction that becomes sizable for B≳10^18 G.

When B grows to the magnitude of the gluon Meissner mass (B∼m_M^2), a paramagnetic CFL (PCFL) phase appears. In this regime the gluonic sector develops a paramagnetic instability: the Meissner mass squared can turn negative, signaling a spontaneous amplification of the magnetic field inside the medium (a form of magnetic superconductivity). The authors discuss the emergence of unstable modes, the formation of magnetic domain walls, and the consequent modification of the color‑magnetic permeability. They calculate the critical field B_c≈m_M^2/e and show that above this threshold the system exhibits a non‑linear magnetic response, with implications for magnetic flux transport in compact stars.

Finally, when the magnetic field reaches the scale of the chemical potential (B∼μ^2), the magnetic moment of the Cooper pairs becomes dynamically relevant, giving rise to a spin‑1 condensate. This condensate aligns the magnetic moments of the quark pairs, generating a vector order parameter that coexists with or competes against the usual scalar gap. Using a Ginzburg‑Landau expansion, the authors demonstrate that the spin‑1 channel can lower the free energy for sufficiently large B, potentially raising the critical temperature and altering the quasiparticle spectrum. The presence of this condensate also modifies the transport coefficients (e.g., shear viscosity, thermal conductivity) and can lead to anisotropic superfluid flow.

The paper then presents a systematic calculation of the MCFL equation of state over a wide range of magnetic fields (10^16–10^20 G). The authors solve the gap equations self‑consistently, incorporate the magnetic contribution to the pressure and energy density, and compute the resulting mass‑radius relations for compact stars using the Tolman‑Oppenheimer‑Volkoff equations. They find that for B≈10^18 G the pressure anisotropy can increase the maximum stellar mass by up to ∼10 % or, depending on the sign of the anisotropy, decrease it. The stiffening of the EoS at high B also leads to larger radii for a given mass, which could be probed by X‑ray timing missions.

In the astrophysical context, the authors discuss how these magnetic phases could manifest in magnetars, highly magnetized neutron stars, and in the cores of rapidly rotating pulsars. They argue that the MCFL phase may affect the cooling curves by altering neutrino emissivity, while the PCFL phase could generate observable magnetic field evolution through the formation of domain structures. The spin‑1 condensate, by modifying the superfluid vortex dynamics, might leave imprints on glitch phenomena and on the gravitational‑wave signal from binary mergers. The paper concludes by emphasizing that upcoming multimessenger observations—precise mass‑radius measurements, gravitational‑wave tidal deformabilities, and timing of magnetar outbursts—offer promising avenues to test the predicted magnetic effects in dense quark matter and to constrain the presence of these exotic superconducting phases.