The role of the dissipative and random forces in the calculation of the pressure of simple fluids with dissipative particle dynamics

The role of the dissipative and random forces in the calculation of the   pressure of simple fluids with dissipative particle dynamics

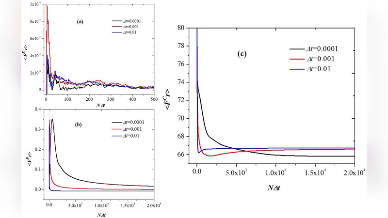
The role of viscous forces coupled with Brownian forces in momentum conserving computer simulations is studied here in the context of their contribution to the total average pressure of a simple fluid as derived from the virial theorem, in comparison with the contribution of the conservative force to the total pressure. The specific mesoscopic model used is the one known as dissipative particle dynamics, although our conclusions apply to similar models that obey the fluctuation dissipation theorem for short range interactions and have velocity dependent viscous forces. We find that the average contribution of the random and dissipative forces to the pressure is negligible for long simulations, provided these forces are appropriately coupled and when the finite time step used in the integration of the equation of motion is not too small. Finally, we study the properties of the fluid when the random force is made equal to zero and find that the system freezes as a result of the competition of the dissipative and conservative forces.


💡 Research Summary

This paper investigates how the dissipative (viscous) and random (Brownian) forces that appear in momentum‑conserving particle‑based simulations contribute to the average pressure of a simple fluid, as derived from the virial theorem. The authors focus on the Dissipative Particle Dynamics (DPD) framework, but their conclusions are applicable to any short‑range, velocity‑dependent thermostat that obeys the fluctuation‑dissipation theorem (FDT).

In DPD each pair of particles interacts through three forces: a conservative force (\mathbf{F}^{C}{ij}) that determines the equation of state, a dissipative force (\mathbf{F}^{D}{ij}= -\gamma w(r_{ij})(\hat r_{ij}\cdot \mathbf{v}{ij})\hat r{ij}) that removes kinetic energy proportionally to the relative velocity, and a random force (\mathbf{F}^{R}{ij}= \sigma w(r{ij})\theta_{ij}\hat r_{ij}) that injects thermal noise. The amplitudes (\gamma) and (\sigma) are linked by the FDT, (\sigma^{2}=2\gamma k_{B}T), guaranteeing that the thermostat reproduces the canonical ensemble.

The pressure in a particle system is given by the virial expression
\